Follow us on Wechat

2025 Vol. 10, No. 3

REVIEWS
High Pressure Physics and Materials Science
Advances in high-pressure materials discovery enabled by machine learning
Wang Zhenyu, Luo Xiaoshan, Wang Qingchang, Ge Heng, Gao Pengyue, Zhang Wei, Lv Jian, Wang Yanchao
2025, 10(3) doi: 10.1063/5.0255385
Abstract(3352) FullText HTML (1646) PDF(2)
Abstract:
Crystal structure prediction (CSP) is a foundational computational technique for determining the atomic arrangements of crystalline materials, especially under high-pressure conditions. While CSP plays a critical role in materials science, traditional approaches often encounter significant challenges related to computational efficiency and scalability, particularly when applied to complex systems. Recent advances in machine learning (ML) have shown tremendous promise in addressing these limitations, enabling the rapid and accurate prediction of crystal structures across a wide range of chemical compositions and external conditions. This review provides a concise overview of recent progress in ML-assisted CSP methodologies, with a particular focus on machine learning potentials and generative models. By critically analyzing these advances, we highlight the transformative impact of ML in accelerating materials discovery, enhancing computational efficiency, and broadening the applicability of CSP. Additionally, we discuss emerging opportunities and challenges in this rapidly evolving field.
High-pressure research on optoelectronic materials: Insights from in situ characterization methods
Guo Songhao, Zhan Yiqiang, Lü Xujie
2025, 10(3) doi: 10.1063/5.0258375
Abstract(3557) FullText HTML (1726) PDF(1)
Abstract:
High-pressure research has emerged as a pivotal approach for advancing our understanding and development of optoelectronic materials, which are vital for a wide range of applications, including photovoltaics, light-emitting devices, and photodetectors. This review highlights various in situ characterization methods employed in high-pressure research to investigate the optical, electronic, and structural properties of optoelectronic materials. We explore the advances that have been made in techniques such as X-ray diffraction, absorption spectroscopy, nonlinear optics, photoluminescence spectroscopy, Raman spectroscopy, and photoresponse measurement, emphasizing how these methods have enhanced the elucidation of structural transitions, bandgap modulation, performance optimization, and carrier dynamics engineering. These insights underscore the pivotal role of high-pressure techniques in optimizing and tailoring optoelectronic materials for future applications.
RESEARCH ARTICLES
Fundamental Physics at Extreme Light
3+1 formulation of light modes in nonlinear electrodynamics
Kim Chul Min, Kim Sang Pyo
2025, 10(3) doi: 10.1063/5.0240870
Abstract(1666) FullText HTML (813) PDF(0)
Abstract:
We present a 3+1 formulation of the light modes in nonlinear electrodynamics described by Plebanski-type Lagrangians, which include post-Maxwellian, Born–Infeld, ModMax, and Heisenberg–Euler–Schwinger QED Lagrangians. In nonlinear electrodynamics, strong electromagnetic fields modify the vacuum such that it acquires optical properties. Such a field-modified vacuum can possess electric permittivity, magnetic permeability, and a magneto-electric response, inducing novel phenomena such as vacuum birefringence. By exploiting the mathematical structures of Plebanski-type Lagrangians, we establish a streamlined procedure and explicit formulas to determine light modes, i.e., refractive indices and polarization vectors for a given propagation direction. We also work out the light modes of the various Lagrangians for an arbitrarily strong magnetic field. The 3+1 formulation advanced in this paper has direct applications to the current vacuum birefringence research: terrestrial experiments using permanent magnets/ultra-intense lasers for the subcritical regime and astrophysical observation of X-rays from highly magnetized neutron stars for the near-critical and supercritical regimes.
Enhanced MVA of polarized proton beams via PW laser-driven plasma bubble
Zou Zhikun, Guo Gan, Wen Meng, Liu Bin, Yan Xue, Liu Yangjié, Jin Luling
2025, 10(3) doi: 10.1063/5.0249082
Abstract(3251) FullText HTML (1590) PDF(0)
Abstract:
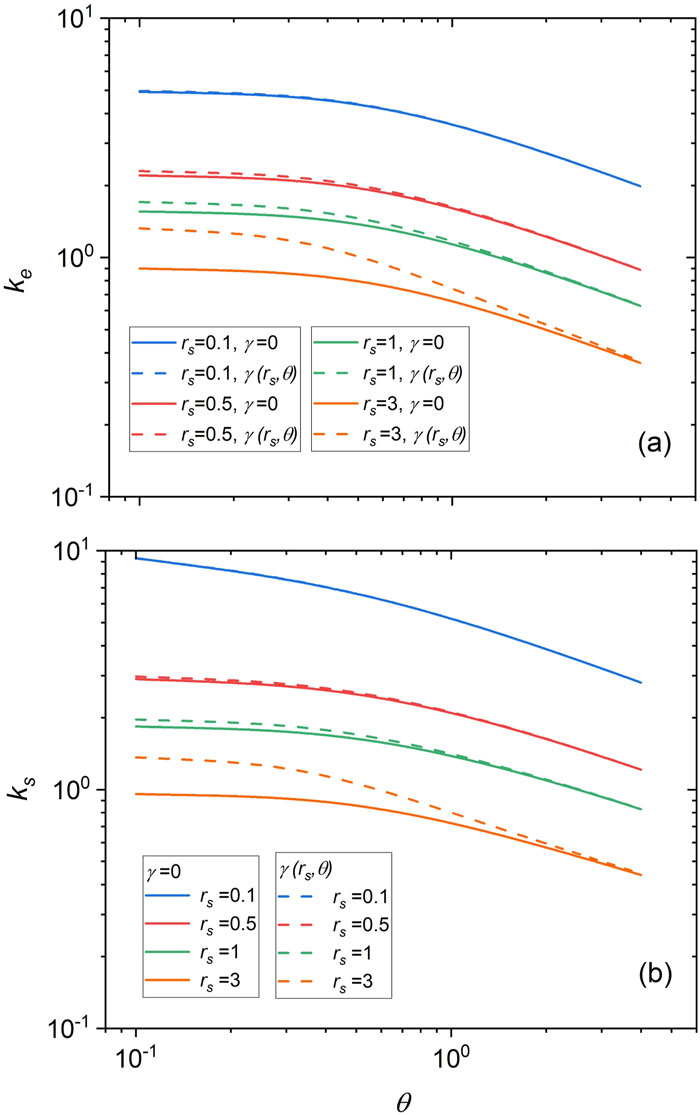
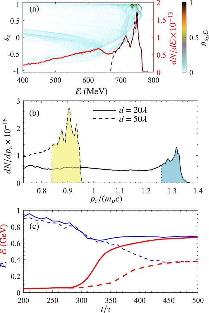
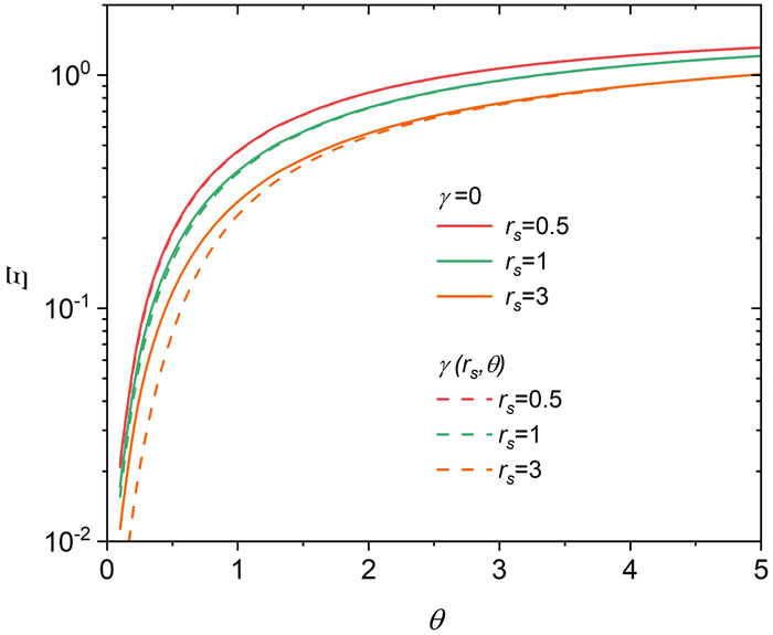
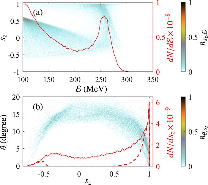
The significance of laser-driven polarized beam acceleration has been increasingly recognized in recent years. We propose an efficient method for generating polarized proton beams from a pre-polarized hydrogen halide gas jet, utilizing magnetic vortex acceleration enhanced by a laser-driven plasma bubble. When a petawatt laser pulse passes through a pre-polarized gas jet, a bubble-like ultra-nonlinear plasma wave is formed. As a portion of the particles constituting this wave, background protons are swept by the acceleration field of the bubble and oscillate significantly along the laser propagation axis. Some of the pre-accelerated protons in the plasma wave are trapped by the acceleration field at the rear side of the target. This acceleration field is intensified by the transverse expansion of the laser-driven magnetic vortex, resulting in energetic polarized proton beams. The spin of energetic protons is determined by their precession within the electromagnetic field, which is described using the Thomas–Bargmann–Michel–Telegdi equation in analytical models and particle-in-cell simulations. Multidimensional simulations reveal that monoenergetic proton beams with an energy of hundreds of MeV, a beam charge of hundreds of pC, and a beam polarization of tens of percent can be produced at laser powers of several petawatts. Such laser-driven polarized proton beams have promise for application in polarized beam colliders, where they can be utilized to investigate particle interactions and to explore the properties of matter under extreme conditions.
Inertial Confinement Fusion Physics
Magnetic transport and radiation properties during compression of a magnetized plasma
Wang Zhao, Cheng Rui, Jin Xuejian, Chen Yanhong, Shi Lulin, Wang Guodong, Zhou Zexian, Iqbal Zakir, Chen Yupeng, Zhang Jinfu, Wu Xiaoxia, Lei Yu, Wang Yuyu, Zhao Yongtao, Liu Shuai, Chen Liangwen, Yang Jie
2025, 10(3) doi: 10.1063/5.0244786
Abstract(2291) FullText HTML (1103) PDF(0)
Abstract:
We present a study of magnetic transport and radiation properties during compression of a magnetized laboratory plasma. A theta pinch is used to produce a magnetized plasma column undergoing radial implosion, with plasma parameters comprehensively measured through diverse diagnostic techniques. High-resolution observations show the implosion progressing through three stages: compression, expansion, and recompression. An anomalous demagnetization phenomenon is observed during the first compression stage, wherein the magnetic field at the plasma center is depleted as the density increases. We reveal the demagnetization mechanism and formulate a straightforward criterion for determining its occurrence, through analysis based on extended-magnetohydrodynamics theory and a generalized Ohm’s law. Additionally, we quantitatively evaluate the radiation losses and magnetic field variations during the two compression stages, providing experimental evidence that magnetic transport can influence the radiation properties by altering the plasma hydrodynamics. Furthermore, extrapolated results using our findings reveal direct relevance to magnetized inertial confinement fusion, space, and astrophysical plasma scenarios.
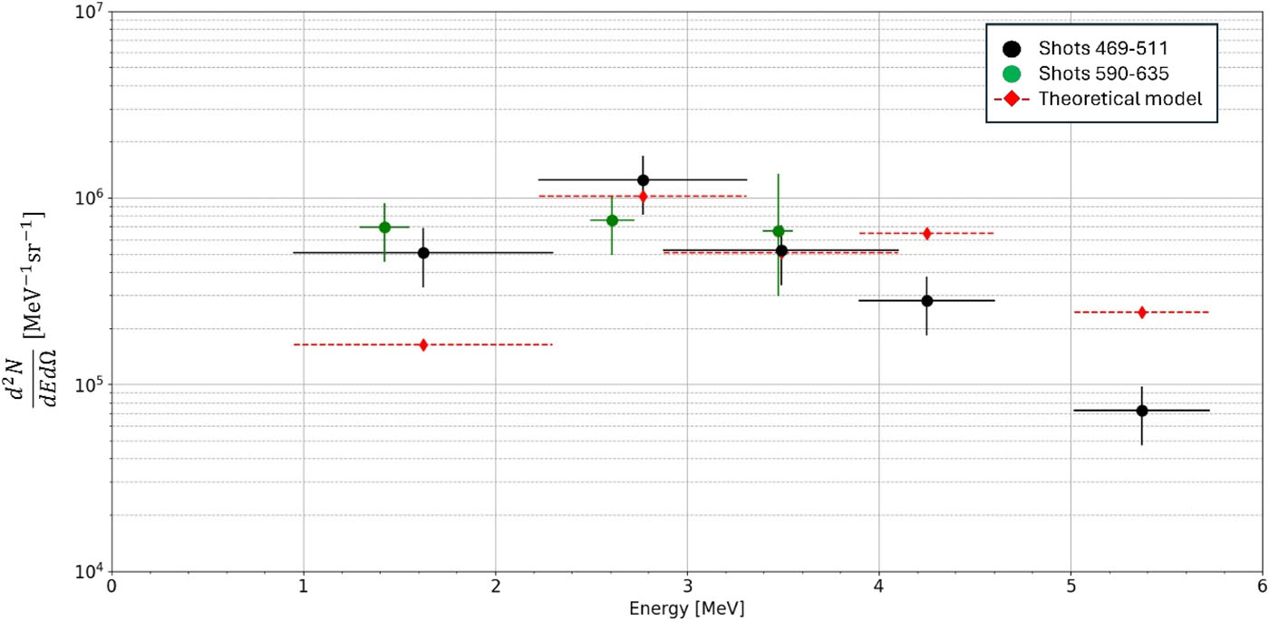
Laser-initiated p11B fusion reactions in petawatt high-repetition-rate laser facilities
Scisciò M., Petringa G., Zhu Z., Rodrigues M. R. D., Alonzo M., Andreoli P. L., Filippi F., Consoli Fe., Huault M., Raffestin D., Molloy D., Larreur H., Singappuli D., Carriere T., Verona C., Nicolai P., McNamee A., Ehret M., Filippov E., Lera R., Pérez-Hernández J. A., Agarwal S., Krupka M., Singh S., Istokskaia V., Lattuada D., La Cognata M., Guardo G. L., Palmerini S., Rapisarda G., Batani K., Cipriani M., Cristofari G., Di Ferdinando E., Di Giorgio G., De Angelis R., Giulietti D., Xu J., Volpe L., Rodríguez-Frías M. D., Giuffrida L., Margarone D., Batani D., Cirrone G. A. P., Bonasera A., Consoli Fa.
2025, 10(3) doi: 10.1063/5.0241993
Abstract(1979) FullText HTML (963) PDF(2)
Abstract:
Driving of the nuclear fusion reaction p + 11B → 3α + 8.7 MeV under laboratory conditions by interaction between high-power laser pulses and matter has become a popular field of research, owing to its numerous potential applications: as an alternative to deuterium–tritium for fusion energy production, astrophysics studies, and alpha-particle generation for medical treatment. One possible scheme for laser-driven p11B reactions is to direct a beam of laser-accelerated protons onto a boron (B) sample (the so-called “pitcher-catcher” scheme). This technique has been successfully implemented on large high-energy lasers, yielding hundreds of joules per shot at low repetition. We present here a complementary approach, exploiting the high repetition rate of the VEGA III petawatt laser at CLPU (Spain), aiming at accumulating results from many interactions at much lower energy, to provide better control of the parameters and the statistics of the measurements. Despite a moderate energy per pulse, our experiment allowed exploration of the laser-driven fusion process with tens (up to hundreds) of laser shots. The experiment provided a clear signature of the reactions involved and of the fusion products, accumulated over many shots, leading to an improved optimization of the diagnostics for experimental campaigns of this type. In this paper, we discuss the effectiveness of laser-driven p11B fusion in the pitcher–catcher scheme, at a high repetition rate, addressing the challenges of this experimental scheme and highlighting its critical aspects. Our proposed methodology allows evaluation of the performance of this scheme for laser-driven alpha particle production and can be adapted to high-repetition-rate laser facilities with higher energy and intensity.
Hot-electron generation in high-intensity laser–matter experiments with copper targets
Renner O., Klimo O., Krus M., Nicolaï Ph., , Poletaeva A., Bukharskii N., Tikhonchuk V. T.
2025, 10(3) doi: 10.1063/5.0246250
Abstract(3328) FullText HTML (1625) PDF(0)
Abstract:
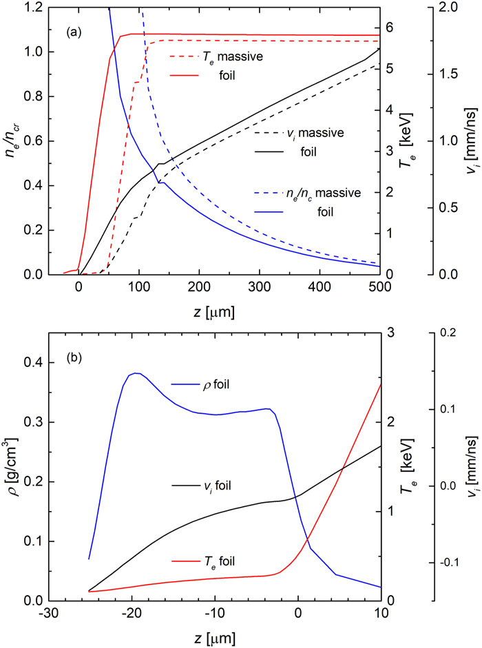
We investigate the spatial and temporal correlations of hot-electron generation in high-intensity laser interaction with massive and thin copper targets under conditions relevant to inertial confinement fusion. Using time-resolved imaging, it is found that in the case of massive targets, the hot-electron generation follows the laser pulse intensity with a short delay needed for favorable plasma formation. Conversely, a significant delay in the x-ray emission compared with the laser pulse intensity profile is observed in the case of thin targets. Theoretical analysis and numerical simulations suggest that this is related to radiation preheating of the foil and the increase in hot-electron lifetime in a hot expanding plasma.
Radiation and Hydrodynamics
Impact of local field correction on transport and dynamic properties of warm dense matter
Kodanova S. K., Ramazanov T. S., Issanova M. K.
2025, 10(3) doi: 10.1063/5.0243102
Abstract(3405) FullText HTML (1647) PDF(0)
Abstract:
A plasma screening model that accounts for electronic exchange-correlation effects and ionic nonideality in dense quantum plasmas is proposed. This model can be used as an input in various plasma interaction models to calculate scattering cross-sections and transport properties. The applicability of the proposed plasma screening model is demonstrated using the example of the temperature relaxation rate in dense hydrogen and warm dense aluminum. Additionally, the conductivity of warm dense aluminum is computed in the regime where collisions are dominated by electron–ion scattering. The results obtained are compared with available theoretical results and simulation data.
Experimental and numerical investigation of the impact of helical coil targets on laser-driven proton and carbon accelerations
Lacoste C. L. C., Catrix E., Vallières S., Hirsch-Passicos A., Guilberteau T., Lafargue M., Lopez J., Manek-Hönninger I., Fourmaux S., Raffestin D., d’Humières E., Antici P., Bardon M.
2025, 10(3) doi: 10.1063/5.0257518
Abstract(3095) FullText HTML (1495) PDF(0)
Abstract:
Laser-driven ion acceleration, as produced by interaction of a high-intensity laser with a target, is a growing field of interest. One of the current challenges is to enhance the acceleration process, i.e., to increase the produced ion energy and the ion number and to shape the energy distribution for future applications. In this paper, we investigate the effect of helical coil (HC) targets on the laser–matter interaction process using a 150 TW laser. We demonstrate that HC targets significantly enhance proton acceleration, improving energy bunching and beam focusing and increasing the cutoff energy. For the first time, we extend this analysis to carbon ions, revealing a marked reduction in the number of low-energy carbon ions and the potential for energy bunching and post-acceleration through an optimized HC design. Simulations using the particle-in-cell code SOPHIE confirm the experimental results, providing insights into the current propagation and ion synchronization mechanisms in HCs. Our findings suggest that HC targets can be optimized for multispecies ion acceleration.
High Pressure Physics and Materials Science
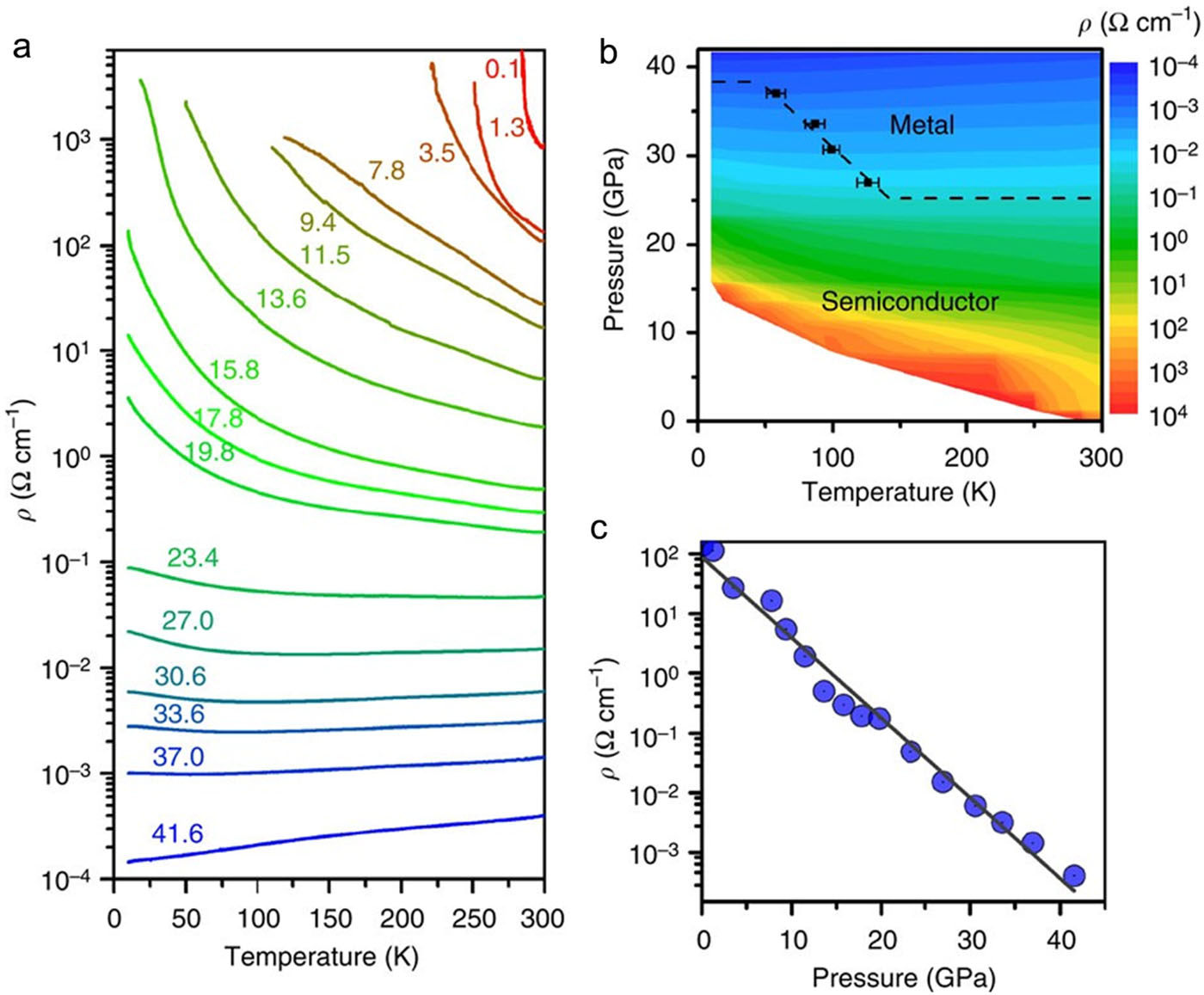
Formation of distinctive nanostructured metastable polymorphs mediated by kinetic transition pathways in germanium
Li Mei, Liu Xuqiang, Jiang Sheng, Smith Jesse S., Wang Lihua, Peng Shang, Chen Yongjin, Gong Yu, Lin Chuanlong, Yang Wenge, Mao Ho-Kwang
2025, 10(3) doi: 10.1063/5.0256231
Abstract(2439) FullText HTML (1179) PDF(0)
Abstract:
High-pressure β-Sn germanium may transform into diverse metastable allotropes with distinctive nanostructures and unique physical properties via multiple pathways under decompression. However, the mechanism and transition kinetics remain poorly understood. Here, we investigate the formation of metastable phases and nanostructures in germanium via controllable transition pathways of β-Sn Ge under rapid decompression at different rates. High-resolution transmission electron microscopy reveals three distinct metastable phases with the distinctive nanostructures: an almost perfect st12 Ge crystal, nanosized bc8/r8 structures with amorphous boundaries, and amorphous Ge with nanosized clusters (0.8–2.5 nm). Fast in situ x-ray diffraction and x-ray absorption measurements indicate that these nanostructured products form in certain pressure regions via distinct kinetic pathways and are strongly correlated with nucleation rates and electronic transitions mediated by compression rate, temperature, and stress. This work provides deep insight into the controllable synthesis of metastable materials with unique crystal symmetries and nanostructures for potential applications.