Current Issue

2025, Volume 10,  Issue 6

EDITORIAL
Investigating phase dynamics of materials under laser-induced extreme conditions
Sun Liang, Chen Bo, Chen Zhongjing, Dai Jiayu, Yang Wenge, Sekine Toshimori, Mao Ho-Kwang
2025, 10(6) doi: 10.1063/5.0274747
Abstract(2495) FullText HTML (1672) PDF(11)
Abstract:
Shock compression driven by nanosecond-laser techniques generates extreme pressure and temperature conditions in materials, enabling the study of high-pressure phase transitions and the behavior of materials in extreme environments. These dynamic high-pressure states are relevant to a wide range of phenomena, including planetary formation, asteroid impacts, spacecraft shielding, and inertial confinement fusion. The integration of advanced X-ray diffraction experimental techniques, from laser-induced X-ray sources and X-ray free-electron lasers, and theoretical simulations has provided unprecedented insights into material behavior under extreme conditions. This perspective reviews recent advances in dynamic high-pressure research and the insights that they can provide, concentrating on dynamical phase transitions, metastable and transient states, the influence of crystal orientation, microstructural changes, and the kinetic mechanism of phase transitions across a variety of interdisciplinary fields.
REVIEWS
Radiation and Hydrodynamics
Optical properties of transparent ceramics under shock compression: Correlation mechanism and design strategies
Cao Xiuxia, Yu Yin, He Hongliang, Hu Jianbo, Wu Qiang, Zhu Wenjun, Meng Chuanmin
2025, 10(6) doi: 10.1063/5.0259332
Abstract(2204) FullText HTML (1592) PDF(13)
Abstract:
Over the past several decades, much research effort has been dedicated to the study of optical windows, with two primary themes emerging as key focuses. The first of these centers on investigating the optical properties of typical transparent single crystals under shock or ramp compression, which helps in the selection of appropriate optical windows for high-pressure experiments. The second involves the exploration of novel optical windows, particularly transparent polycrystalline ceramics, which not only match the shock impedance of the samples, but also preserve transparency under dynamic compression. In this study, we first integrate existing research on the evolution of optical properties in transparent single crystals and polycrystalline ceramics subjected to shock or ramp loading, proposing a mechanism that links mesoscopic damage to macroscopic optical transparency. Subsequently, through a systematic integration of experiments and computational analyses on polycrystalline transparent ceramics, we demonstrate that shock transparency can be enhanced by optimizing grain size and that shock impedance can be designed via compositional tuning. Notably, our results reveal that nano-grained MgAl2O4 ceramics exhibit outstanding optical transparency under high shock pressures, highlighting a promising strategy for designing optical windows that retain transparency under extreme dynamic loading conditions .
RESEARCH ARTICLES
Fundamental Physics at Extreme Light
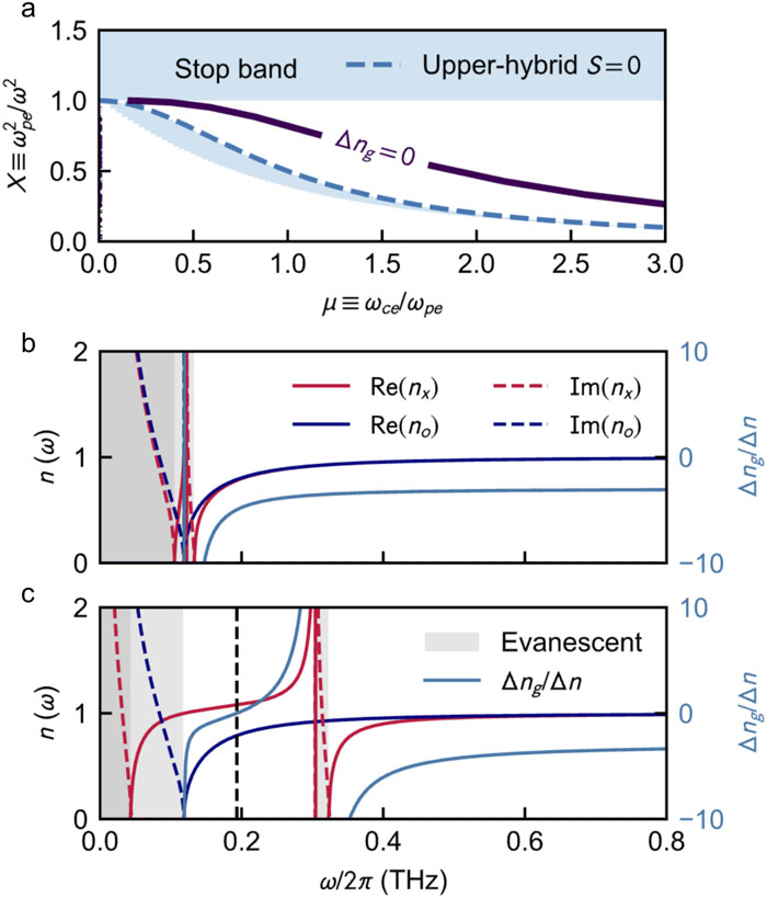
Dynamic spin-polarization control of terahertz waves in magnetized plasmas
Cai Jie, Shou Yinren, Gong Zheng, Wen Han, Han Liqi, Yu Jinqing, Yan Xueqing
2025, 10(6) doi: 10.1063/5.0279501
Abstract(1144) FullText HTML (561) PDF(1)
Abstract:
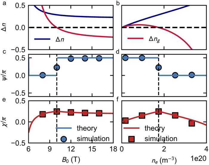
Controlling terahertz (THz) polarization with high stability and tunability is essential for achieving further progress in ultrafast spectroscopy, structured-light manipulation, and quantum information processing. Here, we propose a magnetized plasma platform for dynamic THz polarization control by exploiting the intrinsic birefringence between extraordinary and ordinary modes. We identify a strong-magnetization, zero-group-velocity-mismatch regime where the two modes share matched group velocities while retaining finite phase birefringence, enabling robust, phase-stable spin angular momentum control. By tuning the plasma length and magnetic field, we realize programmable phase retardation and demonstrate universal single-qubit gates through parameterized unitary operations. Full-wave particle-in-cell simulations validate high-fidelity polarization transformations across the Poincaré sphere and demonstrate the potential for generating structured vector beams under spatially varying magnetic fields. The platform offers ultrafast response, resilience to extreme THz intensities, and in situ tunability, positioning magnetized plasmas as a versatile and damage-resilient medium for next-generation THz polarization control and structured-wave applications.
Inertial Confinement Fusion Physics
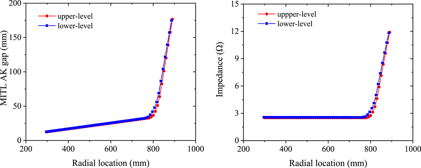
A 4-MA linear transformer driver for X-ray generation
Wei Hao, Qiu Mengtong, Jiang Xiaofeng, Wang Zhiguo, Jiang Hongyu, Yao Weibo, Lai Dingguo, Wu Hanyu, Lou Cheng, Wang Jiachen, Yang Yaorong, Sun Fengju, Li Mo, Wang Liangping, Xu Qifu, Li Pengchao, Yang Sen, Shen Yi, Wu Zhen, Wang Jinhua, Liu Wei, Yang Hailiang, Wu Wei, Qiu Aici
2025, 10(6) doi: 10.1063/5.0273536
Abstract(2459) FullText HTML (1194) PDF(4)
Abstract:
We have designed, assembled, and tested a 4-MA, 60-ns fast linear transformer driver (LTD), which is the first operating generator featuring multiple LTD modules connected in parallel. The LTD-based accelerator comprises six modules in parallel, each of which has ten-stage cavities stacked in series. The six LTD modules are connected to a water tank of diameter 6 m via a 3-m-long impedance-matched deionized water-insulated coaxial transmission line. In the water tank, the electrical pulses are transmitted down by six horizontal tri-plate transmission lines. A 2.1-m-diameter two-level vacuum insulator stack is utilized to separate the deionized water region from the vacuum region. In the vacuum, the currents are further transported downstream by a two-level magnetically insulated transmission-line and then converged through four post-hole convolutes. Plasma radiation loads or bremsstrahlung electron beam diodes serve as loads that are expected to generate intense soft X rays or warm X rays. The machine is 3.2 m in height and 22 m in outer diameter, including support systems such as a high-voltage charge supply, magnetic core reset system, trigger system, and support platform for inner stalk installation and maintenance. A total of 1440 individual ±100-kV multi-gap spark switches and 2880 individual 100-kV capacitors are employed in the accelerator. A total of 12 fiber-optic laser-controlled trigger generators combining photoconductive and traditional gas spark switch technologies are used to realize the synchronous discharge of the more than 1000 gas switches. At an LTD charge voltage of ±85 kV, the accelerator stores an initial energy of about 300 kJ and is expected to deliver a current of 3–5 MA into various loads. To date, the LTD facility has shot into a thick-walled aluminum liner load and a reflex triode load. With a thick-walled aluminum liner of inductance 1.81 nH, a current with peak up to 4.1 MA and rise time (10%–90%) of about 60 ns has been achieved. The current transport efficiency from the insulator stack to the liner load approaches 100% during peak times. The LTD accelerator has been used to drive reflex triode loads generating warm X rays with high energy fluence and large radiation area. It has been demonstrated that this LTD is a promising and high-efficiency prime pulsed power source suitable for use in constructing the next generation of large-scale accelerators with currents of tens of megaamperes.
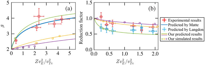
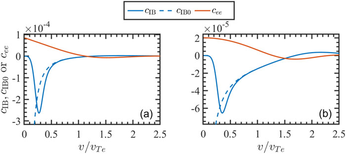
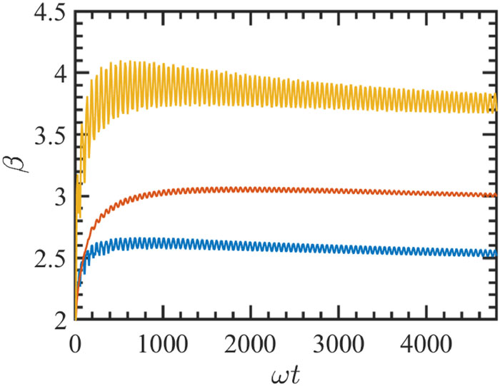
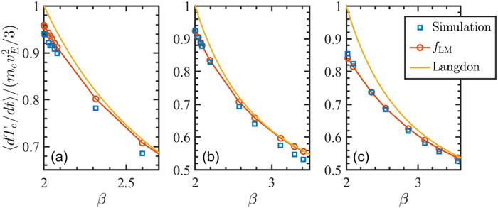
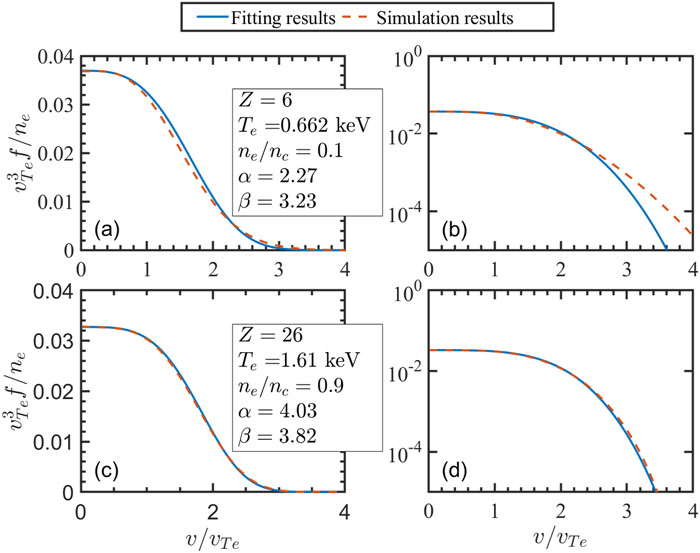
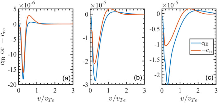
Kinetic effects of inverse bremsstrahlung absorption in the low-field limit
Zhang S. T., Wang Qing, Liu D. J., Cheng R. J., Li X. X., Lv S. Y., Huang Z. M., Chen Z. J., Xu Z. Y., Wang Qiang, Liu Z. J., Cao L. H., Zheng C. Y.
2025, 10(6) doi: 10.1063/5.0271079
Abstract(1835) FullText HTML (910) PDF(0)
Abstract:
Inverse bremsstrahlung absorption in laser-heated plasmas is studied using the Fokker–Planck equation in the low-field limit. Compared with the commonly used fitting formulas of Langdon and Matte et al., our work employs fewer approximations and provides more accurate predictions for the super-Gaussian order β and the heating rate. Simulation results show that the super-Gaussian order is generally lower than the fitting results of Matte et al., which leads to an increase in absorption. However, we find two other factors that reduce absorption: the high-order term of the collision frequency and the effects caused by high laser intensity. Therefore, the final simulated absorption can either be higher or lower, depending on the conditions. These phenomena are theoretically analyzed using the Fokker–Planck equation. Fitting formulas are proposed for the super-Gaussian order and the heating rate, showing a discrepancy within ∼10% of the simulation results. We also compare the simulation results with the experimental results from several recent papers.
Radiation and Hydrodynamics
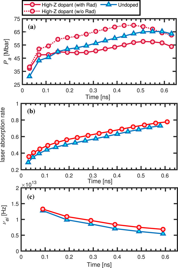
Evolution of the rippled inner-interface-initiated ablative Rayleigh–Taylor instability in laser-ablating high-Z doped targets
Xiong W., Yang X. H., Chen Z. H., Xu B. H., Li Z., Zeng B., Dong Y. L., Zhang G. B., Ma Y. Y.
2025, 10(6) doi: 10.1063/5.0279590
Abstract(2084) FullText HTML (1024) PDF(1)
Abstract:
In the direct drive inertial confinement fusion (ICF) scheme, a rippled interface between the ablator and the deuterium–tritium ice fuel can feed out and form perturbation seeds for the ablative Rayleigh–Taylor instability, with undesirable effects. However, the evolution of this instability remains insufficiently studied, and the effects of high-Z dopant on this instability remain unclear. In this paper, we develop a theoretical model to calculate the feedout seeds and describe this instability. Our theory suggests that the feedout seeds are determined by the ablation pressure and the adiabatic index, while the subsequent growth depends mainly on the ablation velocity. Two-dimensional radiation hydrodynamic simulations confirm our theory. It is shown that targets with high-Z dopant in the outer ablator exhibit more severe feedout seeds, because of their higher ionization compared with undoped targets. The X-ray pre-ablation in high-Z doped targets significantly suppresses subsequent growth, leading to suppression of short-wavelength perturbations. However, for long-wavelength perturbations, this suppression is weakened, resulting in increased instability in high-Z doped targets. The results are helpful for understanding the inner-interface-initiated instability and the influence of high-Z dopant on it, providing valuable insights for target design and instability control in ICF.
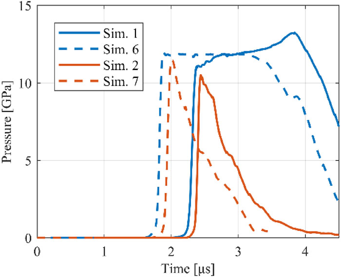
Generation of spherically converging shock wave based on shock wave lens
He Qi-Guang, Wu Dun, Yu Yuying, Zhang Hang, Wu Qiang, Hu Jianbo
2025, 10(6) doi: 10.1063/5.0281313
Abstract(2238) FullText HTML (1108) PDF(5)
Abstract:
The manipulation of intense shock waves to either attenuate or enhance damage has long been a key goal in the domain of impact dynamics. Effective methods for such manipulation, however, remain elusive owing to the wide spectrum and irreversible destructive nature of intense shock waves. This work proposes a novel approach for actively controlling intense shock waves in solids, inspired by the principles of optical and explosive lenses. Specifically, by designing a shock wave convex lens composed of a low-shock-impedance material embedded in a high-shock-impedance matrix, we prove the feasibility of transforming a planar shock into a spherically converging shock. This is based on oblique shock theory, according to which shock waves pass through an oblique interface and then undergo deflection. Both experimental and simulation results demonstrate that, as expected, the obtained local spherical shock wave has a wavefront that is nearly perfectly spherical and uniform in pressure. Thus, this work proves the possibility of generating spherical shock waves using plate-impact experiments and highlights the potential of further exploration of the manipulation of shock waves in solids. It also contributes an innovative perspective for both armor penetration technologies and shock wave mitigation strategies.
Modeling stopping power of ions in plasmas using parametric potentials
Barges Delattre Tanguy, Rassou Sébastien, Pain Jean-Christophe
2025, 10(6) doi: 10.1063/5.0287744
Abstract(1813) FullText HTML (882) PDF(1)
Abstract:
We present a study of the ion stopping power due to free and bound electrons in a warm dense plasma. Our main goal is to propose a method of stopping-power calculation expected to be valid for any ionization degree. The free-electron contribution is described by the Maynard–Deutsch–Zimmerman formula, and the bound-electron contribution relies on the Bethe formula with corrections, in particular taking into account density and shell effects. The results of the bound-state computation using three different parametric potentials are investigated within the Garbet formalism for the mean excitation energy. The first parametric potential is due to Green, Sellin, and Zachor, the second one was proposed by Yunta, and the third one was introduced by Klapisch in the framework of atomic-structure computations. The results are compared with those of self-consistent average-atom calculations. This approach correctly bridges the limits of neutral and fully ionized matter.
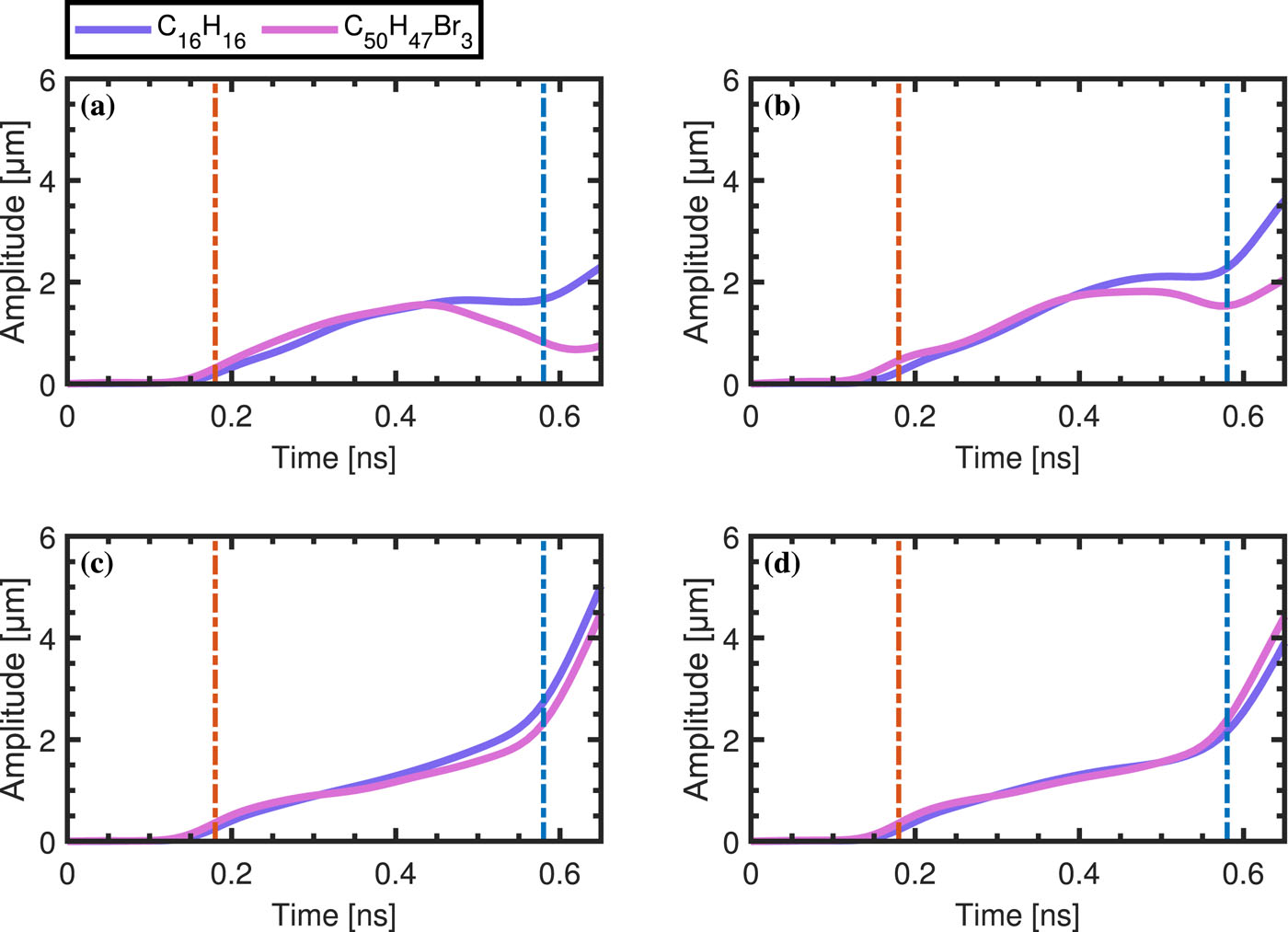
Characterizing the evolution of mixing induced by Richtmyer–Meshkov instability in laser-driven reshock experiments
Yuan Yongteng, Fan Zhengfeng, Tu Shaoyu, Yu Chengxin, Miao Wenyong, Yang Zhenghua, Yin Chuansheng, Sun Liang, Du Huabing, Wei Minxi, Tong Weichao, Jiang Wei, Yao Li, Shang Wanli, Yan Ji, Li Zhichao, Yang Dong, Yang Jiamin, Pu Yudong
2025, 10(6) doi: 10.1063/5.0282977
Abstract(1391) FullText HTML (685) PDF(3)
Abstract:
A reshock experiment for investigating the growth of material mixing driven by the Richtmyer–Meshkov instability has been conducted at the SG 100 kJ Laser Facility. We present a novel measurement technique for capturing the density field and the temporal evolution of the mixing width in rough aluminum subjected to reshocks under extreme conditions. The temporal evolution of the aluminum layer width obtained from backlit X-ray radiography demonstrates a sharp increase in width caused by reshocks, and simulations using the BHR-2 turbulent mixing model show excellent agreement with the measured aluminum layer width. Moreover, by utilizing a quasi-monochromatic X-ray imaging system at 5.2 keV, based on Bragg reflection from a spherically curved quartz crystal, we demonstrate direct quantification of the aluminum density field in mixed regions for the first time in a indirectly driven reshock experiment. The deviation between the calculated and actual density values is significantly less than 10% when the density of the aluminum region is below 0.7 g/cm3. The density field provides further information about variable-density turbulent mixing, which improves the constraints on simulations and enhances predictive capabilities for inertial confinement fusion target design and astrophysical shock scenarios.
High Pressure Physics and Materials Science
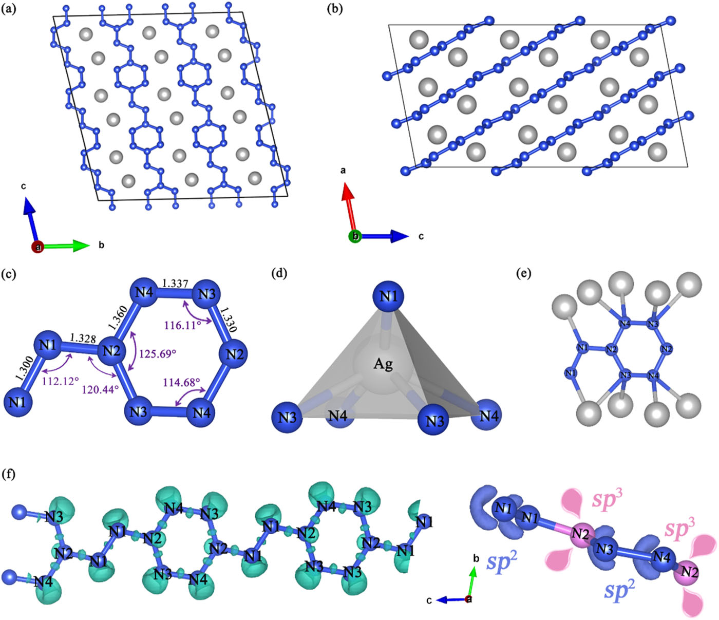
Stabilized N5 and N6 rings in the Ag–N system under modest pressure
Zhang Huimin, Yuan Jiajing, Wang Dongxue, Liu Ran, Wang Yuanyuan, Liu Zhaodong, Yao Zhen, Zhang Ying, Liu Shuang, Wang Peng
2025, 10(6) doi: 10.1063/5.0282196
Abstract(2182) FullText HTML (1057) PDF(1)
Abstract:
High pressure enables the creation of novel functional materials by modifying chemical bonding and crystal structure, opening avenues for the development of high-energy-density polynitrogen materials. We present the high-pressure synthesis of three polynitrides P1 AgN7, P21/c AgN5, and P-1 AgN4, achieved through direct reactions between silver and nitrogen. Notably, the synthesis pressures required for the formation of N5 and N6 rings from metal–nitrogen reactions in this work represent the lowest values reported to date in high-pressure studies. At 15 GPa, isolated N5 rings are stabilized in P1 AgN7 and P21/c AgN5. At 26.3 GPa, P-1 AgN4 is synthesized, featuring infinite one-dimensional nitrogen chains composed of alternating N2 and N6 rings, a unique catenation not observed in other polynitrides. In addition, AgN7, AgN5, and AgN4 possess significantly higher volumetric energy densities Ev than the conventional explosive TNT, making them promising high-energy-density materials.
Screening of TiB2-based ternary composites for X-ray transparent heaters in high-pressure and high-temperature experiments
Zhang Yutian, Niu Guoliang, Tan Pengfei, Zhu Chuanhui, Gou Huiyang, Walker David, Li Man-Rong
2025, 10(6) doi: 10.1063/5.0275504
Abstract(2528) FullText HTML (1228) PDF(0)
Abstract:
High-pressure and high-temperature (HPHT) experiments in large-volume presses (LVPs) benefit from reliable, available, and affordable heaters to achieve stable and homogeneous heating and, in some circumstances, X-ray transparency for monitoring of properties of an in situ experiment using X-ray diffraction and contrast imaging techniques. We have developed heaters meeting the above requirements, and we screen the ternary system TiB2–SiC–hexagonal (h)BN (denoted as TSB) to enable manufacture of X-ray transparent heaters for HPHT runs. Heaters fabricated using optimized TSB-631 (60%TiB2–30%SiC–10%hBN by weight) have been tested in modified truncated assemblies, showing excellent performance up to 22 GPa and 2395 K in HPHT runs. TSB-631 has good ceramic machinability, outstanding reproducibility, high stability, and negligible temperature gradient for runs at 3–7 GPa with cell assemblies with truncated edge lengths of 8–12 mm. The fabricated heaters not only show excellent performance in HPHT runs, but also demonstrate high X-ray transparency over a wide X-ray wavelength region, indicating potential applications for in situ X-ray diffraction/imaging under HPHT conditions in LVPs and other high-pressure apparatus.
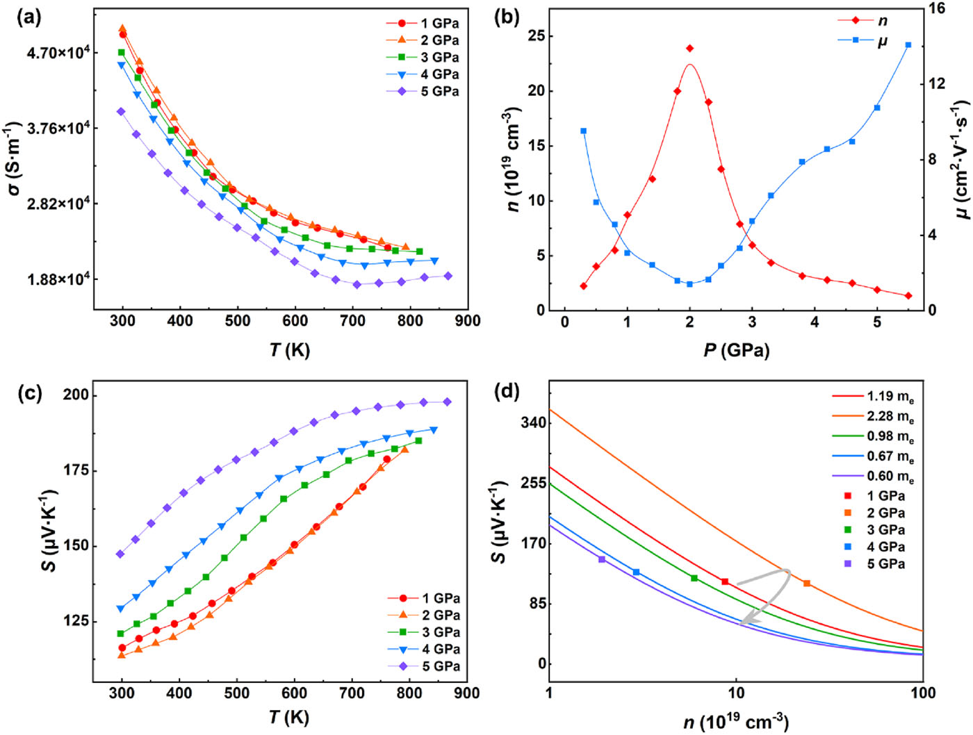
Pressure-driven crystal symmetry and carrier concentration optimization for superior thermoelectric transport properties in layered AgCrSe2
Bi Zheng, Wang Dianzhen, Zhou Yiyang, Gao Yang, Zou Jing, Liu Fuyang, Tao Qiang, Yang Bin, Yue Huijuan, Wang Luhong, Liu Haozhe, Li Yan, Zhu Pinwen
2025, 10(6) doi: 10.1063/5.0293464
Abstract(2110) FullText HTML (1026) PDF(0)
Abstract:
Phase engineering has proven to be an effective strategy for achieving superior thermoelectric performance, while pressure is an excellent means of expanding the phase space of a material. In this paper, the effect of pressure-induced phase transition on improving the crystal symmetry and enhancing the thermoelectric properties of AgCrSe2 under high pressure and high temperature are reported. A structural phase transition from the low-symmetry R3m phase to the high-symmetry P3̄m1 phase is discovered below 1 GPa, which increases band degeneracy and contributes to a high electrical conductivity. For the metallic P3̄m1 phase, the electrons surrounding the Se2− anion gradually transfer to the Ag+ and Cr3+ cations as the pressure increases, decreasing the density of states around the Fermi level and thus optimizing the carrier concentration, thereby increasing the Seebeck coefficient while maintaining a high electrical conductivity. Consequently, an ultrahigh power factor of 864 μW·m−1·K−2 is achieved at 5 GPa and 297 K. This study provides new insights into improving thermoelectric transport properties by applying physical pressure to enhance crystal symmetry and optimize thermoelectric parameters, and also indicates that phase engineering is a compelling strategy to discover or design novel high-performance thermoelectric materials starting from low-symmetry compounds.