Follow us on Wechat

2023 Vol. 8, No. 5

RESEARCH ARTICLES
FUNDAMENTAL PHYSICS AT EXTREME LIGHT
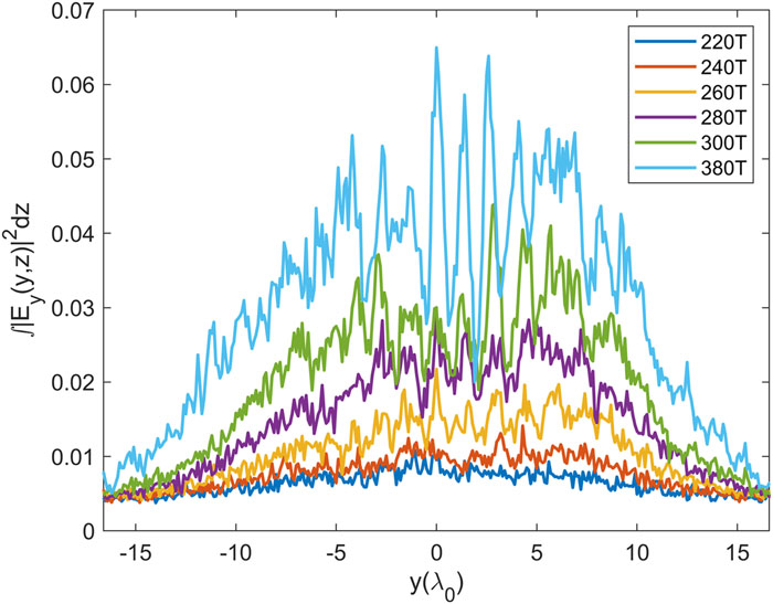
Controlled transition to different proton acceleration regimes: Near-critical-density plasmas driven by circularly polarized few-cycle pulses
De Marco Shivani Choudhary, Mondal Sudipta, Margarone Daniele, Kahaly Subhendu
2023, 8(5) doi: 10.1063/5.0151751
Abstract(3330) FullText HTML (1610) PDF(3)
Abstract:
A controlled transition between two different ion acceleration mechanisms would pave the way to achieving different ion energies and spectral features within the same experimental set up, depending on the region of operation. Based on numerical simulations conducted over a wide range of experimentally achievable parameter space, reported here is a comprehensive investigation of the different facets of ion acceleration by relativistically intense circularly polarized laser pulses interacting with thin near-critical-density plasma targets. The results show that the plasma thickness, exponential density gradient, and laser frequency chirp can be controlled to switch the interaction from the transparent operating regime to the opaque one, thereby enabling the choice of a Maxwellian-like ion energy distribution with a cutoff energy in the relativistically transparent regime or a quasi-monoenergetic spectrum in the opaque regime. Next, it is established that a multispecies target configuration can be used effectively for optimal generation of quasi-monoenergetic ion bunches of a desired species. Finally, the feasibility is demonstrated for generating monoenergetic proton beams with energy peak at E20–40 MeV and a narrow energy spread of ΔE/E18%–28.6% confined within a divergence angle of ∼175 mrad at a reasonable laser peak intensity of I0 ≃ 5.4 × 1020 W/cm2.
Induction heating for desorption of surface contamination for high-repetition laser-driven carbon-ion acceleration
Kojima Sadaoki, Miyatake Tatsuhiko, Sakaki Hironao, Kuroki Hiroyoshi, Shimizu Yusuke, Harada Hisanori, Inoue Norihiro, Dinh Thanh Hung, Hata Masayasu, Hasegawa Noboru, Mori Michiaki, Ishino Masahiko, Nishiuchi Mamiko, Kondo Kotaro, Nishikino Masaharu, Kando Masaki, Shirai Toshiyuki, Kondo Kiminori
2023, 8(5) doi: 10.1063/5.0153578
Abstract(4046) FullText HTML (1956) PDF(2)
Abstract:
This study reports the first experimental demonstration of surface contamination cleaning from a high-repetition supply of thin-tape targets for laser-driven carbon-ion acceleration. The adsorption of contaminants containing protons, mainly water vapor and hydrocarbons, on the surface of materials exposed to low vacuum (>10−3 Pa) suppresses carbon-ion acceleration. The newly developed contamination cleaner heats a 5-μm-thick nickel tape to over 400 °C in 100 ms by induction heating. In the future, this heating method could be scaled to laser-driven carbon-ion acceleration at rates beyond 10 Hz. The contaminant hydrogen is eliminated from the heated nickel surface, and a carbon source layer—derived from the contaminant carbon—is spontaneously formed by the catalytic effect of nickel. The species of ions accelerated from the nickel film heated to various temperatures have been observed experimentally. When the nickel film is heated beyond ∼150 °C, the proton signal considerably decreases, with a remarkable increase in the number and energy of carbon ions. The Langmuir adsorption model adequately explains the temperature dependence of desorption and re-adsorption of the adsorbed molecules on a heated target surface, and the temperature required for proton-free carbon-ion acceleration can be estimated.
Quantum splitting of electron peaks in ultra-strong fields
Zhang Bo, Zhang Zhi-Meng, Zhou Wei-Min
2023, 8(5) doi: 10.1063/5.0157663
Abstract(2779) FullText HTML (1342) PDF(6)
Abstract:
Effects of multiple nonlinear Compton scattering on electrons in ultra-strong fields are described using analytic formulas similar to those in the theory of multiple bremsstrahlung. Based on these analytic formulas, a new pure quantum effect of multiple nonlinear Compton scattering called quantum peak splitting is identified: the electron peak splits into two when the average number of nonlinear Compton scatterings per electron passes a threshold of 5.1 and is below 9. Quantum peak splitting stems from the discreteness of quantum radiation reaction, with one of the split peaks being formed by electrons emitting zero to three times and the other by electrons emitting four or more times. This effect provides a new mechanism for the formation of electron peaks, imposes a new beamstrahlung limit on future colliders, and corrects the picture of quantum radiation reaction. Experiments can be performed on lasers with intensities ≳1021 W/cm2, which are reachable on PW-scale facilities.
INERTIAL CONFINEMENT FUSION PHYSICS
Methods of controlled formation of instabilities during the electrical explosion of thin foils
Shelkovenko T. A., Tilikin I. N., Oginov A. V., Mingaleev A. R., Romanova V. M., Pikuz S. A.
2023, 8(5) doi: 10.1063/5.0146820
Abstract(2275) FullText HTML (1096) PDF(1)
Abstract:
The results of a study of the electrical explosion of aluminum foils with an artificial periodic surface structure created by laser engraving are presented. Experiments were carried out on pulsed high-current generators BIN (270 kA, 300 kV, 100 ns) and KING (200 kA, 40 kV, 200 ns) with Al foil of thicknesses 16 and 4 μm, respectively. Images of the exploded foils were recorded by point projection radiography in the radiation from hybrid X-pinches. It is found that the application of an artificial periodic structure to the foil leads to a much more uniform and well-defined periodic structure of the exploded foil. Images recorded in the UV range using a microchannel-plate-intensified detector show that the radiation from a surface-modified foil is more uniform along the entire length and width of the foil than that from a foil without modification.
The effects of incident light wavelength difference on the collective stimulated Brillouin scattering in plasmas
Wang Qiang, Li Zhichao, Liu Zhanjun, Gong Tao, Zhang Wenshuai, Xu Tao, Li Bin, Li Ping, Li Xin, Zheng Chunyang, Cao Lihua, Liu Xincheng, Pan Kaiqiang, Zhao Hang, Liu Yonggang, Deng Bo, Hou Lifei, Li Yingjie, Liu Xiangming, Li Yulong, Peng Xiaoshi, Guan Zanyang, Wang Qiangqiang, Che Xingsen, Li Sanwei, Yin Qiang, Zhang Wei, Xia Liqiong, Wang Peng, Jiang Xiaohua, Guo Liang, Li Qi, He Minqing, Hao Liang, Cai Hongbo, Zheng Wudi, Zou Shiyang, Yang Dong, Wang Feng, Yang Jiamin, Zhang Baohan, Ding Yongkun, He Xiantu
2023, 8(5) doi: 10.1063/5.0151372
Abstract(2752) FullText HTML (1333) PDF(3)
Abstract:
The first laser–plasma interaction experiment using lasers of eight beams grouped into one octad has been conducted on the Shenguang Octopus facility. Although each beam intensity is below its individual threshold for stimulated Brillouin backscattering (SBS), collective behaviors are excited to enhance the octad SBS. In particular, when two-color/cone lasers with wavelength separation 0.3 nm are used, the backward SBS reflectivities show novel behavior in which beams of longer wavelength achieve higher SBS gain. This property of SBS can be attributed to the rotation of the wave vectors of common ion acoustic waves due to the competition of detunings between geometrical angle and wavelength separation. This mechanism is confirmed using massively parallel supercomputer simulations with the three-dimensional laser–plasma interaction code LAP3D.
Suppressing stimulated Raman side-scattering with vector light
Jia Xiaobao, Jia Qing, Yan Rui, Zheng Jian
2023, 8(5) doi: 10.1063/5.0157811
Abstract(2361) FullText HTML (1167) PDF(1)
Abstract:
Recent observations of stimulated Raman side-scattering (SRSS) in different laser inertial confinement fusion ignition schemes have revealed that there is an underlying risk of SRSS on ignition. In this paper, we propose a method that uses the nonuniform nature of the polarization of vector light to suppress SRSS, and we give an additional threshold condition determined by the parameters of the vector light. For SRSS at 90°, where the scattered electromagnetic wave travels perpendicular to the density profile, the variation in polarization of the pump will change the wave vector of the scattered light, thereby reducing the growth length and preventing the scattered electromagnetic wave from growing. This suppression scheme is verified through three-dimensional particle-in-cell simulations. Our illustrative simulation results demonstrate that for linearly polarized Gaussian light, there is a strong SRSS signal in the 90° direction, whereas for vector light, there is very little SRSS signal, even when the conditions significantly exceed the threshold for SRSS. We also discuss the impact of vector light on stimulated Raman backscattering, collective stimulated Brillouin scattering and two-plasmon decay.
RADIATION AND HYDRODYNAMICS
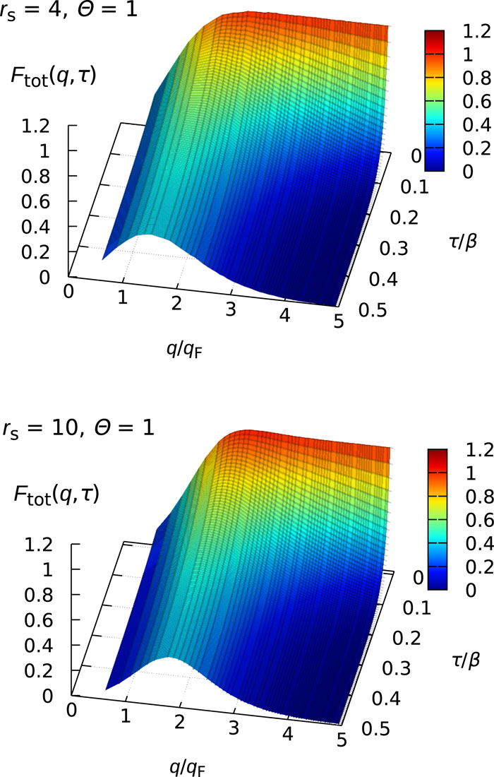
Physical insights from imaginary-time density–density correlation functions
Dornheim Tobias, Moldabekov Zhandos A., Tolias Panagiotis, Böhme Maximilian, Vorberger Jan
2023, 8(5) doi: 10.1063/5.0149638
Abstract(2769) FullText HTML (1329) PDF(4)
Abstract:
An accurate theoretical description of the dynamic properties of correlated quantum many-body systems, such as the dynamic structure factor S( q , ω), is important in many fields. Unfortunately, highly accurate quantum Monte Carlo methods are usually restricted to the imaginary time domain, and the analytic continuation of the imaginary-time density–density correlation function F( q , τ) to real frequencies is a notoriously hard problem. Here, it is argued that often no such analytic continuation is required because by definition, F( q , τ) contains the same physical information as does S( q , ω), only represented unfamiliarly. Specifically, it is shown how one can directly extract key information such as the temperature or quasi-particle excitation energies from the τ domain, which is highly relevant for equation-of-state measurements of matter under extreme conditions [T. Dornheim et al., Nat. Commun. 13 , 7911 (2022)]. As a practical example, ab initio path-integral Monte Carlo results for the uniform electron gas (UEG) are considered, and it is shown that even nontrivial processes such as the roton feature of the UEG at low density [T. Dornheim et al., Commun. Phys. 5 , 304 (2022)] are manifested straightforwardly in F( q , τ). A comprehensive overview is given of various useful properties of F( q , τ) and how it relates to the usual dynamic structure factor. In fact, working directly in the τ domain is advantageous for many reasons and opens up multiple avenues for future applications.
Laser-driven electrodynamic implosion of fast ions in a thin shell
Gus’kov S. Yu., Korneev Ph., Murakami M.
2023, 8(5) doi: 10.1063/5.0156113
Abstract(3269) FullText HTML (1588) PDF(6)
Abstract:
Collision of laser-driven subrelativistic high-density ion flows provides a way to create extremely compressed ion conglomerates and study their properties. This paper presents a theoretical study of the electrodynamic implosion of ions inside a hollow spherical or cylindrical shell irradiated by femtosecond petawatt laser pulses. We propose to apply a very effective mechanism for ion acceleration in a self-consistent field with strong charge separation, based on the oscillation of laser-accelerated fast electrons in this field near the thin shell. Fast electrons are generated on the outer side of the shell under irradiation by the intense laser pulses. It is shown that ions, in particular protons, may be accelerated at the implosion stage to energies of tens and hundreds of MeV when a sub-micrometer shell is irradiated by femtosecond laser pulses with an intensity of 1021–1023 W cm−2.
HIGH PRESSURE PHYSICS AND MATERIALS SCIENCE
The near-room-temperature upsurge of electrical resistivity in Lu-H-N is not superconductivity, but a metal-to-poor-conductor transition
Peng Di, Zeng Qiaoshi, Lan Fujun, Xing Zhenfang, Ding Yang, Mao Ho-kwang
2023, 8(5) doi: 10.1063/5.0166430
Abstract(3280) FullText HTML (1582) PDF(11)
Abstract:
The recent report of superconductivity in nitrogen-doped lutetium hydride (Lu-H-N) at 294 K and 1 GPa brought hope for long-sought-after ambient-condition superconductors. However, the failure of scientists worldwide to independently reproduce these results has cast intense skepticism on this exciting claim. In this work, using a reliable experimental protocol, we synthesized Lu-H-N while minimizing extrinsic influences and reproduced the sudden change in resistance near room temperature. With quantitative comparison of the temperature-dependent resistance between Lu-H-N and the pure lutetium before reaction, we were able to clarify that the drastic resistance change is most likely caused by a metal-to-poor-conductor transition rather than by superconductivity. Herein, we also briefly discuss other issues recently raised in relation to the Lu-H-N system.
Triggering dynamics of acetylene topochemical polymerization
Tang Xingyu, Dong Xiao, Zhang Chunfang, Li Kuo, Zheng Haiyan, Mao Ho-kwang
2023, 8(5) doi: 10.1063/5.0151609
Abstract(2861) FullText HTML (1405) PDF(7)
Abstract:
Topochemical reactions are a promising method to obtain crystalline polymeric materials with distance-determined regio- or stereoselectivity. It has been concluded on an empirical basis that the closest intermolecular C⋯C distance in crystals of alkynes, d(C⋯C)min, should reach a threshold of ∼3 Å for bonding to occur at room temperature. To understand this empirical threshold, we study here the polymerization of acetylene in the crystalline state under high pressure by calculating the structural geometry, vibrational modes, and reaction profile. We find d(C⋯C)min to be the sum of an intrinsic threshold of 2.3 Å and a thermal displacement of 0.8 Å (at room temperature). Molecules at the empirical threshold move via several phonon modes to reach the intrinsic threshold, at which the intermolecular electronic interaction is sharply enhanced and bonding commences. A distance–vibration-based reaction picture is thus demonstrated, which provides a basis for the prediction and design of topochemical reactions, as well as an enhanced understanding of the bonding process in solids.
PERSPECTIVES
HIGH PRESSURE PHYSICS AND MATERIALS SCIENCE
Discovery of the Baijifeng impact structure in Tonghua, Jilin, China
Chen Ming, Lu Yang, Ning Jiahao, Yang Wenge, Shu Jinfu, Mao Ho-kwang
2023, 8(5) doi: 10.1063/5.0172186
Abstract(4023) FullText HTML (1964) PDF(6)
Abstract:
An impact structure 1400 m in diameter, formed by a bolide impact, has been discovered on Baijifeng Mountain in Tonghua City in Northeast China’s Jilin province. The impact structure takes the form of a cirque-shaped depression on the top of the mountain and is located in a basement mainly composed of Proterozoic sandstone and Jurassic granite. A large number of rock fragments composed mainly of sandstone, with a small amount of granite, are distributed on the top of Baijifeng Mountain. Planar deformation features (PDFs) have been found in quartz in the rock and mineral clasts collected from the surface inside the depression. The forms of the PDFs indexed in the quartz include among others, {101̄3}, {101̄2}, and {101̄1}. The presence of these PDFs provides diagnostic evidence for shock metamorphism and the impact origin of the structure. The impact event took place after the Jurassic Period and probably much later.
RESEARCH ARTICLES
HIGH PRESSURE PHYSICS AND MATERIALS SCIENCE
A fresh class of superconducting and hard pentaborides
Xie Hui, Wang Hong, Qin Fang, Han Wei, Wang Suxin, Wang Youchun, Tian Fubo, Duan Defang
2023, 8(5) doi: 10.1063/5.0157250
Abstract(1832) FullText HTML (884) PDF(4)
Abstract:
On the basis of the current theoretical understanding of boron-based hard superconductors under ambient conditions, numerous studies have been conducted with the aim of developing superconducting materials with favorable mechanical properties using boron-rich compounds. In this paper, first-principles calculations reveal the existence of an unprecedented family of tetragonal pentaborides MB5 (M = Na, K, Rb, Ca, Sr, Ba, Sc, and Y), comprising B20 cages and centered metal atoms acting as stabilizers and electron donors to the boron sublattice. These compounds exhibit both superconductivity and high hardness, with the maximum superconducting transition temperature Tc of 18.6 K being achieved in RbB5 and the peak Vickers hardness Hv of 35.1 GPa being achieved in KB5 at 1 atm. The combination of these properties is particularly evident in KB5, RbB5, and BaB5, with Tc values of ∼14.7, 18.6, and 16.3 K and Hv values of ∼35.1, 32.4, and 33.8 GPa, respectively. The results presented here reveal that pentaborides can provide a framework for exploring and designing novel superconducting materials with favorable hardness at achievable pressures and even under ambient conditions.