Follow us on Wechat

2021 Vol. 6, No. 2

Display Method:
RADIATION AND HYDRODYNAMICS
Research Articles
Extreme matter compression caused by radiation cooling effect in gigabar shock wave driven by laser-accelerated fast electrons
Gus’kov S. Yu., Kuchugov P. A., Vergunova G. A.
2021, 6(2) doi: 10.1063/5.0026002
Abstract(4572) FullText HTML (2201) PDF(12)
Abstract:
Heating a solid material with laser-accelerated fast electrons is a particularly useful method for generating a plane powerful shock wave with a pressure of several hundred or even thousands of Mbar in the laboratory. Behind the front of such a powerful shock wave, dense plasma is heated to a temperature of several keV. Then, a high rate of radiation energy loss occurs even in low-Z plasmas. In this paper, the strong compression of matter due to radiation cooling in a Gbar shock wave driven by fast electrons is studied using both computational and theoretical approaches. It is shown that the effect of radiation cooling leads to compression of matter in the peripheral region of the shock wave to a density several times greater than the density at its front. Heating a solid material by a petawatt flux of laser-accelerated fast electrons offers the opportunity to surpass the gigabar pressure level of plane shock waves generated by the impact of laser-accelerated pellets. Higher pressures of about 100 Gbar can be achieved under laboratory conditions only when a spherical target is imploded under the action of a terawatt laser pulse.
EDITORIAL
FUNDAMENTAL PHYSICS AT EXTREME LIGHT
Reviews
Pulsed-field nuclear magnetic resonance: Status and prospects
Liu Qinying, Liu Shiyu, Luo Yongkang, Han Xiaotao
2021, 6(2) doi: 10.1063/5.0040208
Abstract(3522) FullText HTML (1652) PDF(29)
Abstract:
High-magnetic-field nuclear magnetic resonance (NMR) has manifested itself as an indispensable tool in modern scientific research in the fields of physics, chemistry, materials science, biology, and medicine, among others, owing to its great advantages in both measurement sensitivity and quantum controllability. At present, the use of pulsed fields is the only controllable and nondestructive way to generate high magnetic fields of up to 100 T. NMR combined with pulsed fields is therefore considered to have immense potential for application in multiple scientific and technical disciplines. Irrespective of the paramount technical challenges, including short duration of the pulsed fields, unstable plateaus, and poor field homogeneity and reproducibility, great progress has been made in a number of pulsed-field laboratories in Germany, France, and Japan. In this paper, we briefly review the status of the pulsed-field NMR technique, as well as its applications in multiple disciplines. We also discuss future trends with regard to the upgrading of pulsed-field NMR.
INERTIAL CONFINEMENT FUSION PHYSICS
Research Articles
Fabrication of solid CH-CD multilayer microspheres for inertial confinement fusion
Liu Meifang, Ai Xing, Liu Yiyang, Chen Qiang, Zhang Shuai, He Zhibing, Huang Yawen, Yin Qiang
2021, 6(2) doi: 10.1063/5.0033103
Abstract(4100) FullText HTML (2005) PDF(8)
Abstract:
Deuterated polymer microspheres can be used as a neutron source in conjunction with lasers because thermonuclear fusion neutrons can be produced efficiently by collisions of the resulting energetic deuterium ions. A new type of solid deuterated polymer microsphere with a carbon hydrogen–carbon deuterium (CH-CD) multilayer has been designed for preparing the target for inertial confinement fusion (ICF) experiments. To fabricate these solid CH-CD multilayer microspheres, CH beads are first fabricated by a microfluidic technique, and the CD coating layer is prepared by a plasma polymerization method. Both polystyrene (PS) and poly(α-methylstyrene) (PAMS) are used as the material sources for the CH beads. The effects of the PS and PAMS materials on the quality of the solid CH beads and the resulting CH-CD multilayer polymer microspheres are investigated. The solid PS beads have better sphericity and a smoother surface, but large vacuoles are observed in solid PS-CD multilayer microspheres owing to the presence of residual fluorobenzene in the beads and a glass transition temperature of the solid PS beads that is lower than the temperature of plasma polymerization. Therefore, solid PAMS beads are more suitable as a mandrel for fabricating solid CH-CD multilayer polymer microspheres. Solid CH-CD multilayer microspheres with specified size have been successfully prepared by controlling the droplet size and the CD deposition rate and deposition time. Compared with the design value, the diameter deviation of the inner CH beads and the thickness deviation of the CD layer can be controlled within 20 µm and 2 µm, respectively. Thus, an approach has been developed to fabricate solid CH-CD multilayer microspheres that meet the physical design requirements for ICF.
Studies of laser-plasma interaction physics with low-density targets for direct-drive inertial confinement fusion on the Shenguang III prototype
Tikhonchuk V. T., Gong T., Jourdain N., Renner O., Condamine F. P., Pan K. Q., Nazarov W., Hudec L., Limpouch J., Liska R., Krůs M., Wang F., Yang D., Li S. W., Li Z. C., Guan Z. Y., Liu Y. G., Xu T., Peng X. S., Liu X. M., Li Y. L., Li J., Song T. M., Yang J. M., Jiang S. E., Zhang B. H., Huo W. Y., Ren G., Chen Y. H., Zheng W., Ding Y. K., Lan K., Weber S.
2021, 6(2) doi: 10.1063/5.0023006
Abstract(4581) FullText HTML (2660) PDF(205)
Abstract:
The physics of laser-plasma interaction is studied on the Shenguang III prototype laser facility under conditions relevant to inertial confinement fusion designs. A sub-millimeter-size underdense hot plasma is created by ionization of a low-density plastic foam by four high-energy (3.2 kJ) laser beams. An interaction beam is fired with a delay permitting evaluation of the excitation of parametric instabilities at different stages of plasma evolution. Multiple diagnostics are used for plasma characterization, scattered radiation, and accelerated electrons. The experimental results are analyzed with radiation hydrodynamic simulations that take account of foam ionization and homogenization. The measured level of stimulated Raman scattering is almost one order of magnitude larger than that measured in experiments with gasbags and hohlraums on the same installation, possibly because of a greater plasma density. Notable amplification is achieved in high-intensity speckles, indicating the importance of implementing laser temporal smoothing techniques with a large bandwidth for controlling laser propagation and absorption.
RADIATION AND HYDRODYNAMICS
Research Articles
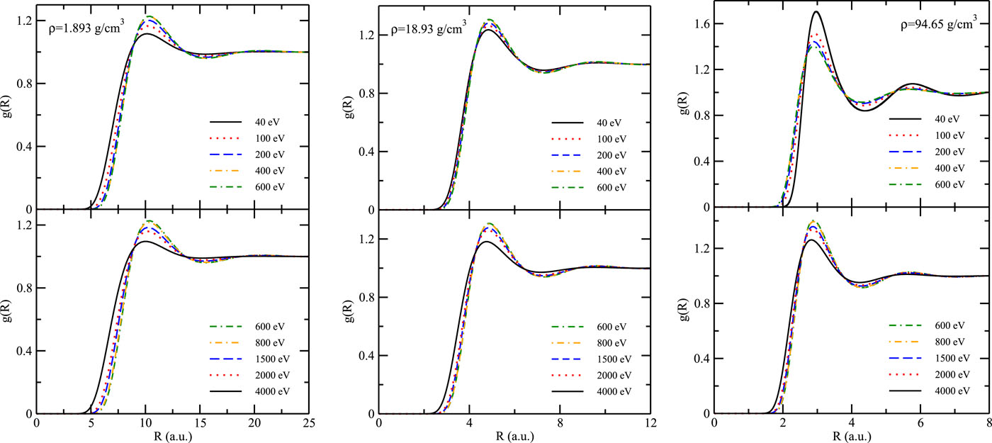
Ionic self-diffusion coefficient and shear viscosity of high-Z materials in the hot dense regime
Hou Yong, Jin Yang, Zhang Ping, Kang Dongdong, Gao Cheng, Redmer Ronald, Yuan Jianmin
2021, 6(2) doi: 10.1063/5.0024409
Abstract(2372) FullText HTML (1137) PDF(11)
Abstract:
High-Z materials exhibit a broad range of variation of the charge state in the hot dense regime, and so ionic structures become complex with increasing density and temperature owing to ionization. Taking high-Z uranium as example, we study its electronic and ionic structures in the hot dense regime by combining an average-atom model with the hypernetted chain approximation. The electronic structure is described by solving the Dirac equation, taking account of relativistic effects, including broadening of the energy levels, and the effect of other ions via correlation functions. On the basis of the electronic distribution around a nucleus, the ion pair potential is constructed using the modified Gordon–Kim model in the frame of temperature-dependent density functional theory. Because of the presence of ion–ion strong coupling, the bridge function is included in the hypernetted chain approximation, which is used to calculate the correlation functions. To take account of the influence on transport properties of the strong correlation of electrons with highly charged ions, we perform both classical and Langevin molecular dynamics simulations to determine ion self-diffusion coefficients and the shear viscosity, using the Green–Kubo relation and an ion–ion pair potential with good convergence. We show that the influence of electron–ion collisions on transport properties becomes more important as the free electron density increases owing to thermal ionization.
Thermal transport by electrons and ions in warm dense aluminum: A combined density functional theory and deep potential study
Liu Qianrui, Li Junyi, Chen Mohan
2021, 6(2) doi: 10.1063/5.0030123
Abstract(4055) FullText HTML (1984) PDF(16)
Abstract:
We propose an efficient scheme that combines density functional theory (DFT) with deep potentials (DPs), to systematically study convergence issues in the computation of the electronic thermal conductivity of warm dense aluminum (2.7 g/cm3 and temperatures ranging from 0.5 eV to 5.0 eV) with respect to the number of k-points, the number of atoms, the broadening parameter, the exchange-correlation functionals, and the pseudopotentials. Furthermore, we obtain the ionic thermal conductivity using the Green–Kubo method in conjunction with DP molecular dynamics simulations, and we study size effects on the ionic thermal conductivity. This work demonstrates that the proposed method is efficient in evaluating both electronic and ionic thermal conductivities of materials.
Dynamics of particles near the surface of a medium under ultra-strong shocks
Yan Zixiang, Liu Hao, Zhang Xinyu, Ren Guoli, Liu Jie, Kang Wei, Zhang Weiyan, He Xiantu
2021, 6(2) doi: 10.1063/5.0030906
Abstract(2937) FullText HTML (1403) PDF(10)
Abstract:
Through nonequilibrium molecular dynamics simulations, we provide an atomic-scale picture of the dynamics of particles near the surface of a medium under ultra-strong shocks. This shows that the measured surface velocity vf under ultra-strong shocks is actually the velocity of the critical surface at which the incident probe light is reflected, and vf has a single-peaked structure. The doubling rule commonly used in the case of relatively weak shocks to determine particle velocity behind the shock front is generally not valid under ultra-strong shocks. After a short period of acceleration, vf exhibits a long slowly decaying tail, which is not sensitive to the atomic mass of the medium. A scaling law for vf is also proposed, and this may be used to improve the measurement of particle velocity u in future experiments.
On the study of hydrodynamic instabilities in the presence of background magnetic fields in high-energy-density plasmas
Manuel M. J.-E., Khiar B., Rigon G., Albertazzi B., Klein S. R., Kroll F., Brack F. -E., Michel T., Mabey P., Pikuz S., Williams J. C., Koenig M., Casner A., Kuranz C. C.
2021, 6(2) doi: 10.1063/5.0025374
Abstract(3135) FullText HTML (1505) PDF(21)
Abstract:
Blast-wave-driven hydrodynamic instabilities are studied in the presence of a background B-field through experiments and simulations in the high-energy-density (HED) physics regime. In experiments conducted at the Laboratoire pour l’utilisation des lasers intenses (LULI), a laser-driven shock-tube platform was used to generate a hydrodynamically unstable interface with a prescribed sinusoidal surface perturbation, and short-pulse x-ray radiography was used to characterize the instability growth with and without a 10-T B-field. The LULI experiments were modeled in FLASH using resistive and ideal magnetohydrodynamics (MHD), and comparing the experiments and simulations suggests that the Spitzer model implemented in FLASH is necessary and sufficient for modeling these planar systems. These results suggest insufficient amplification of the seed B-field, due to resistive diffusion, to alter the hydrodynamic behavior. Although the ideal-MHD simulations did not represent the experiments accurately, they suggest that similar HED systems with dynamic plasma-β (=2μ0ρv2/B2) values of less than ∼100 can reduce the growth of blast-wave-driven Rayleigh–Taylor instabilities. These findings validate the resistive-MHD FLASH modeling that is being used to design future experiments for studying B-field effects in HED plasmas.