Follow us on Wechat

2025 Vol. 10, No. 4

REVIEWS
High Pressure Physics and Materials Science
Short-range order in binary and multiple principal element alloys: A review
Liu Yuxin, Lou Hongbo, Zhang Fei, Zeng Zhidan, Zeng Qiaoshi
2025, 10(4) doi: 10.1063/5.0275123
Abstract(2536) FullText HTML (1226) PDF(2)
Abstract:
Multiple principal element alloys (MPEAs), also known as high-entropy alloys, have attracted significant attention because of their exceptional mechanical and thermal properties. A critical factor influencing these properties is suggested to be the presence of chemical short-range order (SRO), characterized by specific atomic arrangements occurring more frequently than in a random distribution. Despite extensive efforts to elucidate SRO, particularly in face-centered cubic (fcc) 3d transition metal-based MPEAs, several key aspects remain under debate: the conditions under which SRO forms, the reliability of characterization methods for detecting SRO, and its quantitative impact on mechanical performance. This review summarizes the challenges and unresolved issues in this emerging field, drawing comparisons with well-established research on SRO in binary alloys over the past few decades. Through this cross-system comparison, we aim to provide new insights into SRO from a comprehensive perspective.
LETTERS
Inertial Confinement Fusion Physics
Investigation of ruling parameters on the growth of side and back stimulated Raman scattering in inhomogeneous plasmas at shock ignition laser intensity
Cristoforetti G., Hume E., Agarwal S., Batani D., Cervenak M., Devi P., Dudzak R., Ettel D., Gajdos P., Glize K., Jelinek S., Juha L., Koester P., Krupka M., Krus M., Larreur H., Malka G., Mancelli D., Masson-Laborde P. E., Morace A., Nicolai Ph., Renner O., Singappuli D., Singh S., Tatarakis M., Yuan X., Wang Y., Woolsey N., Zhang J., Zhao X., Gizzi L. A.
2025, 10(4) doi: 10.1063/5.0257022
Abstract(3062) FullText HTML (1502) PDF(2)
Abstract:
Recent experiments at the National Ignition Facility and theoretical modeling suggest that side stimulated Raman scattering (SSRS) instability could reduce laser–plasma coupling and generate considerable fluxes of suprathermal hot electrons under interaction conditions envisaged for direct-drive schemes for inertial confinement fusion. Nonetheless, SSRS remains to date one of the least understood parametric instabilities. Here, we report the first angularly and spectrally resolved measurements of scattered light at laser intensities relevant for the shock ignition scheme (I ∼ 1016 W/cm2), showing significant SSRS growth in the direction perpendicular to the laser polarization. Modification of the focal spot shape and orientation, obtained by using two different random phase plates, and of the density gradient of the plasma, by utilizing exploding foil targets of different thicknesses, clearly reveals a different dependence of backward SRS (BSRS) and SSRS on experimental parameters. While convective BSRS scales with plasma density scale length, as expected by linear theory, the growth of SSRS depends on the spot extension in the direction perpendicular to laser polarization. Our analysis therefore demonstrates that under current experimental conditions, with density scale lengths Ln ≈ 60–120 μm and spot sizes FWHM ≈ 40–100 μm, SSRS is limited by laser beam size rather than by the density scale length of the plasma.
RESEARCH ARTICLES
Fundamental Physics at Extreme Light
Reconnection of magnetic flux ropes driven by two-color Laguerre–Gaussian laser pulses in plasma
Liu Yin-Hong, Weng Su-Ming, Sheng Zheng-Ming
2025, 10(4) doi: 10.1063/5.0256030
Abstract(2928) FullText HTML (1423) PDF(0)
Abstract:
The generation and reconnection of magnetic flux ropes in a plasma irradiated by two Laguerre–Gaussian laser pulses with different frequencies and opposite topological charges are investigated numerically by particle-in-cell simulations. It is shown that twisted plasma currents and hence magnetic flux ropes can be effectively generated as long as the laser frequency difference matches the electron plasma frequency. More importantly, subsequent reconnection of magnetic flux ropes can occur. Typical signatures of magnetic reconnection, such as magnetic island formation and plasma heating, are identified in the reconnection of magnetic flux ropes. Notably, it is found that a strong axial magnetic field can be generated on the axis, owing to the azimuthal current induced during the reconnection of the ropes. This indicates that in the reconnection of magnetic flux ropes, the energy can be transferred not only from the magnetic field to the plasma but also from the plasma current back to the magnetic field. This work opens a new avenue to the study of magnetic flux ropes, which helps in understanding magnetic topology changes, and resultant magnetic energy dissipation, plasma heating, and particle acceleration found in solar flares, and magnetic confinement fusion devices.
Improvement of photon energy at X-ray free-electron lasers using plasma-based afterburner
Liu Letian, Ma Qianyi, Xia Yuhui, Wang Zhenan, Chen Yuekai, Yang Zhiyan, Cai Dongchi, Xu Zewei, Tang Ziyao, Hu Jianghao, An Weiming, Feng Chao, Yan Xueqing, Xu Xinlu
2025, 10(4) doi: 10.1063/5.0272184
Abstract(3465) FullText HTML (1684) PDF(0)
Abstract:
X-ray free-electron lasers (XFELs) can generate bright X-ray pulses with short durations and narrow bandwidths, leading to extensive applications in many disciplines such as biology, materials science, and ultrafast science. Recently, there has been a growing demand for X-ray pulses with high photon energy, especially from developments in “diffraction-before-destruction” applications and in dynamic mesoscale materials science. Here, we propose utilizing the electron beams at XFELs to drive a meter-scale two-bunch plasma wakefield accelerator and double the energy of the accelerated beam in a compact and inexpensive way. Particle-in-cell simulations are performed to study the beam quality degradation under different beam loading scenarios and nonideal issues, and the results show that more than half of the accelerated beam can meet the requirements of XFELs. After its transport to the undulator, the accelerated beam can improve the photon energy to 22 keV by a factor of around four while maintaining the peak power, thus offering a promising pathway toward high-photon-energy XFELs.
Radiation and Hydrodynamics
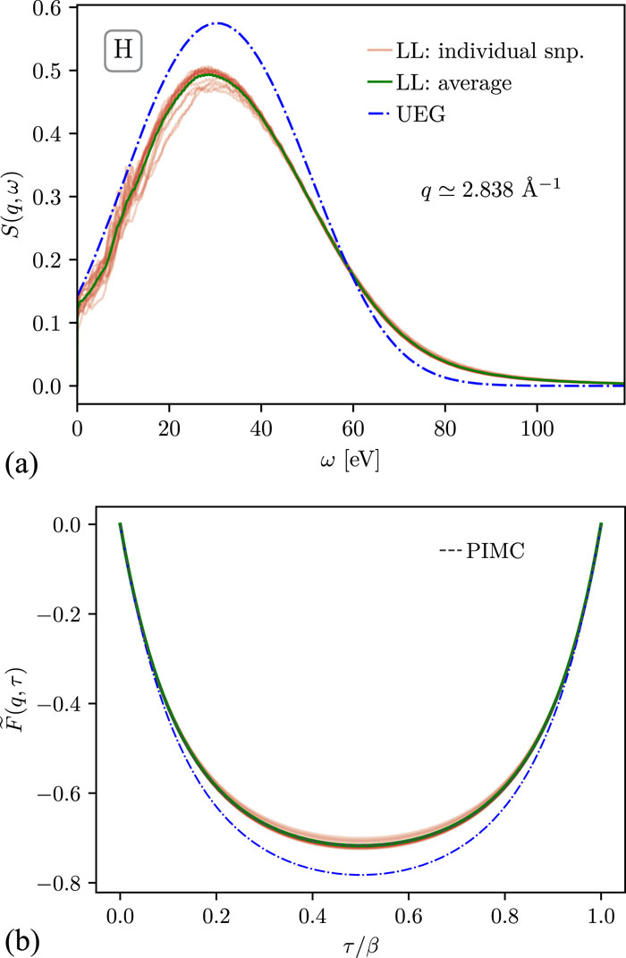
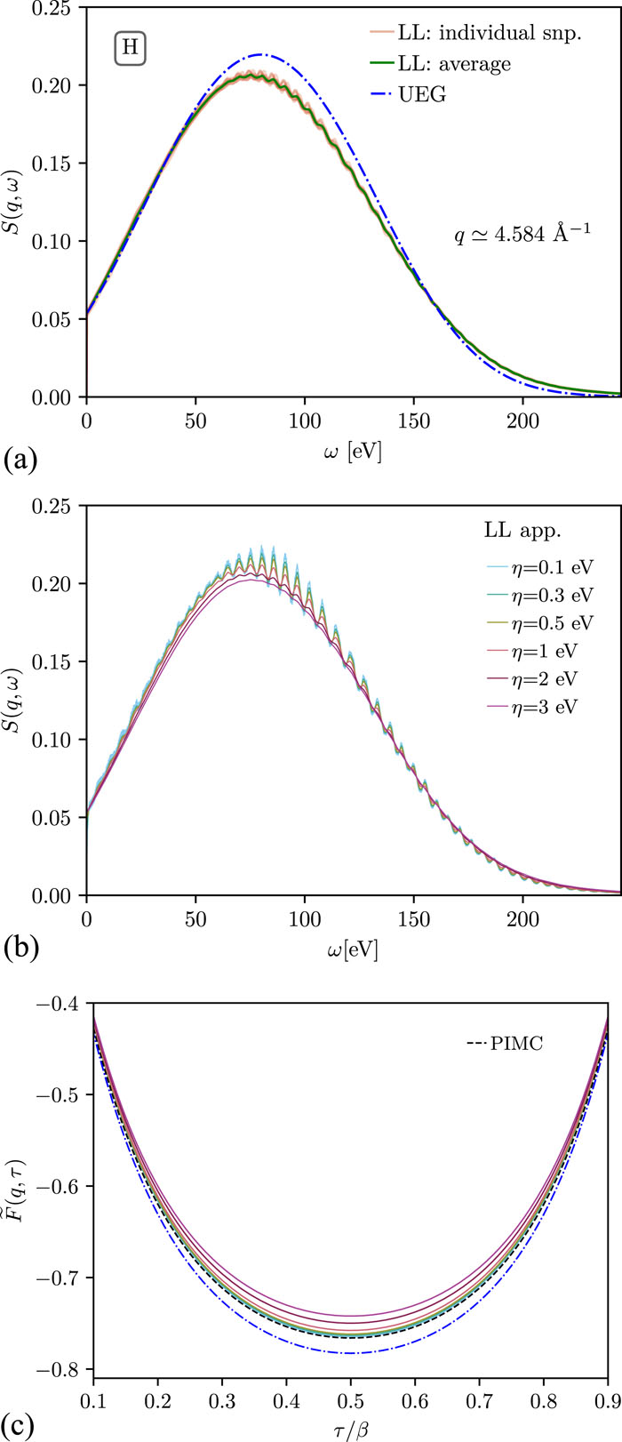
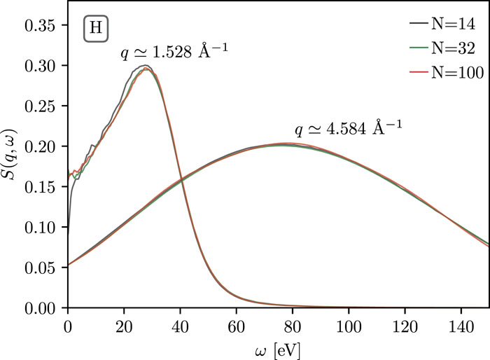
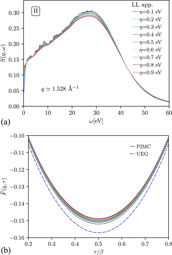
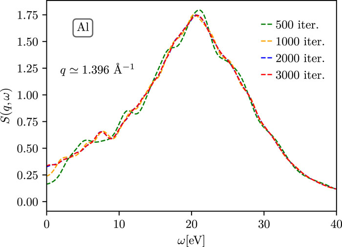
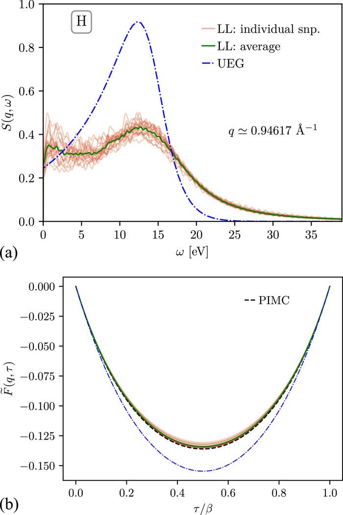
Applying the Liouville–Lanczos method of time-dependent density-functional theory to warm dense matter
Moldabekov Zhandos A., Schwalbe Sebastian, Gawne Thomas, Preston Thomas R., Vorberger Jan, Dornheim Tobias
2025, 10(4) doi: 10.1063/5.0263947
Abstract(2070) FullText HTML (1015) PDF(0)
Abstract:
Ab initio modeling of dynamic structure factors (DSF) and related density response properties in the warm dense matter (WDM) regime is a challenging computational task. The DSF, convolved with a probing X-ray beam and instrument function, is measured in X-ray Thomson scattering (XRTS) experiments, which allow the study of electronic structure properties at the microscopic level. Among the various ab initio methods, linear-response time-dependent density-functional theory (LR-TDDFT) is a key framework for simulating the DSF. The standard approach in LR-TDDFT for computing the DSF relies on the orbital representation. A significant drawback of this method is the unfavorable scaling of the number of required empty bands as the wavenumber increases, making LR-TDDFT impractical for modeling XRTS measurements over large energy scales, such as in backward scattering geometry. In this work, we consider and test an alternative approach to LR-TDDFT that employs the Liouville–Lanczos (LL) method for simulating the DSF of WDM. This approach does not require empty states and allows the DSF at large momentum transfer values and over a broad frequency range to be accessed. We compare the results obtained from the LL method with those from the solution of Dyson’s equation using the standard LR-TDDFT within the projector augmented-wave formalism for isochorically heated aluminum and warm dense hydrogen. Additionally, we utilize exact path integral Monte Carlo results for the imaginary-time density-density correlation function (ITCF) of warm dense hydrogen to rigorously benchmark the LL approach. We discuss the application of the LL method for calculating DSFs and ITCFs at different wavenumbers, the effects of pseudopotentials, and the role of Lorentzian smearing. The successful validation of the LL method under WDM conditions makes it a valuable addition to the ab initio simulation landscape, supporting experimental efforts and advancing WDM theory.
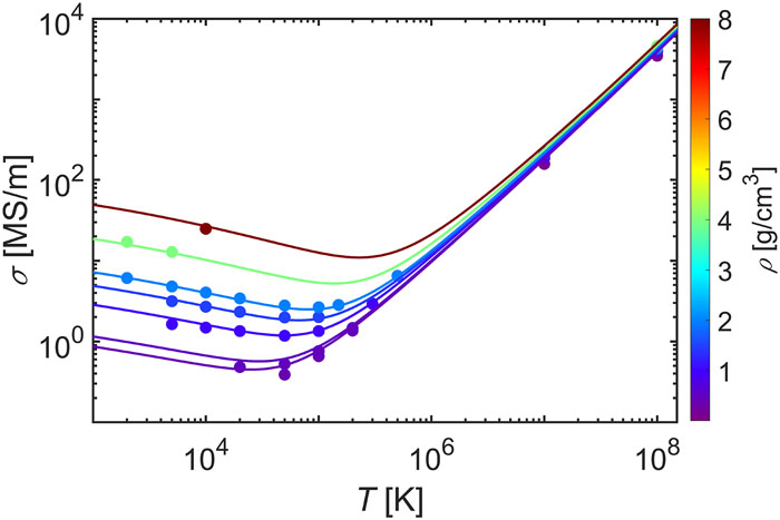
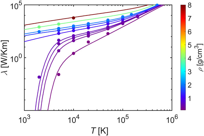
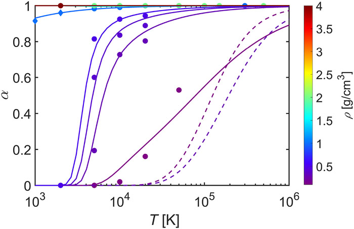
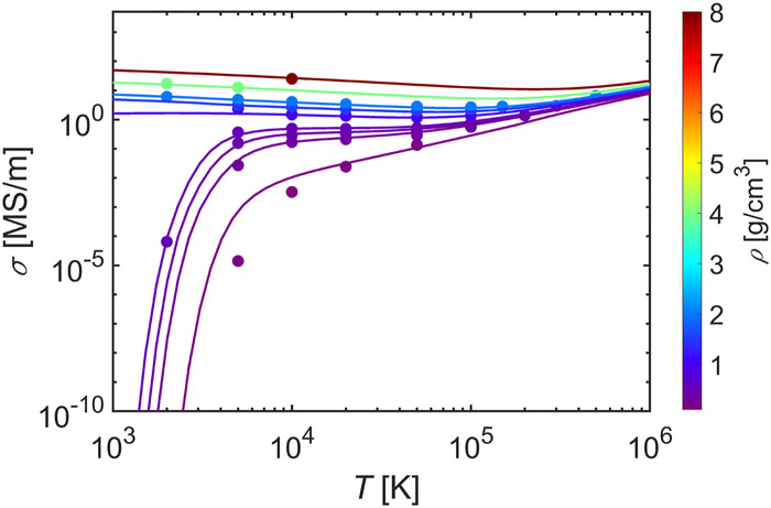
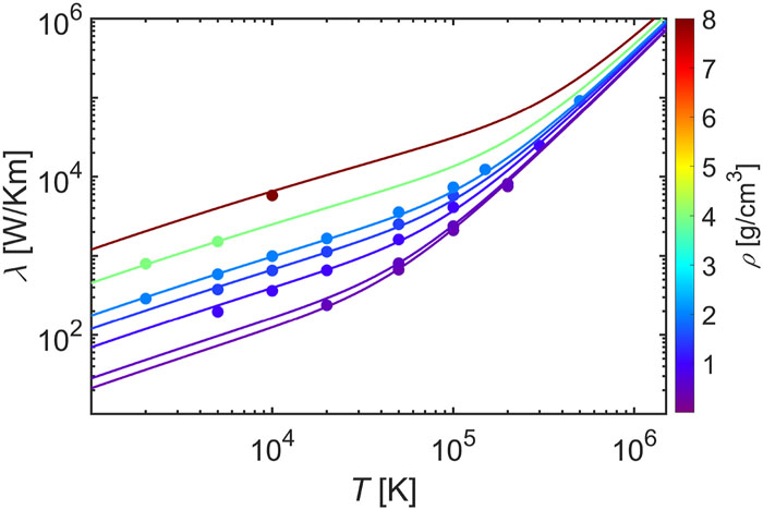
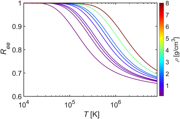
A conductivity model for hydrogen based on ab initio simulations
Kleinschmidt Uwe, Redmer Ronald
2025, 10(4) doi: 10.1063/5.0250970
Abstract(2555) FullText HTML (1248) PDF(0)
Abstract:
We calculate the electrical and thermal conductivity of hydrogen for a wide range of densities and temperatures by using molecular dynamics simulations informed by density functional theory. On the basis of the corresponding extended ab initio data set, we construct interpolation formulas covering the range from low-density, high-temperature to high-density, low-temperature plasmas. Our conductivity model reproduces the well-known limits of the Spitzer and Ziman theory. We compare with available experimental data and find very good agreement. The new conductivity model can be applied, for example, in dynamo simulations for magnetic field generation in gas giant planets, brown dwarfs, and stellar envelopes.
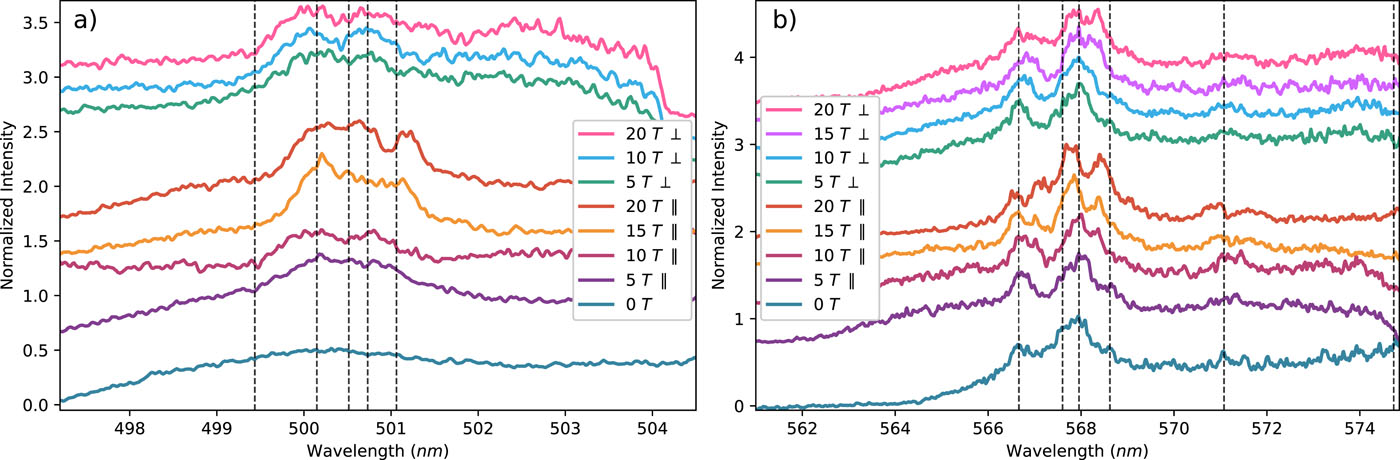
Zeeman splitting observations in laser-produced magnetized blast waves
Triantafyllidis A., Marquès J.-R., Ferri S., Calisti A., Benkadoum Y., De León Y., Dearling A., Ciardi A., Béard J., Lagarrigue J.-M., Ozaki N., Koenig M., Albertazzi B.
2025, 10(4) doi: 10.1063/5.0256859
Abstract(2518) FullText HTML (1221) PDF(0)
Abstract:
We report the observation of Zeeman splitting in multiple spectral lines emitted by a laser-produced, magnetized plasma (1–3 × 1018 cm−3, 1–15 eV) in the context of a laboratory astrophysics experiment under a controlled magnetic field up to 20 T. Nitrogen lines (NII) in the visible range (563–574 nm) were used to diagnose the magnetic field and plasma conditions. This was performed by coupling our data with the Stark–Zeeman line-shape code PPPB. The excellent agreement between experiment and simulations paves the way for a non-intrusive experimental platform to get time-resolved measurements of the local magnetic field in laboratory plasmas.
High Pressure Physics and Materials Science
Ultrahigh-pressure generation above 50 GPa in a Kawai-type large-volume press
Zhao Xinyu, Ren Fenglin, He Jinze, Pan Yue, Tang Hu, Zhang Xiaoming, Yao Di, Liu Ran, Hu Kuo, Liu Zhaodong, Liu Bingbing
2025, 10(4) doi: 10.1063/5.0249620
Abstract(2719) FullText HTML (1325) PDF(1)
Abstract:
The ability to generate high pressures in a large-volume press (LVP) is crucial for the study of matter under extreme conditions. Here, we have achieved ultrahigh pressures of ∼60 and 50 GPa, respectively, at room temperature and a high temperature of 1900 K within a millimeter-sized sample volume in a Kawai-type LVP (KLVP) using hard tungsten carbide (WC) and newly designed assemblies. The introduction of electroconductive polycrystalline boron-doped diamond and dense alumina wrapped with Cu foils into a large conventional cell assembly enables the detection of resistance variations in the Fe2O3 pressure standard upon compression. The efficiency of pressure generation in the newly developed cell assembly equipped with conventional ZK10F WC anvils is significantly higher than that of conventional assemblies with some ultrahard or tapered WC anvils. Our study has enabled the routine generation of pressures exceeding 50 GPa within a millimeter-sized sample chamber that have been inaccessible with traditional KLVPs. This advance in high-pressure technology not only breaks a record for pressure generation in traditional KLVPs, but also opens up new avenues for exploration of the properties of the Earth’s deep interior and for the synthesis of novel materials at extreme high pressures.