Follow us on Wechat

2023 Vol. 8, No. 6

EDITORIAL
RESEARCH ARTICLES
FUNDAMENTAL PHYSICS AT EXTREME LIGHT
Generating a tunable narrow electron beam comb via laser-driven plasma grating
Yang Hetian, Wang Jingwei, Luan Shixia, Feng Ke, Wang Wentao, Li Ruxin
2023, 8(6) doi: 10.1063/5.0151883
Abstract(3933) FullText HTML (1937) PDF(9)
Abstract:
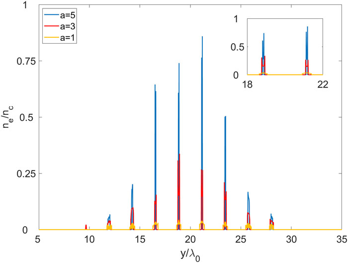
We propose a novel approach for generating a high-density, spatially periodic narrow electron beam comb (EBC) from a plasma grating induced by the interference of two intense laser pulses in subcritical-density plasma. We employ particle-in-cell (PIC) simulations to investigate the effects of cross-propagating laser pulses with specific angles overlapping in a subcritical plasma. This overlap results in the formation of a transverse standing wave, leading to a spatially periodic high-density modulation known as a plasma grating. The electron density peak within the grating can reach several times the background plasma density. The charge imbalance between electrons and ions in the electron density peaks causes mutual repulsion among the electrons, resulting in Coulomb expansion and acceleration of the electrons. As a result, some electrons expand into vacuum, forming a periodic narrow EBC with an individual beam width in the nanoscale range. To further explore the formation of the nanoscale EBC, we conduct additional PIC simulations to study the dependence on various laser parameters. Overall, our proposed method offers a promising and controlled approach to generate tunable narrow EBCs with high density.
Simulations of spin/polarization-resolved laser–plasma interactions in the nonlinear QED regime
Wan Feng, Lv Chong, Xue Kun, Dou Zhen-Ke, Zhao Qian, Ababekri Mamutjan, Wei Wen-Qing, Li Zhong-Peng, Zhao Yong-Tao, Li Jian-Xing
2023, 8(6) doi: 10.1063/5.0163929
Abstract(3198) FullText HTML (1561) PDF(4)
Abstract:
Strong-field quantum electrodynamics (SF-QED) plays a crucial role in ultraintense laser–matter interactions and demands sophisticated techniques to understand the related physics with new degrees of freedom, including spin angular momentum. To investigate the impact of SF-QED processes, we have introduced spin/polarization-resolved nonlinear Compton scattering, nonlinear Breit–Wheeler, and vacuum birefringence processes into our particle-in-cell (PIC) code. In this article, we provide details of the implementation of these SF-QED modules and share known results that demonstrate exact agreement with existing single-particle codes. By coupling normal PIC simulations with spin/polarization-resolved SF-QED processes, we create a new theoretical platform to study strong-field physics in currently running or planned petawatt or multi-petawatt laser facilities.
Electron acceleration in a coil target-driven low-β magnetic reconnection simulation
Yu Jiacheng, Zhong Jiayong, Ping Yongli, An Weiming
2023, 8(6) doi: 10.1063/5.0149259
Abstract(3451) FullText HTML (1678) PDF(4)
Abstract:
Magnetic reconnection driven by a capacitor coil target is an innovative way to investigate low-β magnetic reconnection in the laboratory, where β is the ratio of particle thermal pressure to magnetic pressure. Low-β magnetic reconnection frequently occurs in the Earth’s magnetosphere, where the plasma is characterized by β ≲ 0.01. In this paper, we analyze electron acceleration during magnetic reconnection and its effects on the electron energy spectrum via particle-in-cell simulations informed by parameters obtained from experiments. We note that magnetic reconnection starts when the current sheet is down to about three electron inertial lengths. From a quantitative comparison of the different mechanisms underlying the electron acceleration in low-β reconnection driven by coil targets, we find that the electron acceleration is dominated by the betatron mechanism, whereas the parallel electric field plays a cooling role and Fermi acceleration is negligible. The accelerated electrons produce a hardened power-law spectrum with a high-energy bump. We find that injecting electrons into the current sheet is likely to be essential for further acceleration. In addition, we perform simulations for both a double-coil co-directional magnetic field and a single-coil one to eliminate the possibility of direct acceleration of electrons beyond thermal energies by the coil current. The squeeze between the two coil currents can only accelerate electrons inefficiently before reconnection. The simulation results provide insights to guide future experimental improvements in low-β magnetic reconnection driven by capacitor coil targets.
Density-dependent carrier-envelope phase shift in attosecond pulse generation from relativistically oscillating mirrors
Zagidullin Rishat, Tietze Stefan, Zepf Matt, Wang Jingwei, Rykovanov Sergey
2023, 8(6) doi: 10.1063/5.0155957
Abstract(3051) FullText HTML (1479) PDF(3)
Abstract:
The carrier-envelope phase (CEP) φ0 is one of the key parameters in the generation of isolated attosecond pulses. In particular, “cosine” pulses (φ0 = 0) are best suited for generation of single attosecond pulses in atomic media. Such “cosine” pulses have the peak of the most intense cycle aligned with the peak of the pulse envelope, and therefore have the highest contrast between the peak intensity and the neighboring cycles. In this paper, the dynamics of single attosecond pulse generation from a relativistically oscillating plasma mirror is investigated. We use an elementary analytical model as well as particle-in-cell simulations to study few-cycle attosecond pulses. We find that the phase of the field driving the surface oscillations depends on the plasma density and preplasma scale length. This leads us to a counterintuitive conclusion: for the case of normal incidence and a sharp plasma–vacuum boundary, the CEP required for the generation of a single attosecond pulse phase is closer to φ0 = π/2 (a “sine” pulse), with the exact value depending on the plasma parameters.
Spin-polarized electron beam generation in the colliding-pulse injection scheme
Gong Zheng, Quin Michael J., Bohlen Simon, Keitel Christoph H., Põder Kristjan, Tamburini Matteo
2023, 8(6) doi: 10.1063/5.0152382
Abstract(2615) FullText HTML (1262) PDF(5)
Abstract:
Employing colliding-pulse injection has been shown to enable the generation of high-quality electron beams from laser–plasma accelerators. Here, by using test particle simulations, Hamiltonian analysis, and multidimensional particle-in-cell simulations, we lay the theoretical framework for spin-polarized electron beam generation in the colliding-pulse injection scheme. Furthermore, we show that this scheme enables the production of quasi-monoenergetic electron beams in excess of 80% polarization and tens of pC charge with commercial 10-TW-class laser systems.
INERTIAL CONFINEMENT FUSION PHYSICS
Transition from backward to sideward stimulated Raman scattering with broadband lasers in plasmas
Li X. F., Weng S. M., Gibbon P., Ma H. H., Yew S. H., Liu Z., Zhao Y., Chen M., Sheng Z. M., Zhang J.
2023, 8(6) doi: 10.1063/5.0152668
Abstract(3247) FullText HTML (1579) PDF(8)
Abstract:
Broadband lasers have been proposed as future drivers of inertial confined fusion (ICF) to enhance the laser–target coupling efficiency via the mitigation of various parametric instabilities. The physical mechanisms involved have been explored recently, but are not yet fully understood. Here, stimulated Raman scattering (SRS) as one of the key parametric instabilities is investigated theoretically and numerically for a broadband laser propagating in homogeneous plasma in multidimensional geometry. The linear SRS growth rate is derived as a function of scattering angles for two monochromatic laser beams with a fixed frequency difference δω. If δω/ω0 ∼ 1%, with ω0 the laser frequency, these two laser beams may be decoupled in stimulating backward SRS while remaining coupled for sideward SRS at the laser intensities typical for ICF. Consequently, side-scattering may dominate over backward SRS for two-color laser light. This finding of SRS transition from backward to sideward SRS is then generalized for a broadband laser with a few-percent bandwidth. Particle-in-cell simulations demonstrate that with increasing laser bandwidth, the sideward SRS gradually becomes dominant over the backward SRS. Since sideward SRS is very efficient in producing harmful hot electrons, attention needs to be paid on this effect if ultra-broadband lasers are considered as next-generation ICF drivers.
Characterization of hot electrons generated by laser–plasma interaction at shock ignition intensities
Filippov E. D., Khan M., Tentori A., Gajdos P., Martynenko A. S., Dudzak R., Koester P., Zeraouli G., Mancelli D., Baffigi F., Gizzi L. A., Pikuz S. A., Nicolaï Ph.D., Woolsey N. C., Fedosejevs R., Krus M., Juha L., Batani D., Renner O., Cristoforetti G.
2023, 8(6) doi: 10.1063/5.0157168
Abstract(4178) FullText HTML (2018) PDF(6)
Abstract:
In an experiment carried out at the Prague Asterix Laser System at laser intensities relevant to shock ignition conditions (I > 1016 W/cm2), the heating and transport of hot electrons were studied by using several complementary diagnostics, i.e., Kα time-resolved imaging, hard x-ray filtering (a bremsstrahlung cannon), and electron spectroscopy. Ablators with differing composition from low Z (parylene N) to high Z (nickel) were used in multilayer planar targets to produce plasmas with different coronal temperature and collisionality and modify the conditions of hot-electron generation. The variety of available diagnostics allowed full characterization of the population of hot electrons, retrieving their conversion efficiency, time generation and duration, temperature, and angular divergence. The obtained results are shown to be consistent with those from detailed simulations and similar inertial confinement fusion experiments. Based on the measured data, the advantages, reliability, and complementarity of the experimental diagnostics are discussed.
RADIATION AND HYDRODYNAMICS
Direct imaging of shock wave splitting in diamond at Mbar pressure
Makarov Sergey, Dyachkov Sergey, Pikuz Tatiana, Katagiri Kento, Nakamura Hirotaka, Zhakhovsky Vasily, Inogamov Nail, Khokhlov Victor, Martynenko Artem, Albertazzi Bruno, Rigon Gabriel, Mabey Paul, Hartley Nicholas J., Inubushi Yuichi, Miyanishi Kohei, Sueda Keiichi, Togashi Tadashi, Yabashi Makina, Yabuuchi Toshinori, Okuchi Takuo, Kodama Ryosuke, Pikuz Sergey, Koenig Michel, Ozaki Norimasa
2023, 8(6) doi: 10.1063/5.0156681
Abstract(3880) FullText HTML (1891) PDF(12)
Abstract:
Understanding the behavior of matter at extreme pressures of the order of a megabar (Mbar) is essential to gain insight into various physical phenomena at macroscales—the formation of planets, young stars, and the cores of super-Earths, and at microscales—damage to ceramic materials and high-pressure plastic transformation and phase transitions in solids. Under dynamic compression of solids up to Mbar pressures, even a solid with high strength exhibits plastic properties, causing the induced shock wave to split in two: an elastic precursor and a plastic shock wave. This phenomenon is described by theoretical models based on indirect measurements of material response. The advent of x-ray free-electron lasers (XFELs) has made it possible to use their ultrashort pulses for direct observations of the propagation of shock waves in solid materials by the method of phase-contrast radiography. However, there is still a lack of comprehensive data for verification of theoretical models of different solids. Here, we present the results of an experiment in which the evolution of the coupled elastic–plastic wave structure in diamond was directly observed and studied with submicrometer spatial resolution, using the unique capabilities of the x-ray free-electron laser (XFEL). The direct measurements allowed, for the first time, the fitting and validation of the 2D failure model for diamond in the range of several Mbar. Our experimental approach opens new possibilities for the direct verification and construction of equations of state of matter in the ultra-high-stress range, which are relevant to solving a variety of problems in high-energy-density physics.
HIGH PRESSURE PHYSICS AND MATERIALS SCIENCE
Pressure-induced evolution of stoichiometries and electronic structures of host–guest Na–B compounds
Guo Zixuan, Li Xing, Bergara Aitor, Ding Shicong, Zhang Xiaohua, Yang Guochun
2023, 8(6) doi: 10.1063/5.0155005
Abstract(2946) FullText HTML (1436) PDF(7)
Abstract:
Superionic and electride behaviors in materials, which induce a variety of exotic physical properties of ions and electrons, are of great importance both in fundamental research and for practical applications. However, their coexistence in hot alkali-metal borides has not been observed. In this work, we apply first-principles structure search calculations to identify eight Na–B compounds with host–guest structures, which exhibit a wide range of building blocks and interesting properties linked to the Na/B composition. Among the known borides, Na-rich Na9B stands out as the composition with the highest alkali-metal content, featuring vertex- and face-sharing BNa16 polyhedra. Notably, it exhibits electride characteristics and transforms into a superionic electride at 200 GPa and 2000 K, displaying unusual Na atomic diffusion behavior attributed to the modulation of the interstitial anion electrons. It demonstrates semiconductor behavior in the solid state, and metallic properties associated with Na 3p/3s states in the superionic and liquid regions. On the other hand, B-rich NaB7, consisting of a unique covalent B framework, is predicted to exhibit low-frequency phonon-mediated superconductivity with a Tc of 16.8 K at 55 GPa. Our work advances the understanding of the structures and properties of alkali-metal borides.