Follow us on Wechat

2022 Vol. 7, No. 4

Display Method:
FUNDAMENTAL PHYSICS AT EXTREME LIGHT
Research Articles
Commissioning and first results from the new 2 × 100 TW laser at the WIS
Kroupp E., Tata S., Wan Y., Levy D., Smartsev S., Levine E. Y., Seemann O., Adelberg M., Piliposian R., Queller T., Segre E., Ta Phuoc K., Kozlova M., Malka V.
2022, 7(4) doi: 10.1063/5.0090514
Abstract(3353) FullText HTML (1884) PDF(16)
Abstract:
At the Weizmann Institute of Science, a new high-power-laser laboratory has been established that is dedicated to the fundamental aspects of laser–matter interaction in the relativistic regime and aimed at developing compact laser-plasma accelerators for delivering high-brightness beams of electrons, ions, and x rays. The HIGGINS laser system delivers two independent 100 TW beams and an additional probe beam, and this paper describes its commissioning and presents the very first results for particle and radiation beam delivery.
On the possibility of ultrafast Kossel diffraction
Peyrusse Olivier
2022, 7(4) doi: 10.1063/5.0091097
Abstract(2124) FullText HTML (1080) PDF(10)
Abstract:
We discuss the possibility of realizing time-resolved Kossel diffraction experiments for providing indications on the crystalline order or the periodic structure of a material. We make use of the interaction of short, ultra-intense laser pulses with a solid target, which generates short bursts of hot electrons. Penetrating inside a layered sample (i.e., a crystal or an artificial multilayer material), these electrons ionize inner-shell electrons so that the subsequent radiative filling of K-shell vacancies results in a strong Kα emission that is enhanced in the Bragg directions corresponding to the period of the material. We present simulations of angle-resolved Kα emission, which displays so-called Kossel patterns around the Bragg angles. We then discuss possible experiments appropriate for laser facilities delivering short and intense pulses.
Transition of the generation mechanism of high-order harmonics in an extended neon system
Gao Jingli, Ye Difa, Liu Jie, Kang Wei
2022, 7(4) doi: 10.1063/5.0085861
Abstract(3476) FullText HTML (1709) PDF(13)
Abstract:
Using a time-dependent density functional theory method, we perform a systematic numerical study of the transition of high-order harmonic generation in neon (Ne) systems from an isolated Ne atom to an extended Ne system of solid density. We show that ionized electrons wander in such extended systems until they meet a nearby ion and collide with it. The maximum energy edge for the main feature of the high-order harmonic spectrum in this “wandering electron” picture is determined as Eedge = Ip + 8Up, where Ip is the ionization energy of Ne and Up is the ponderomotive energy delivered by the driving laser. The factor of 8 comes from the maximum kinetic energy of an ionized electron in the driving laser field. Beyond the atomic limit of high-order harmonic spectra, a multiplatform feature is observed, corresponding to re-collisions of ionized electrons with their nearby ions. It is also shown that a Ne simple cubic lattice of appropriate size provides a selection condition for the direction of polarization of high-order harmonics beyond the atomic limit, which may be further used to manipulate the emitted radiation.
INERTIAL CONFINEMENT FUSION PHYSICS
Research Articles
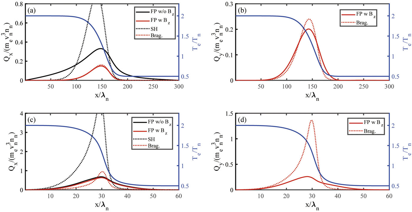
Nonlocal thermal transport in magnetized plasma along different directions
Zhao Hanzhi, Sheng Zhengming, Weng Suming
2022, 7(4) doi: 10.1063/5.0086783
Abstract(3284) FullText HTML (1589) PDF(12)
Abstract:
Nonlocal thermal transport in magnetized plasmas is studied theoretically and numerically with the Vlasov–Fokker–Planck (VFP) model, in which the magnetic field has nonzero components both perpendicular to and along the temperature gradient. Nonlocal heat transport is found in both the longitudinal and transverse directions, provided the temperature gradients are sufficiently large. The magnetic field tends to reduce the nonlocality of the thermal transport in the direction perpendicular to the magnetic field, i.e., the difference between the heat fluxes predicted by the Braginskii theory and the VFP simulation decreases with increasing magnetic field strength. When the initial temperature gradient is steep, the nonlocal heat flux depends not only on the present temperature profile, but also on its time history. Moreover, the contribution of high-order terms in the spherical harmonic expansion of the electron distribution function becomes important for a magnetized plasma, in particular for thermal transport in the direction perpendicular to the temperature gradient.
Experimental and simulation studies of thermal transport based on plasma flow motion in laser-ablated dense regions of Au and CH
Zhang Yuxue, Qing Bo, Zhao Yang, Song Tianming, Zhang Zhiyu, Xiong Gang, Huang Chengwu, Zhu Tuo, Lv Min, Zhao Yan, Zhang Jiyan, Yang Jiamin
2022, 7(4) doi: 10.1063/5.0081960
Abstract(3743) FullText HTML (1817) PDF(21)
Abstract:
A practical experimental method is proposed to investigate thermal transport by characterizing the motion of plasma flows through a x-ray spectroscopic technique using tracers. By simultaneously measuring multiple parameters, namely, the mass-ablation rate, the temporal evolution of plasma flow velocities and trajectories and the temperature, it is possible to observe a variety of physical processes, such as shock wave compression, heating by thermal waves, and plasma thermal expansion, and to determine their relative importance in different phases during the irradiation of CH and Au targets. From a comparison with hydrodynamic simulations, we find significant differences in the motion of the plasma flows between CH and Au, which can be attributed to different sensitivities to the thermal transport process. There are also differences in the ablation and electron temperature histories of the two materials. These results confirm that velocities and trajectories of plasma motion can provide useful evidence in the investigation of thermal conduction, and the approach presented here deserves more attention in the context of inertial confinement fusion and high-energy-density physics.
RADIATION AND HYDRODYNAMICS
Research Articles
Insensitivity of a turbulent laser-plasma dynamo to initial conditions
Bott A. F. A., Chen L., Tzeferacos P., Palmer C. A. J., Bell A. R., Bingham R., Birkel A., Froula D. H., Katz J., Kunz M. W., Li C.-K., Park H-S., Petrasso R., Ross J. S., Reville B., Ryu D., Séguin F. H., White T. G., Schekochihin A. A., Lamb D. Q., Gregori G.
2022, 7(4) doi: 10.1063/5.0084345
Abstract(3626) FullText HTML (1754) PDF(6)
Abstract:
It has recently been demonstrated experimentally that a turbulent plasma created by the collision of two inhomogeneous, asymmetric, weakly magnetized, laser-produced plasma jets can generate strong stochastic magnetic fields via the small-scale turbulent dynamo mechanism, provided the magnetic Reynolds number of the plasma is sufficiently large. In this paper, we compare such a plasma with one arising from two pre-magnetized plasma jets whose creation is identical save for the addition of a strong external magnetic field imposed by a pulsed magnetic field generator. We investigate the differences between the two turbulent systems using a Thomson-scattering diagnostic, x-ray self-emission imaging, and proton radiography. The Thomson-scattering spectra and x-ray images suggest that the external magnetic field has a limited effect on the plasma dynamics in the experiment. Although the external magnetic field induces collimation of the flows in the colliding plasma jets and although the initial strengths of the magnetic fields arising from the interaction between the colliding jets are significantly larger as a result of the external field, the energies and morphologies of the stochastic magnetic fields post-amplification are indistinguishable. We conclude that, for turbulent laser-plasmas with supercritical magnetic Reynolds numbers, the dynamo-amplified magnetic fields are determined by the turbulent dynamics rather than the seed fields or modest changes in the initial flow dynamics of the plasma, a finding consistent with theoretical expectations and simulations of turbulent dynamos.
HIGH PRESSURE PHYSICS AND MATERIALS SCIENCE
Research Articles
Incompatibility of published ac magnetic susceptibility of a room temperature superconductor with measured raw data
Hirsch J. E., van der Marel D.
2022, 7(4) doi: 10.1063/5.0088429
Abstract(2542) FullText HTML (1225) PDF(16)
Abstract:
A material termed “carbonaceous sulfur hydride” has recently been reported to be a high-pressure room temperature superconductor [Snider et al., Nature 586 , 373 (2020)]. We have previously pointed out that certain anomalies observed in the published data for the ac magnetic susceptibility of this material would be cleared up once the measured raw data were made available [J. E. Hirsch, arXiv:2110.12854v1 (2021) and J. E. Hirsch, Physica C 590 , 1353964 (2021) (temporarily removed)]. The measured raw data, as well as numerical values of the data presented in figures in the aforementioned paper by Snider et al., have recently been posted on the arXiv [R. P. Dias and A. Salamat, arXiv:2111.15017v1 (2021) and R. P. Dias and A. Salamat, arXiv:2111.15017v2 (2021)]. Here, we report the results of our analysis of these raw data and published data and our conclusion that the raw data are incompatible with the published data. Implications of these results for the claim that the material is a room temperature superconductor are discussed.
Bonding-unsaturation-dependent superconductivity in P-rich sulfides
Li Xing, Zhang Xiaohua, Liu Yong, Yang Guochun
2022, 7(4) doi: 10.1063/5.0098035
Abstract(2522) FullText HTML (1217) PDF(12)
Abstract:
The covalent frameworks found in certain compounds, such as the S–H skeleton in H3S and the H cage in LaH10, play an essential role in their superconductivity. These compounds have the feature of bonding unsaturation (a deficiency of electrons in their covalent bonding) in common. Developing an understanding of the relationship between superconductivity and bonding unsaturation in these materials can provide new ideas for the design of superconducting materials. In this work, we explored the high-pressure phase diagram of binary P–S compounds using first-principles swarm structural calculations. In addition to the previously reported P2S and P3S structures, we identified that P5S, P8S, and P11S also have a common structural character of six-coordinated octahedral networks; however, their bonding unsaturation are distinct due to the different valence electron numbers and unequal ratios of P and S atoms. These features provide an ideal model for exploring the bonding-unsaturation dependence of superconductivity. We estimated the average bonding unsaturation of these P-rich compounds based on the valence electron numbers and the coordination numbers of the central P/S atoms. Interestingly, the resultant average bonding unsaturation was found to be proportional to the predicted superconducting transition temperature. This finding was also verified in MH9 (M = Y, Th, and Pr) and doped H3S (Si, C, and P) compounds. Our work provides an opportunity to gain a deeper understanding of bonding-unsaturation-dependent superconductivity.