Follow us on Wechat

2025 Vol. 10, No. 5

RESEARCH ARTICLES
Fundamental Physics at Extreme Light
A new scheme for isomer pumping and depletion with high-power lasers
Yang C.-J., Spohr K. M., Cernaianu M. O., Doria D., Ghenuche P., Horný V.
2025, 10(5) doi: 10.1063/5.0251667
Abstract(2702) FullText HTML (1300) PDF(6)
Abstract:
We propose a novel scheme for the population and depletion of nuclear isomers. This scheme combines the γ photons with energies ≳10 keV emitted during the interaction of a contemporary high-intensity laser pulse with a plasma and one or multiple photon beams supplied by intense lasers. Owing to nonlinear effects, two- or multiphoton absorption dominates over the conventional multistep one-photon process for an optimized γ flash. Moreover, this nonlinear effect can be greatly enhanced with the help of externally supplied low-energy photons coming from another laser. These low-energy photons act such that the effective cross-section experienced by the γ photons becomes tunable, growing with the intensity I0 of the beam. Assuming I0 ∼ 1018 W⋅cm−2 for the photon beam, an effective cross-section as large as 10−21–10−28 cm2 for the γ photons can be achieved. Thus, with state-of-the-art 10 PW laser facilities, the yields from two-photon absorption can reach 106–109 isomers per shot for selected states that are separated from their ground state by E2 transitions. Similar yields for transitions with higher multipolarities can be accommodated by multiphoton absorption with additional photons provided.
Production and magnetic self-confinement of ee+ plasma by an extremely intense laser pulse incident on a structured solid target
Samsonov Alexander, Pukhov Alexander
2025, 10(5) doi: 10.1063/5.0260941
Abstract(3040) FullText HTML (1452) PDF(1)
Abstract:
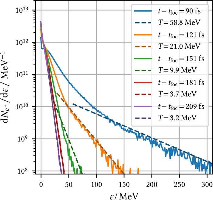
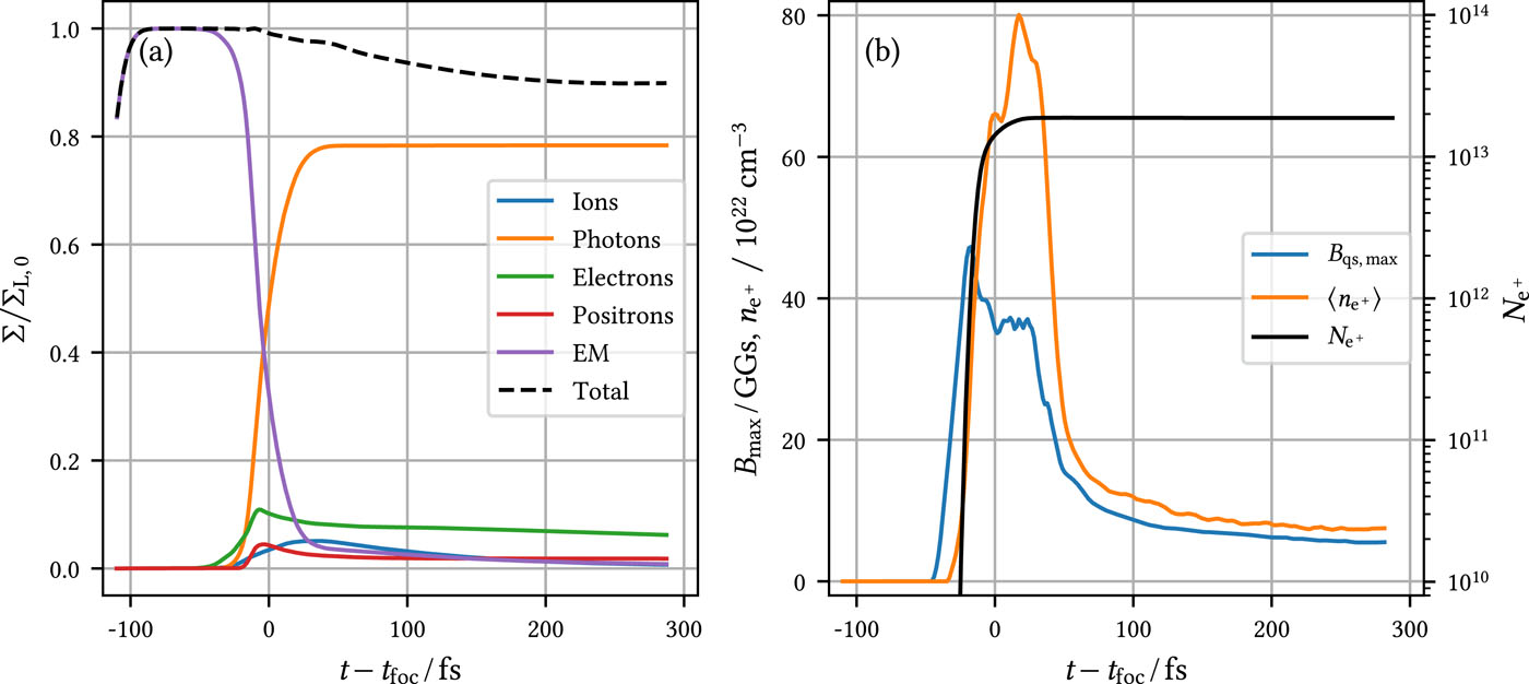
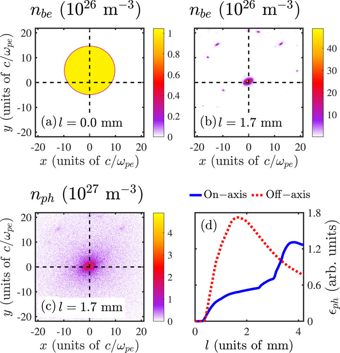
We propose an all-optical, single-laser-pulse scheme for generating a dense relativistic strongly magnetized electron–positron pair plasma. The scheme involves the interaction of an extremely intense (I ≳ 1024 W/cm2) circularly polarized laser pulse with a solid-density target containing a conical cavity. Through full-scale three-dimensional particle-in-cell simulations that account for quantum electrodynamic effects, it is shown that this interaction results in two significant outcomes: first, the generation of quasi-static magnetic fields reaching tens of gigagauss, and, second, the production of large quantities of electron–positron pairs (up to 1013) via the Breit–Wheeler process. The ee+ plasma becomes trapped in the magnetic field and remains confined in a small volume for hundreds of femtoseconds, far exceeding the laser timescale. The dependence of pair plasma parameters, as well as the efficiency of plasma production and confinement, is discussed in relation to the properties of the laser pulse and the target. Realizing this scheme experimentally would enable the investigation of physical processes relevant to extreme astrophysical environments.
Three-dimensional nanoscale microbunching of relativistic electron beam via plasma wakefield for coherent EUV radiation
Wang X. J., Peng H., Huang T. W., Hu Z. H., Li R., Jiang K., Li D. K., Yu J., Ye H. X., Yu M. Y., Cao L. F., Zhou C. T., Ruan S. C.
2025, 10(5) doi: 10.1063/5.0254131
Abstract(3367) FullText HTML (1642) PDF(6)
Abstract:
We propose a compact scheme to modulate a relativistic electron beam (REB) into three-dimensional (3D) nanoscale bunches by injecting a rarefied REB into an underdense plasma. This scheme self-consistently integrates the lateral focusing and axial modulation of the REB in its self-driven plasma wakefield. The REB first expels the plasma electrons in its path to form a wake, where the lateral force of the charge-separation field compresses it to higher density, so that more plasma electrons are expelled as it propagates. The positive feedback loop is repeated until the REB becomes a thin electron filament of density a hundred times that of the original. As it continues to propagate in the elongated electron-free wake bubble, the axial electric field induces an energy chirp on the electron filament, and longitudinally modulates it into 3D nanoscale bunches by asynchronous envelope oscillations. The excitation conditions of this scheme with respect to the beam and plasma parameters, as well as the spatial scale of the obtained electron bunches, are analyzed analytically and agree well with particle-in-cell simulations. In addition, our radiation simulations show that coherent extreme ultraviolet radiation can be generated with such 3D nanoscale bunches.
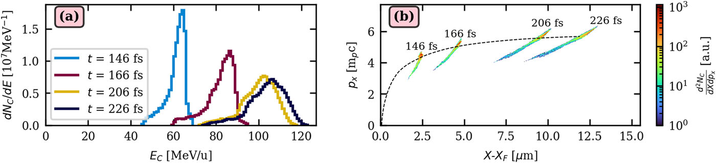
Laser–plasma acceleration of quasi-monoenergetic carbon ion beams with the “peeler” scheme
Corobean Bogdan, Horný Vojtech, Pukhov Alexander, d’Humières Emmanuel, Doria Domenico, Ur Călin Alexandru, Tomassini Paolo
2025, 10(5) doi: 10.1063/5.0273104
Abstract(3076) FullText HTML (1485) PDF(0)
Abstract:
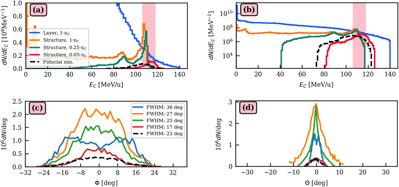
We introduce a scheme aiming at the generation of quasi-monochromatic carbon ion bunches from laser–solid interaction. The proposed scheme is an extension of the “peeler” acceleration originally proposed for proton acceleration, which involves irradiating the narrow (sub-micrometer) side of a tape target. This results in the generation of a surface plasma wave and the subsequent acceleration of a proton bunch with high peak energy, quasi-monochromaticity, low energy bandwidth, and low divergence by the electrostatic field induced at the target rear. Up to now, the higher-Z (e.g., carbon) ion bunches obtained with the peeler scheme have been found to exhibit an exponentially decaying thermal-like energy spectrum. To achieve a low energy bandwidth, we place a mass-limited carbon structure at the rear of the target. Using 3D particle-in-cell simulations, we show that a quasi-monochromatic carbon bunch can indeed be obtained. With a multi-PW laser pulse, 108 carbon ions with peak energy ∼110 MeV/u and with a divergence of 20° in the vertical plane and ∼1° in the horizontal plane can be generated. The quasi-monochromaticity, together with the low duration of the beam and in combination with the versatility of high-power laser facilities, should make this scheme attractive for practical applications such as heavy ion cancer therapy and higher-resolution diagnostics of extreme plasma states.
A photon–photon collider based on synchrotron γ rays in hollow plasma channels
Liu Yi-Nuo, Hu Zhang-Hu, Lan Jie-Jie, Li Hao-Yuan, Xu Wang-Wen, Wang You-Nian
2025, 10(5) doi: 10.1063/5.0278292
Abstract(1596) FullText HTML (774) PDF(0)
Abstract:
We propose a photon–photon collider based on synchrotron gamma sources driven by relativistic electron beams in hollow plasma channels. The collimated (with a divergence angle of ∼1 mrad) and ultrabrilliant (>1028 photons s−1⋅mrad−2⋅mm−2 per 0.1% bandwidth at 0.6 MeV) photon beams are generated by strong electromagnetic fields induced by current filamentation instability, and up to 106 Breit–Wheeler (BW) pairs can be created per shot. Notably, the usage of hollow plasma channels not only enhances synchrotron radiation, but also allows flexible control of the produced photon beams, ensuring the alignment of the two colliding beams and maximizing the two-photon BW process. This setup has the advantage of a clean background by eliminating the yield from the nonlinear BW process, and the signal-to-noise ratio is higher than 102.
Inertial Confinement Fusion Physics
Experimental research on stimulated Raman scattering under a hybrid-drive ignition path
Pan Kaiqiang, Liu Zhanjun, Qin Xuelong, Li Jiwei, Gong Tao, Wang Qing, Yan Ji, Li Zhichao, Yang Dong, Liu Yonggang, He Xiantu
2025, 10(5) doi: 10.1063/5.0251754
Abstract(3091) FullText HTML (1503) PDF(1)
Abstract:
Stimulated Raman scattering (SRS) under a new ignition path that combines the advantages of direct-drive (DD) and indirect-drive (ID) schemes is investigated experimentally at the Shenguang-100 kJ facility. The results show that collective SRS in the plasma produced by ablating a polyimide film is detected for the ID beams, but is suppressed by adding a toe before the main pulse of the ID beams. The toe also strongly influences SRS of both the ID and DD beams excited in the plasma generated in the hohlraum. When a toe is used, the SRS spectra of the DD beams show that SRS tends to be excited in lower plasma density, which will result in a lower risk of super-hot electrons. Measurements of hot electrons support this conclusion. This research will help us produce a better pulse design for this new ignition path.
Spatially random polarization-smoothing optics by residual stress birefringence of fused silica for laser-driven inertial confinement fusion
Zhang Chuanchao, Liao Wei, Jiang Xiaolong, Wang Haijun, Zeng Fa, Ni Wei, Li Ping, Jiang Xiaodong, Zhu Qihua
2025, 10(5) doi: 10.1063/5.0277045
Abstract(3375) FullText HTML (1640) PDF(6)
Abstract:
We demonstrate a new polarization smoothing (PS) approach utilizing residual stress birefringence in fused silica to create a spatially random polarization control plate (SRPCP), thereby improving target illumination uniformity in inertial confinement fusion (ICF) laser systems. The fundamental operating mechanism and key fabrication techniques for the SRPCP are systematically developed and experimentally validated. The SRPCP converts a linearly polarized 3ω incident laser beam into an output beam with a spatially randomized polarization distribution. When combined with a continuous phase plate, the SRPCP effectively suppresses high-intensity speckles at all spatial frequencies in the focal spot. The proposed PS technique is specifically designed for high-fluence large-aperture laser systems, enabling novel polarization control regimes in laser-driven ICF.
Large-angle stimulated Raman scattering induced by transverse density modulation
Huang Z. M., Wang Qing, Cheng R. J., Li X. X., Lv S. Y., Liu D. J., Xu Z. Y., Zhang S. T., Chen Z. J., Wang Qiang, Xiao C. Z., Liu Z. J., Cao L. H., Zheng C. Y., He X. T.
2025, 10(5) doi: 10.1063/5.0278141
Abstract(2812) FullText HTML (1359) PDF(0)
Abstract:
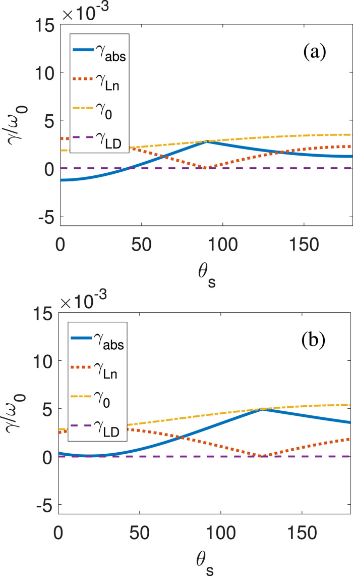
Large-angle stimulated Raman scattering (LA-SRS) in a longitudinally inhomogeneous plasma with a transverse density modulation is studied using a three-wave coupled model and numerical simulations. The simulations show that the scattering angle of SRS in a longitudinally inhomogeneous plasma can be significantly affected by transverse density modulation. Under transverse density modulation conditions, the laser focuses into underdense regions, owing to the transversely modulated refractive index. The angle of LA-SRS, neither a purely 90° angle side scattering nor purely backscattering, is almost consistent with the specific angle at which the density inhomogeneity vanishes. In modulated plasmas, the nonuniform distribution of laser intensity shifts the regions of scattering and gain compared with those in uniform plasmas, ultimately affecting the laser transmission. SRS is suppressed in weakly modulated regimes, whereas it is enhanced under strong modulation conditions, and a theoretical criterion distinguishing between strong and weak modulation is established.
Radiation and Hydrodynamics
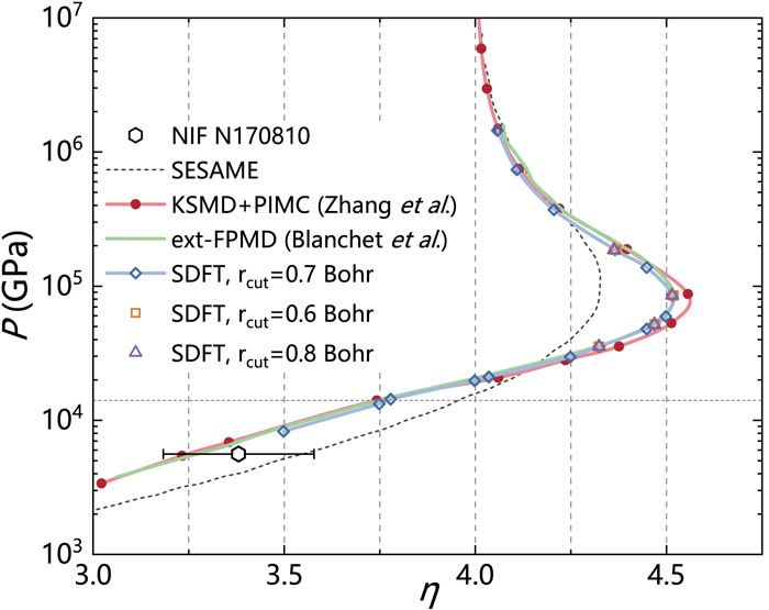
First-principles prediction of shock Hugoniot curves of boron, aluminum, and silicon from stochastic density functional theory
Chen Tao, Liu Qianrui, Gao Chang, Chen Mohan
2025, 10(5) doi: 10.1063/5.0266082
Abstract(3248) FullText HTML (1573) PDF(3)
Abstract:
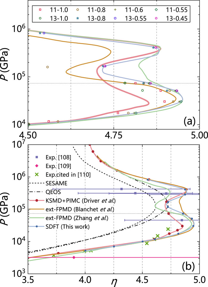
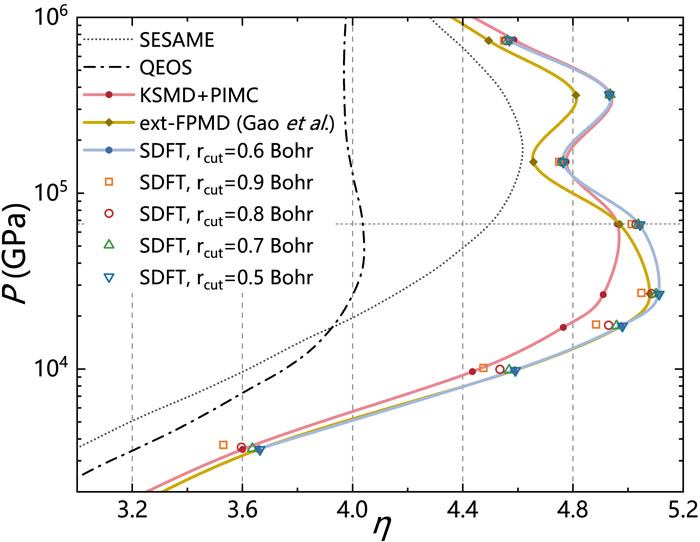
By adopting stochastic density functional theory (SDFT) and mixed stochastic–deterministic density functional theory (MDFT) methods, we perform first-principles calculations to predict the shock Hugoniot curves of boron (pressure P = 7.9 × 103–1.6 × 106 GPa and temperature T = 25–2800 eV), silicon (P = 2.6 × 103–7.9 × 105 GPa and T = 21.5–1393 eV), and aluminum (P = 5.2 × 103–9.0 × 105 GPa and T = 25–1393 eV) over wide ranges of pressure and temperature. In particular, we systematically investigate the impact of different cutoff radii in norm-conserving pseudopotentials on the calculated properties at elevated temperatures, such as pressure, ionization energy, and equation of state. By comparing the SDFT and MDFT results with those of other first-principles methods, such as extended first-principles molecular dynamics and path integral Monte Carlo methods, we find that the SDFT and MDFT methods show satisfactory precision, which advances our understanding of first-principles methods when applied to studies of matter at extremely high pressures and temperatures.
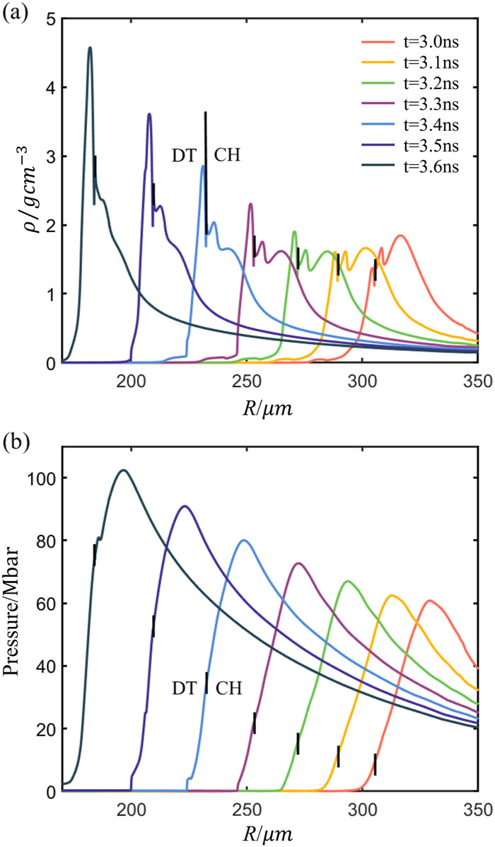
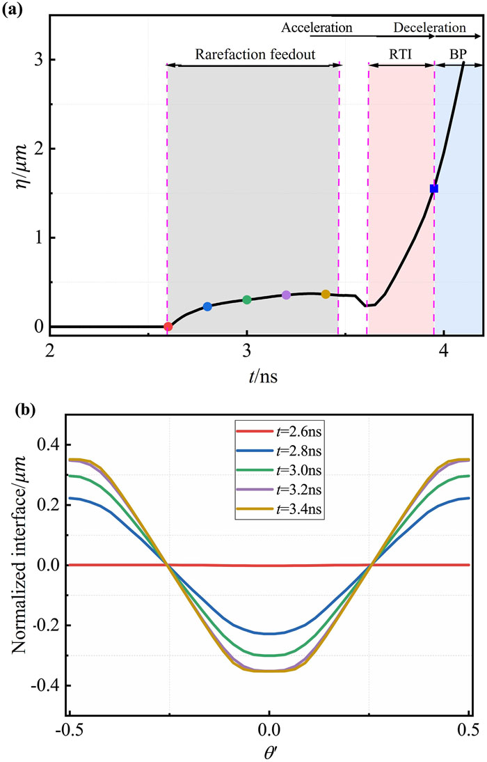
Hydrodynamic instability growth of the fuel–ablator interface induced by rippled rarefaction waves in inertial confinement fusion implosion experiments
Yan Zheng, Chen Zhu, Li Jiwei, Wang Lifeng, Li Zhiyuan, Zhang Chao, Ge Fengjun, Wu Junfeng, Zhang Weiyan
2025, 10(5) doi: 10.1063/5.0272289
Abstract(2684) FullText HTML (1318) PDF(0)
Abstract:
Hydrodynamic instability growth at the deuterium–tritium (DT) fuel–ablator interface plays a critical role in determining the performance of inertial confinement fusion implosions. During the late stages of implosion, insufficient doping of the ablator material can result in high-energy X-ray preheat, which may trigger the development of a classical-like Rayleigh–Taylor instability (RTI) at the fuel–ablator interface. In implosion experiments at the Shenguang 100 kJ-level laser facility, the primary source of perturbation is the roughness of the inner DT ice interface. In this study, we propose an analytical model to describe the feed-out process of the initial roughness of the inner DT ice interface. The perturbation amplitude derived from this model serves as the initial seed for the late-time RTI during the acceleration phase. Our findings confirm the presence of classical-like RTI at the fuel–ablator interface. Numerical simulations conducted using a radiation hydrodynamic code validate the proposed analytical model and demonstrate the existence of a peak mode number in both the feed-out process and the classical-like RTI. It provides an alternative bridge between the current target fabrication limitations and the unexpected implosion performance.
High Pressure Physics and Materials Science
Activation of N≡N bonds by CN4 tetrahedron leading to energetic carbon polynitrides under high pressure
Zhang Guanghui, Yi Wencai, Cao Yiqing, Zhang Shengli, Liu Xiaobing
2025, 10(5) doi: 10.1063/5.0282879
Abstract(3122) FullText HTML (1515) PDF(1)
Abstract:
The activation of the N≡N triple bond in N2 is a fascinating topic in nitrogen chemistry. The transition metals have been demonstrated to effectively modulate the reactivity of N2 molecules under high pressure, leading to nitrogen-rich compounds. However, their use often results in a significant reduction in energy density. In this work, we propose a series of low-enthalpy nitrogen-rich phases in CNx (x = 3, …, 7) compounds using a first-principles crystal structure search method. The results of calculations reveal that all these CN compounds are assembled from both CN4 tetrahedra and Nx (x = 1, 2, or 5) species. Strikingly, we find that the CN4 tetrahedron can effectively activate the N≡N bond through weakening of the π orbital of N2 under a pressure of 40 GPa, leading to stable CN polynitrides. The robust structural framework of CN polynitrides containing C–N and N–N bonds plays a crucial role in enhancing their structural stability, energy density, and hardness. Among these polynitrides, CN6 possesses not only a very high mass density of 3.19 g/cm3, but also an ultrahigh energy density of 28.94 kJ/cm3, which represents a significant advance in the development of energetic materials using high-pressure methods. This work provides new insights into the mechanism of N2 activation under high pressure, and offers a promising pathway to realize high-performance energetic materials.
MASTer: A high-performance stable temperature controller for high-pressure multi-anvil presses
Niu Guoliang, Cao Shengbo, Yan Bingmin, Gou Huiyang, Katsura Tomoo, Mao Ho-kwang
2025, 10(5) doi: 10.1063/5.0277958
Abstract(3514) FullText HTML (1704) PDF(0)
Abstract:
Maintaining stable high temperatures under pressure remains a challenge in high-pressure, high-temperature experiments using multi-anvil presses (MAPs). Temperature fluctuations exceeding 10 °C at high pressures are common and particularly problematic with LaCrO3 heaters, which can experience significant power fluctuations and even failure due to substantial resistance changes—an issue conventional thyristor-controlled heating systems cannot effectively manage. To address this limitation, we have developed the Multi-Anvil Stable Temperature controller (MASTer), a high-performance heating system optimized for MAP experiments. MASTer enables precise, high-speed measurement of heating parameters and power output control, incorporating a gentle regulation strategy to enhance stability. It ensures consistent heating across various heater types, including LaCrO3, with power fluctuations limited to ±0.1 W and temperature fluctuations to within ±2 °C in most cases. The design, operating principles, user interface, functionality, and performance of the heating system are discussed in detail.