Follow us on Wechat

2018 Vol. 3, No. 1

ARTICLES
Research Articles
New developments of HIF injector
Lu Liang, Ma Wei, Li Chenxing, He Tao, Yang Lei, Sun Liepeng, Xu Xianbo, Wang Wenbing, Shi Longbo
2018, 3(1) doi: 10.1016/j.mre.2017.09.003
Abstract(2073) FullText HTML (988) PDF(14)
Abstract:
The ultra-high intensity heavy-ion beam is highly pursued for heavy-ion researches and applications. However, it is limited by heavy-ion production of ion source and space-charge-effect in the low energy region. The Heavy-ion Inertial Fusion (HIF) facilities were proposed in 1970s. The HIF injectors have large cavity number and long total length, e.g., there are 27 injectors in HIDIF and HIBLIC is 30 km in length, and the corresponding HIF facilities are too large and too expensive to be constructed. Recently, ion acceleration technologies have been developing rapidly, especially in the low energy region, where the acceleration of high intensity heavy-ions is realized. Meanwhile, superconducting (SC) acceleration matures and increases the acceleration gradient in medium and high energy regions. The length of HIF injectors can be shortened to a buildable length of 2.5 km. This paper will present a review of a renewed HIF injector, which adopts multi-beam linac-based cavities.
Laser- and Particle Beam Fusion
Research Articles
Relaxation of non-isothermal hot dense plasma parameters
Kodanova S.K., Issanova M.K., Amirov S.M., Ramazanov T.S., Tikhonov A., Moldabekov Zh.A.
2018, 3(1) doi: 10.1016/j.mre.2017.07.005
Abstract(2708) FullText HTML (1312) PDF(12)
Abstract:
The relaxation of temperature, coupling parameters, the excess part of equation of state, and the correlation energy of the non-isothermal hot dense plasmas are considered on the basis of the method of effective interaction potentials. The electron–ion effective interaction potential for the hot dense plasma is discussed. The accuracy of description of the dense plasma properties by the effective electron–ion interaction potential is demonstrated by the agreement of the derived quantities like stopping power and transport coefficients calculated using our methodology with the results of the finite-temperature Kohn-Sham density-functional theory molecular dynamics, and orbital-free molecular dynamics results as well as with the data obtained using other theoretical approaches.
Review Articles
Progress in particle-beam-driven inertial fusion research: Activities in Japan
Horioka Kazuhiko
2018, 3(1) doi: 10.1016/j.mre.2017.08.002
Abstract(2923) FullText HTML (1407) PDF(14)
Abstract:
Research activities in Japan relevant to particle beam inertial fusion are briefly reviewed. These activities can be ascended to the 1980s. During the past three decades, significant progress in particle beam fusion, pulsed power systems, accelerator schemes for intense beams, target physics, and high-energy-density physics research has been made by a number of research groups at universities and accelerator facilities in Japan. High-flux ions have been extracted from laser ablation plasmas. Controllability of the ion velocity distribution in the plasma by an axial magnetic and/or electric field has realized a stable high-flux low-emittance beam injector. Beam dynamics have been studied both theoretically and experimentally. The efforts have been concentrated on the beam behavior during the final compression stage of intense beam accelerators. A novel accelerator scheme based on a repetitive induction modulator has been proposed as a cost-effective particle-beam driver scheme. Beam-plasma interaction and pulse-powered plasma experiments have been investigated as relevant studies of particle beam inertial fusion. An irradiation method to mitigate the instability in imploding target has been proposed using oscillating heavy-ion beams. The new irradiation method has reopened the exploration of direct drive scheme of particle beam fusion.
Guest Editorial
Review of accelerator driven heavy ion nuclear fusion
Hofmann Ingo
2018, 3(1) doi: 10.1016/j.mre.2017.12.001
Abstract(3789) FullText HTML (1835) PDF(16)
Abstract:
Using high energy accelerators for energy production by nuclear fission goes back to the 1950's with plans for “breeder accelerators” as well as with early ideas on subcritical reactors, which are currently pursued in China and other countries. Also, fusion came in, when the idea emerged in the mid 1970's to use accelerators and their highly time and space compressed beams in order to generate the extremely high density and temperatures required for inertial fusion energy production. Due to the higher repetition rates and efficiencies of accelerators, this was seen as a promising alternative to using high power lasers. After an introduction to nuclear fission applications of accelerators, this review summarizes some of the scientific developments directed towards this challenging application – with focus on the European HIDIF-study- and outlines parameters of future high energy density experiments after construction of the FAIR/Germany and HIAF/China heavy ion accelerator projects.
Review Articles
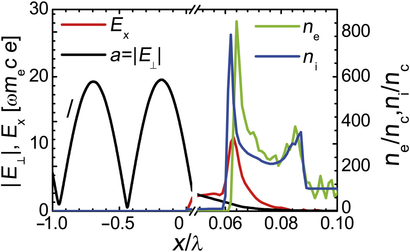
Optimization of hole-boring radiation pressure acceleration of ion beams for fusion ignition
Weng S.M., Sheng Z.M., Murakami M., Chen M., Liu M., Wang H.C., Yuan T., Zhang J.
2018, 3(1) doi: 10.1016/j.mre.2017.09.002
Abstract(3269) FullText HTML (1579) PDF(11)
Abstract:
In contrast to ion beams produced by conventional accelerators, ion beams accelerated by ultrashort intense laser pulses have advantages of ultrashort bunch duration and ultrahigh density, which are achieved in compact size. However, it is still challenging to simultaneously enhance their quality and yield for practical applications such as fast ion ignition of inertial confinement fusion. Compared with other mechanisms of laser-driven ion acceleration, the hole-boring radiation pressure acceleration has a special advantage in generating high-fluence ion beams suitable for the creation of high energy density state of matters. In this paper, we present a review on some theoretical and numerical studies of the hole-boring radiation pressure acceleration. First we discuss the typical field structure associated with this mechanism, its intrinsic feature of oscillations, and the underling physics. Then we will review some recently proposed schemes to enhance the beam quality and the efficiency in the hole-boring radiation pressure acceleration, such as matching laser intensity profile with target density profile, and using two-ion-species targets. Based on this, we propose an integrated scheme for efficient high-quality hole-boring radiation pressure acceleration, in which the longitudinal density profile of a composite target as well as the laser transverse intensity profile are tailored according to the matching condition.