Follow us on Wechat

用微信扫码二维码

分享至好友和朋友圈

Volume 6 Issue 1
Jan.  2021
Turn off MathJax
Article Contents
Davis Sergio, González-Cataldo Felipe, Gutiérrez Gonzalo, Avaria Gonzalo, Bora Biswajit, Jain Jalaj, Moreno José, Pavez Cristian, Soto Leopoldo. A model for defect formation in materials exposed to radiation[J]. Matter and Radiation at Extremes, 2021, 6(1): 015902. doi: 10.1063/5.0030158
Citation: Davis Sergio, González-Cataldo Felipe, Gutiérrez Gonzalo, Avaria Gonzalo, Bora Biswajit, Jain Jalaj, Moreno José, Pavez Cristian, Soto Leopoldo. A model for defect formation in materials exposed to radiation[J]. Matter and Radiation at Extremes, 2021, 6(1): 015902. doi: 10.1063/5.0030158

A model for defect formation in materials exposed to radiation

doi: 10.1063/5.0030158
More Information
  • Corresponding author: a)Author to whom correspondence should be addressed: sergio.davis@cchen.cl
  • Received Date: 2020-09-22
  • Accepted Date: 2020-11-29
  • Available Online: 2021-01-01
  • Publish Date: 2021-01-15
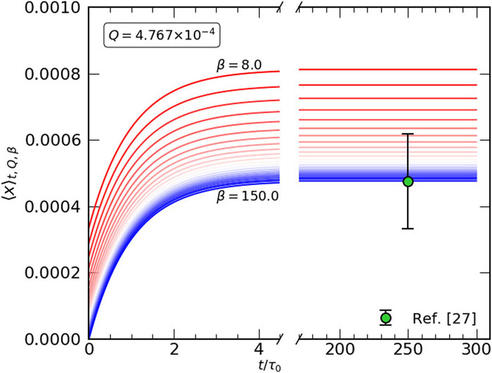
  • A simple model for the stochastic evolution of defects in a material under irradiation is presented. Using the master-equation formalism, we derive an expression for the average number of defects in terms of the power flux and the exposure time. The model reproduces the qualitative behavior of self-healing due to defect recombination, reaching a steady-state concentration of defects that depends on the power flux of the incident radiation and the material temperature, while also suggesting a particular time scale on which the incident energy is most efficient for producing defects, in good agreement with experimental results. Given this model, we discuss the integral damage factor, a descriptor that combines the power flux and the square of the irradiation time. In recent years, the scientific community involved in plasma-facing materials for nuclear fusion reactors has used this parameter to measure the equivalent material damage produced in experiments of various types with different types of radiation and wide ranges of power flux and irradiation time. The integral damage factor is useful in practice but lacks formal theoretical justification. In this simple model, we find that it is directly proportional to the maximum concentration of defects.
  • loading
  • [1]
    M. A. Orlova, O. A. Kost, V. A. Gribkov et al., “Enzyme activation and inactivation induced by low doses of irradiation,” Appl. Biochem. Biotechnol. 88(1-3), 243–255 (2000).10.1385/abab:88:1-3:243
    [2]
    D. M. Haas, S. C. Bott, J. Kim et al., “Supersonic jet formation and propagation in x-pinches,” Astrophys. Space Sci. 336(1), 33–40 (2011).10.1007/s10509-011-0599-8
    [3]
    V. A. Gribkov, I. V. Borovitskaya, E. V. Demina et al., “Application of dense plasma focus devices and lasers in the radiation material sciences for the goals of inertial fusion beyond ignition,” Matter Radiat. Extremes 5(4), 045403 (2020).10.1063/5.0005852
    [4]
    R. Gonzalez-Arrabal, A. Rivera, and J. M. Perlado, “Limitations for tungsten as plasma facing material in the diverse scenarios of the European inertial confinement fusion facility HiPER: Current status and new approaches,” Matter Radiat. Extremes 5(5), 055201 (2020).10.1063/5.0010954
    [5]
    Y. Li, Y. Yang, M. P. Short et al., “Ion radiation albedo effect: Influence of surface roughness on ion implantation and sputtering of materials,” Nucl. Fusion 57, 016038 (2017).10.1088/1741-4326/57/1/016038
    [6]
    W. Xu, Y. Zhang, G. Cheng et al., “In-situ atomic-scale observation of irradiation-induced void formation,” Nat. Commun. 4, 2288 (2013).10.1038/ncomms3288
    [7]
    K. Trachenko, M. T. Dove, E. Artacho et al., “Atomistic simulations of resistance to amorphization by radiation damage,” Phys. Rev. B 73(17), 174207 (2006).10.1103/physrevb.73.174207
    [8]
    E. Figueroa, D. Tramontina, G. Gutiérrez, and E. Bringa, “Mechanical properties of irradiated nanowires—A molecular dynamics study,” J. Nucl. Mater. 467, 677–682 (2015).10.1016/j.jnucmat.2015.10.036
    [9]
    B. P. Uberuaga, R. G. Hoagland, A. F. Voter, and S. M. Valone, “Direct transformation of vacancy voids to stacking fault tetrahedra,” Phys. Rev. Lett. 99(13), 135501 (2007).10.1103/physrevlett.99.135501
    [10]
    G. S. Was, Fundamentals of Radiation Materials Science (Springer New York, New York, NY, 2017), Vol. 1.
    [11]
    B. Verberck, “Building the way to fusion energy,” Nat. Phys. 12, 395–397 (2016).10.1038/nphys3752
    [12]
    E. I. Moses, “Advances in inertial confinement fusion at the National Ignition Facility (NIF),” Fusion Eng. Des. 85, 983–986 (2010).10.1016/j.fusengdes.2009.11.006
    [13]
    O. A. Hurricane, D. A. Callahan, D. T. Casey et al., “Fuel gain exceeding unity in an inertially confined fusion implosion,” Nature 506(7488), 343–348 (2014).10.1038/nature13008
    [14]
    A. W. Leonard, “Edge-localized-modes in tokamaks,” Phys. Plasmas 21, 090501 (2014).10.1063/1.4894742
    [15]
    G. Federici, C. H. Skinner, J. N. Brooks et al., “Plasma-material interactions in current tokamaks and their implications for next step fusion reactors,” Nucl. Fusion 41, 1967 (2001).10.1088/0029-5515/41/12/218
    [16]
    J. Alvarez, R. González-Arrabal, A. Rivera et al., “Potential common radiation problems for components and diagnostics in future magnetic and inertial confinement fusion devices,” Fusion Eng. Des. 86, 1762–1765 (2011).10.1016/j.fusengdes.2011.01.080
    [17]
    M. Fujitsuka, H. Shinno, T. Tanabe, and H. Shiraishi, “Thermal shock experiments for carbon materials by electron beams,” J. Nucl. Mater. 179-181, 189–192 (1991).10.1016/0022-3115(91)90058-f
    [18]
    J. Linke, F. Escourbiac, I. V. Mazul et al., “High heat flux testing of plasma facing materials and components—Status and perspectives for iter related activities,” J. Nucl. Matter 367, 1422–1431 (2007).10.1016/j.jnucmat.2007.04.028
    [19]
    T. Barashkova, T. Laas, and V. Pelõhh, “Methods for estimating the damage factor of materials under the influence of plasma,” in Proceedings of the 7th International Conference of DAAAM Baltic Industrial Engineering (Tallinn University of Technology Press, 2010), pp. 22–24.
    [20]
    V. A. Gribkov, B. Bienkowska, M. Borowiecki et al., “Plasma dynamics in PF-1000 device under full-scale energy storage: I. Pinch dynamics, shock-wave diffraction, and inertial electrode,” J. Phys. D: Appl. Phys. 40(7), 1977–1989 (2007).10.1088/0022-3727/40/7/021
    [21]
    V. N. Pimenov, S. A. Maslyaev, L. I. Ivanov et al., “Surface and bulk processes in materials induced by pulsed ion and plasma beams at dense plasma focus devices,” Nukleonika 51, 71–78 (2006).
    [22]
    V. N. Pimenov, E. V. Demina, S. A. Maslyaev et al., “Damage and modification of materials produced by pulsed ion and plasma streams in dense plasma focus device,” Nukleonika 53, 111–121 (2008).
    [23]
    L. Soto, C. Pavez, J. Moreno et al., “Characterization of the axial plasma shock in a table top plasma focus after the pinch and its possible application to testing materials for fusion reactors,” Phys. Plasmas 21, 122703 (2014).10.1063/1.4903471
    [24]
    I. E. Garkusha, A. N. Bandura, O. V. Byrka et al., “Damage to preheated tungsten targets after multiple plasma impacts simulating iter elms,” J. Nucl. Mater. 386, 127–131 (2009).10.1016/j.jnucmat.2008.12.083
    [25]
    V. A. Gribkov, V. N. Pimenov, L. I. Ivanov et al., “Interaction of high temperature deuterium plasma streams and fast ion beams with stainless steels in dense plasma focus device,” J. Phys. D: Appl. Phys. 36, 1817 (2003).10.1088/0022-3727/36/15/312
    [26]
    V. Shirokova, T. Laas, A. Ainsaar et al., “Comparison of damages in tungsten and tungsten doped with lanthanum-oxide exposed to dense deuterium plasma shots,” J. Nucl. Matter 435, 181–188 (2013).10.1016/j.jnucmat.2012.12.027
    [27]
    M. J. Inestrosa-Izurieta, E. Ramos-Moore, and L. Soto, “Morphological and structural effects on tungsten targets produced by fusion plasma pulses from a table top plasma focus,” Nucl. Fusion 55, 093011 (2015).10.1088/0029-5515/55/9/093011
    [28]
    S. Lee and A. Serban, “Dimensions and lifetime of the plasma focus pinch,” IEEE Trans. Plasma Sci. 24(3), 1101–1105 (1996).10.1109/27.533118
    [29]
    P. Silva, L. Soto, W. Kies, and J. Moreno, “Pinch evidence in a fast and small plasma focus of only tens of joules,” Plasma Sources Sci. Technol. 13(2), 329 (2004).10.1088/0963-0252/13/2/020
    [30]
    L. Soto, “New trends and future perspectives on plasma focus research,” Plasma Phys. Controlled Fusion 47(5A), A361 (2005).10.1088/0741-3335/47/5a/027
    [31]
    L. Soto, C. Pavez, A. Tarifeño et al., “Studies on scalability and scaling laws for the plasma focus: Similarities and differences in devices from 1 MJ to 0.1 J,” Plasma Sources Sci. Technol. 19(5), 055017 (2010).10.1088/0963-0252/19/5/055017
    [32]
    P. Silva, J. Moreno, L. Soto et al., “Neutron emission from a fast plasma focus of 400 Joules,” Appl. Phys. Lett. 83(16), 3269–3271 (2003).10.1063/1.1621460
    [33]
    M. Milanese, R. Moroso, and J. Pouzo, “DD neutron yield in the 125 J dense plasma focus nanofocus,” Eur. Phys. J. D 27(1), 77–81 (2003).10.1140/epjd/e2003-00247-9
    [34]
    R. Verma, R. S. Rawat, P. Lee et al., “Experimental study of neutron emission characteristics in a compact sub-kilojoule range miniature plasma focus device,” Plasma Phys. Controlled Fusion 51(7), 075008 (2009).10.1088/0741-3335/51/7/075008
    [35]
    C. Pavez, J. Pedreros, M. Zambra et al., “Potentiality of a small and fast dense plasma focus as hard x-ray source for radiographic applications,” Plasma Phys. Controlled Fusion 54(10), 105018 (2012).10.1088/0741-3335/54/10/105018
    [36]
    J. L. Ellsworth, S. Falabella, V. Tang et al., “Design and initial results from a kilojoule level dense plasma focus with hollow anode and cylindrically symmetric gas puff,” Rev. Sci. Instrum. 85(1), 013504 (2014).10.1063/1.4859495
    [37]
    M. Barbaglia, H. Bruzzone, H. Acuña et al., “Experimental study of the hard x-ray emissions in a plasma focus of hundreds of joules,” Plasma Phys. Controlled Fusion 51(4), 045001 (2009).10.1088/0741-3335/51/4/045001
    [38]
    P. Silva, L. Soto, J. Moreno et al., “A plasma focus driven by a capacitor bank of tens of joules,” Rev. Sci. Instrum. 73(7), 2583–2587 (2002).10.1063/1.1487898
    [39]
    S. R. Mohanty, T. Sakamoto, Y. Kobayashi et al., “Miniature hybrid plasma focus extreme ultraviolet source driven by 10 kA fast current pulse,” Rev. Sci. Instrum. 77(4), 043506 (2006).10.1063/1.2194587
    [40]
    L. Soto, P. Silva, J. Moreno et al., “Demonstration of neutron production in a table-top pinch plasma focus device operating at only tens of joules,” J. Phys. D: Appl. Phys. 41(20), 205215 (2008).10.1088/0022-3727/41/20/205215
    [41]
    R. Verma, R. S. Rawat, P. Lee et al., “Miniature plasma focus device as a compact hard x-ray source for fast radiography applications,” IEEE Trans. Plasma Sci. 38(4), 652–657 (2010).10.1109/tps.2010.2041558
    [42]
    R. Shukla, S. K. Sharma, P. Banerjee et al., “Low voltage operation of plasma focus,” Rev. Sci. Instrum. 81(8), 083501 (2010).10.1063/1.3470917
    [43]
    B. L. Bures, M. Krishnan, and C. James, “A plasma focus electronic neutron generator,” IEEE Trans. Plasma Sci. 40(4), 1082–1088 (2012).10.1109/tps.2012.2183648
    [44]
    A. Tarifeño-Saldivia and L. Soto, “Statistical characterization of the reproducibility of neutron emission of small plasma focus devices,” Phys. Plasmas 19(9), 092512 (2012).10.1063/1.4747444
    [45]
    R. K. Rout, R. Niranjan, P. Mishra et al., “Palm top plasma focus device as a portable pulsed neutron source,” Rev. Sci. Instrum. 84(6), 063503 (2013).10.1063/1.4808309
    [46]
    L. Soto, C. Pavez, J. Moreno et al., “Nanofocus: An ultra-miniature dense pinch plasma focus device with submillimetric anode operating at 0.1 J,” Plasma Sources Sci. Technol. 18(1), 015007 (2008).10.1088/0963-0252/18/1/015007
    [47]
    C. Pavez and L. Soto, “Demonstration of x-ray emission from an ultraminiature pinch plasma focus discharge operating at 0.1 J nanofocus,” IEEE Trans. Plasma Sci. 38(5), 1132–1135 (2010).10.1109/tps.2010.2045110
    [48]
    M. O. Barbaglia, H. Bruzzone, H. N. Acuña et al., “Electrical behavior of an ultralow-energy plasma-focus device,” IEEE Trans. Plasma Sci. 42(1), 138–142 (2014).10.1109/tps.2013.2293843
    [49]
    L. Soto, C. Pavéz, J. Moreno et al., “Evidence of nuclear fusion neutrons in an extremely small plasma focus device operating at 0.1 Joules,” Phys. Plasmas 24(8), 082703 (2017).10.1063/1.4989845
    [50]
    L. Soto, C. Pavez, S. Davis et al., “Material studies for inertial fusion devices using pulsed plasma shocks from a repetitive table top plasma focus device,” in “Pathways to Energy from Inertial Fusion: Structural Materials for Inertial Fusion Facilities,” Final Report of a Coordinated Research Project IAEA-TECDOC-1911, 2019, pp. 187–203.
    [51]
    R. Zwanzig, Nonequilibrium Statistical Mechanics (Oxford University Press, 2001).
    [52]
    N. G. Van Kampen, Stochastic Processes in Physics and Chemistry (North Holland, 2007).
    [53]
    T. S. Noggle and O. S. Oen, “Reduction in radiation damage due to channeling of 51-MeV iodine ions in gold,” Phys. Rev. Lett. 16, 395 (1966).10.1103/physrevlett.16.395
    [54]
    M. Hillert, Phase Equilibria, Phase Diagrams and Phase Transformations (Cambridge University Press, 2007).
    [55]
    S. Davis, A. B. Belonoshko, B. Johansson, and A. Rosengren, “Model for diffusion at the microcanonical superheating limit from atomistic computer simulations,” Phys. Rev. B 84, 064102 (2011).10.1103/physrevb.84.064102
    [56]
    J. Fikar and R. Schäublin, “Molecular dynamics simulation of radiation damage in bcc tungsten,” J. Nucl. Matter 386, 97–101 (2009).10.1016/j.jnucmat.2008.12.068
    [57]
    K. Nordlund, S. J. Zinkle, A. E. Sand et al., “Primary radiation damage: A review of current understanding and models,” J. Nucl. Matter 512, 450–479 (2018).10.1016/j.jnucmat.2018.10.027
    [58]
    R. O. Simmons and R. W. Balluffi, “Measurement of equilibrium concentrations of vacancies in copper,” Phys. Rev. 129, 1533 (1963).10.1103/physrev.129.1533
    [59]
    M. J. Pozo, S. Davis, and J. Peralta, “Statistical distribution of thermal vacancies close to the melting point,” Physica A 457, 310–313 (2015).10.1016/j.physb.2014.10.023
    [60]
    E. V. Safonova, Y. P. Mitrofanov, R. A. Konchakov et al., “Experimental evidence for thermal generation of interstitials in a metallic crystal near the melting temperature,” J. Phys.: Condens. Matter 28, 215401 (2016).10.1088/0953-8984/28/21/215401
    [61]
    M. V. Sorokin, K. Schwartz, V. I. Dubinko et al., “Kinetics of lattice defects induced in lithium fluoride crystals during irradiation with swift ions at room temperature,” Nucl. Instrum. Methods Phys. Res., Sect. B 466, 17–19 (2020).10.1016/j.nimb.2020.01.007
    [62]
    E. A. Kotomin, V. Kashcheyevs, V. N. Kuzovkov et al., “Modeling of primary defect aggregation in tracks of swift heavy ions in LiF,” Phys. Rev. B 64, 144108 (2001).10.1103/physrevb.64.144108
    [63]
    C.-C. Fu, J. D. Torre, F. Willaime et al., “Multiscale modelling of defect kinetics in irradiated iron,” Nat. Mater. 4(1), 68–74 (2004).10.1038/nmat1286
    [64]
    J. H. Yu, G. De Temmerman, R. P. Doerner et al., “The effect of transient temporal pulse shape on surface temperature and tungsten damage,” Nucl. Fusion 55(9), 093027 (2015).10.1088/0029-5515/55/9/093027
    [65]
    G. G. Van Eden, T. W. Morgan, H. J. Van Der Meiden et al., “The effect of high-flux H plasma exposure with simultaneous transient heat loads on tungsten surface damage and power handling,” Nucl. Fusion 54(12), 123010 (2014).10.1088/0029-5515/54/12/123010
    [66]
    D. Garoz, A. R. Páramo, A. Rivera et al., “Modelling the thermomechanical behaviour of the tungsten first wall in HiPER laser fusion scenarios,” Nucl. Fusion 56(12), 126014 (2016).10.1088/0029-5515/56/12/126014
  • 加载中

Catalog

    通讯作者: 陈斌, bchen63@163.com
    • 1. 

      沈阳化工大学材料科学与工程学院 沈阳 110142

    1. 本站搜索
    2. 百度学术搜索
    3. 万方数据库搜索
    4. CNKI搜索

    Figures(8)

    Article Metrics

    Article views (2445) PDF downloads(5) Cited by()
    Proportional views
    Related

    /

    DownLoad:  Full-Size Img  PowerPoint
    Return
    Return