Follow us on Wechat

2017 Vol. 2, No. 4

Display Method:
LASER- AND PARTICLE BEAM FUSION
Reviews
P3: An installation for high-energy density plasma physics and ultra-high intensity laser–matter interaction at ELI-Beamlines
Weber S., Bechet S., Borneis S., Brabec L., Bučka M., Chacon-Golcher E., Ciappina M., DeMarco M., Fajstavr A., Falk K., Garcia E.-R., Grosz J., Gu Y.-J., Hernandez J.-C., Holec M., Janečka P., Jantač M., Jirka M., Kadlecova H., Khikhlukha D., Klimo O., Korn G., Kramer D., Kumar D., Lastovička T., Lutoslawski P., Morejon L., Olšovcová V., Rajdl M., Renner O., Rus B., Singh S., Šmid M., Sokol M., Versaci R., Vrána R., Vranic M., Vyskočil J., Wolf A., Yu Q.
2017, 2(4) doi: 10.1016/j.mre.2017.03.003
Abstract(5174) FullText HTML (2530) PDF(22)
Abstract:
ELI-Beamlines (ELI-BL), one of the three pillars of the Extreme Light Infrastructure endeavour, will be in a unique position to perform research in high-energy-density-physics (HEDP), plasma physics and ultra-high intensity (UHI) ( 10 22 W / cm 2 ) laser–plasma interaction. Recently the need for HED laboratory physics was identified and the P3 (plasma physics platform) installation under construction in ELI-BL will be an answer. The ELI-BL 10 PW laser makes possible fundamental research topics from high-field physics to new extreme states of matter such as radiation-dominated ones, high-pressure quantum ones, warm dense matter (WDM) and ultra-relativistic plasmas. HEDP is of fundamental importance for research in the field of laboratory astrophysics and inertial confinement fusion (ICF). Reaching such extreme states of matter now and in the future will depend on the use of plasma optics for amplifying and focusing laser pulses. This article will present the relevant technological infrastructure being built in ELI-BL for HEDP and UHI, and gives a brief overview of some research under way in the field of UHI, laboratory astrophysics, ICF, WDM, and plasma optics.
PULSED POWER TECHNOLOGY AND HIGH POWER ELECTROMAGNETICS
Research Articles
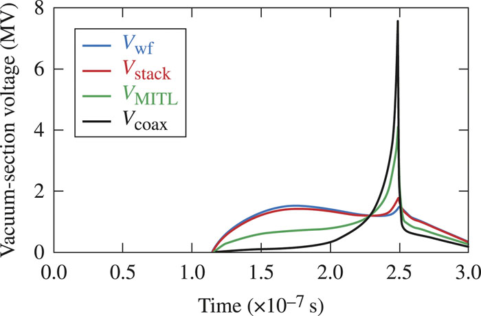
Conceptual design of a 15-TW pulsed-power accelerator for high-energy-density—physics experiments
Spielman R.B., Froula D.H., Brent G., Campbell E.M., Reisman D.B., Savage M.E., Shoup M.J., Stygar W.A., Wisher M.L.
2017, 2(4) doi: 10.1016/j.mre.2017.05.002
Abstract(4026) FullText HTML (1923) PDF(10)
Abstract:
We have developed a conceptual design of a 15-TW pulsed-power accelerator based on the linear-transformer-driver (LTD) architecture described by Stygar [W. A. Stygar et al., Phys. Rev. ST Accel. Beams 18, 110401 (2015)]. The driver will allow multiple, high-energy-density experiments per day in a university environment and, at the same time, will enable both fundamental and integrated experiments that are scalable to larger facilities. In this design, many individual energy storage units (bricks), each composed of two capacitors and one switch, directly drive the target load without additional pulse compression. Ten LTD modules in parallel drive the load. Each module consists of 16 LTD cavities connected in series, where each cavity is powered by 22 bricks connected in parallel. This design stores up to 2.75 MJ and delivers up to 15 TW in 100 ns to the constant-impedance, water-insulated radial transmission lines. The transmission lines in turn deliver a peak current as high as 12.5 MA to the physics load. To maximize its experimental value and flexibility, the accelerator is coupled to a modern, multibeam laser facility (four beams with up to 5 kJ in 10 ns and one beam with up to 2.6 kJ in 100 ps or less) that can provide auxiliary heating of the physics load. The lasers also enable advanced diagnostic techniques such as X-ray Thomson scattering and multiframe and three-dimensional radiography. The coupled accelerator-laser facility will be the first of its kind and be capable of conducting unprecedented high-energy-density–physics experiments.
LASER- AND PARTICLE BEAM FUSION
Research Articles
Effect of molecular weight on the quality of poly(alpha-methylstyrene) mandrel
Shangguan Xiuyun, Chen Sufen, Ma Shuang, Liu Meifang, Tang Changhuan, Yi Yong, Zhang Zhanwen
2017, 2(4) doi: 10.1016/j.mre.2017.04.001
Abstract(2445) FullText HTML (1194) PDF(7)
Abstract:
Hollow poly(alpha-methylstyrene) (PAMS) shows application in inertial confinement fusion experiments as the degradable mandrels of glow plasma polymer shells. However, the molecular weight of PAMS has great influence on the quality of mandrels. In this work, this influence was systematically studied using several PAMS samples with different molecular weights. For PAMS shells with 900 μm inner diameter and different wall thickness, when the molecular weight of PAMS is in the range of 300–500 kg·mol−1, perfect sphericity and good wall thickness uniformity can be obtained. In contrast, when increasing molecular weight to 800 kg·mol−1, the sphericity and the wall thickness uniformity become worse. Moreover, compared with the wall uniformity, the sphericity of PAMS shells was much less sensitive to the molecular weight. The results also showed that the stability of W1/O compound droplets of PAMS shells were less affected by the molecular weight. It was revealed that the wall uniformity and the sphericity of the PAMS shells were associated with the diffusion rates of fluorobenzene (FB).
Stimulated Raman scattering excited by incoherent light in plasma
Zhao Yao, Weng Suming, Chen Min, Zheng Jun, Zhuo Hongbin, Sheng Zhengming
2017, 2(4) doi: 10.1016/j.mre.2017.06.001
Abstract(2493) FullText HTML (1210) PDF(7)
Abstract:
Stimulated Raman scattering (SRS) excited by incoherent light is studied via particle-in-cell simulations. It is shown that a large bandwidth of incoherent light can reduce the growth of SRS and electron heating considerably in the linear stage. However, different components of the incoherent light can be coupled by the Langmuir waves, so that stimulated Raman backward scattering can develop. When the bandwidth of incoherent light is larger than the Langmuir wave frequency, forward SRS can be seeded between different components of the incoherent light. The incoherent light can only increase the time duration for nonlinear saturation but cannot diminish the saturation level obviously.
Non-thermal laser driven plasma-blocks for proton boron avalanche fusion as direct drive option
Hora Heinrich, Eliezer Shalom, Nissim Noaz, Lalousis Paraskevas
2017, 2(4) doi: 10.1016/j.mre.2017.05.001
Abstract(3101) FullText HTML (1499) PDF(6)
Abstract:
Fusion energy from protons reacting with 11B, HB11, is extremely difficult or impossible when using thermal ignition by laser irradiation. This changes radically when using picosecond laser pulses with powers above petawatts dominated by nonlinear force driven ultrahigh acceleration of plasma blocks for a non-thermal initiation of igniting solid density HB11 fuel. For a cylindrical trapping of the reaction, laser produced ultrahigh magnetic fields above kiloTesla, have to be combined. The experimentally confirmed highly increased HB11 fusion gains due to avalanche reaction may lead to a scheme of an environmentally clean and economic power reactor.