Follow us on Wechat

用微信扫码二维码

分享至好友和朋友圈

Volume 10 Issue 6
Nov.  2025
Turn off MathJax
Article Contents
Bi Zheng, Wang Dianzhen, Zhou Yiyang, Gao Yang, Zou Jing, Liu Fuyang, Tao Qiang, Yang Bin, Yue Huijuan, Wang Luhong, Liu Haozhe, Li Yan, Zhu Pinwen. Pressure-driven crystal symmetry and carrier concentration optimization for superior thermoelectric transport properties in layered AgCrSe2[J]. Matter and Radiation at Extremes, 2025, 10(6): 067803. doi: 10.1063/5.0293464
Citation: Bi Zheng, Wang Dianzhen, Zhou Yiyang, Gao Yang, Zou Jing, Liu Fuyang, Tao Qiang, Yang Bin, Yue Huijuan, Wang Luhong, Liu Haozhe, Li Yan, Zhu Pinwen. Pressure-driven crystal symmetry and carrier concentration optimization for superior thermoelectric transport properties in layered AgCrSe2[J]. Matter and Radiation at Extremes, 2025, 10(6): 067803. doi: 10.1063/5.0293464

Pressure-driven crystal symmetry and carrier concentration optimization for superior thermoelectric transport properties in layered AgCrSe2

doi: 10.1063/5.0293464
More Information
  • Corresponding author: a)Authors to whom correspondence should be addressed: haozhe.liu@hpstar.ac.cn; liyan2012@jlu.edu.cn; and zhupw@jlu.edu.cn
  • Received Date: 2025-07-28
  • Accepted Date: 2025-09-22
  • Available Online: 2025-11-28
  • Publish Date: 2025-11-01
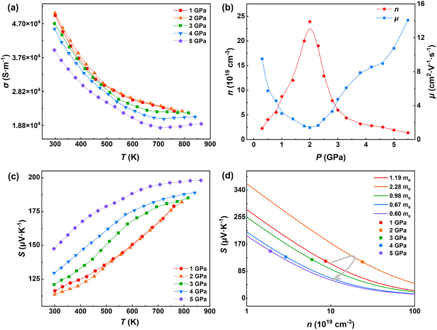
  • Phase engineering has proven to be an effective strategy for achieving superior thermoelectric performance, while pressure is an excellent means of expanding the phase space of a material. In this paper, the effect of pressure-induced phase transition on improving the crystal symmetry and enhancing the thermoelectric properties of AgCrSe2 under high pressure and high temperature are reported. A structural phase transition from the low-symmetry R3m phase to the high-symmetry P3̄m1 phase is discovered below 1 GPa, which increases band degeneracy and contributes to a high electrical conductivity. For the metallic P3̄m1 phase, the electrons surrounding the Se2− anion gradually transfer to the Ag+ and Cr3+ cations as the pressure increases, decreasing the density of states around the Fermi level and thus optimizing the carrier concentration, thereby increasing the Seebeck coefficient while maintaining a high electrical conductivity. Consequently, an ultrahigh power factor of 864 μW·m−1·K−2 is achieved at 5 GPa and 297 K. This study provides new insights into improving thermoelectric transport properties by applying physical pressure to enhance crystal symmetry and optimize thermoelectric parameters, and also indicates that phase engineering is a compelling strategy to discover or design novel high-performance thermoelectric materials starting from low-symmetry compounds.
  • Conflict of Interest
    The authors have no conflicts to disclose.
    Zheng Bi, Dianzhen Wang, and Yiyang Zhou contributed equally to this work.
    Zheng Bi: Conceptualization (equal); Formal analysis (equal); Investigation (equal); Writing – original draft (equal). Dianzhen Wang: Investigation (equal); Methodology (equal); Writing – original draft (equal). Yiyang Zhou: Investigation (equal); Software (equal); Writing – original draft (equal). Yang Gao: Project administration (equal). Jing Zou: Methodology (equal). Fuyang Liu: Data curation (equal); Formal analysis (equal). Qiang Tao: Data curation (equal). Bin Yang: Formal analysis (equal). Huijuan Yue: Formal analysis (equal). Luhong Wang: Visualization (equal). Haozhe Liu: Supervision (equal); Writing – review & editing (equal). Yan Li: Conceptualization (equal); Resources (lead); Supervision (equal); Writing – review & editing (equal). Pinwen Zhu: Conceptualization (equal); Supervision (equal); Writing – review & editing (equal).
    Author Contributions
    The data that support the findings of this study are available from the corresponding authors upon reasonable request.
  • loading
  • [1]
    D. Wang, Y. Gao, C. You, J. Cheng, Z. Liu et al., “Enhancement of thermoelectric performance in robust ZnO-based composite ceramics driven by A stepwise optimization strategy,” Adv. Funct. Mater. 34, 2308970 (2024).10.1002/adfm.202308970
    [2]
    D. Beretta, N. Neophytou, J. M. Hodges, M. G. Kanatzidis, D. Narducci et al., “Thermoelectrics: From history, a window to the future,” Mater. Sci. Eng.: R: Rep. 138, 210–255 (2019).10.1016/j.mser.2018.09.001
    [3]
    B. Jiang, Y. Yu, J. Cui, X. Liu, L. Xie et al., “High-entropy-stabilized chalcogenides with high thermoelectric performance,” Science 371, 830–834 (2021).10.1126/science.abe1292
    [4]
    M. S. Toprak, C. Stiewe, D. Platzek, S. Williams, L. Bertini et al., “The impact of nanostructuring on the thermal conductivity of thermoelectric CoSb3,” Adv. Funct. Mater. 14, 1189–1196 (2004).10.1002/adfm.200400109
    [5]
    M. I. Hussein, C. N. Tsai, and H. Honarvar, “Thermal conductivity reduction in a nanophononic metamaterial versus a nanophononic crystal: A review and comparative analysis,” Adv. Funct. Mater. 30, 1906718 (2019).10.1002/adfm.201906718
    [6]
    A. M. Dehkordi, M. Zebarjadi, J. He, and T. M. Tritt, “Thermoelectric power factor: Enhancement mechanisms and strategies for higher performance thermoelectric materials,” Mater. Sci. Eng.: R: Rep. 97, 1–22 (2015).10.1016/j.mser.2015.08.001
    [7]
    Y. Pei, Z. M. Gibbs, A. Gloskovskii, B. Balke, W. G. Zeier et al., “Optimum carrier concentration in n-type PbTe thermoelectrics,” Adv. Energy Mater. 4, 1400486 (2014).10.1002/aenm.201400486
    [8]
    Y. Pei, X. Shi, A. LaLonde, H. Wang, L. Chen et al., “Convergence of electronic bands for high performance bulk thermoelectrics,” Nature 473, 66–69 (2011).10.1038/nature09996
    [9]
    Y. Sun, Y. Liu, R. Li, Y. Li, and S. Bai, “Strategies to improve the thermoelectric figure of merit in thermoelectric functional materials,” Front. Chem. 10, 865281 (2022).10.3389/fchem.2022.865281
    [10]
    D. Wang, Z. Li, Z. Liu, C. You, J. Cheng et al., “Stacking faults stabilize oxygen vacancies at high temperatures to improve the thermoelectric performance of ZnO,” J. Alloys Compd. 1005, 175928 (2024).10.1016/j.jallcom.2024.175928
    [11]
    R. Chen, P. Qiu, B. Jiang, P. Hu, Y. Zhang et al., “Significantly optimized thermoelectric properties in high-symmetry cubic Cu7PSe6 compounds via entropy engineering,” J. Mater. Chem. A 6, 6493–6502 (2018).10.1039/c8ta00631h
    [12]
    G. Tang, W. Wei, J. Zhang, Y. Li, X. Wang et al., “Realizing high figure of merit in phase-separated polycrystalline Sn1–xPbxSe,” J. Am. Chem. Soc. 138, 13647–13654 (2016).10.1021/jacs.6b07010
    [13]
    R. Liu, H. Chen, K. Zhao, Y. Qin, B. Jiang et al., “Entropy as a gene-like performance indicator promoting thermoelectric materials,” Adv. Mater. 29, 1702712 (2017).10.1002/adma.201702712
    [14]
    Y. Liu, H. Xie, Z. Li, R. dos Reis, J. Li et al., “Implications and optimization of domain structures in IV–VI high-entropy thermoelectric materials,” J. Am. Chem. Soc. 146, 12620–12635 (2024).10.1021/jacs.4c01688
    [15]
    H. Zhu, T. Zhao, B. Zhang, Z. An, S. Mao et al., “Entropy engineered cubic n-type AgBiSe2 alloy with high thermoelectric performance in fully extended operating temperature range,” Adv. Energy Mater. 11, 2003304 (2020).10.1002/aenm.202003304
    [16]
    Y. He, T. Day, T. Zhang, H. Liu, X. Shi et al., “High thermoelectric performance in non-toxic earth-abundant copper sulfide,” Adv. Mater. 26, 3974–3978 (2014).10.1002/adma.201400515
    [17]
    Z. Guo, G. Wu, X. Tan, R. Wang, Z. Zhang et al., “Enhanced thermoelectric performance in GeTe by synergy of midgap state and band convergence,” Adv. Funct. Mater. 33, 2212421 (2023).10.1002/adfm.202212421
    [18]
    M. Hong, J. Zou, and Z. G. Chen, “Thermoelectric GeTe with diverse degrees of freedom having secured superhigh performance,” Adv. Mater. 31, 1807071 (2019).10.1002/adma.201807071
    [19]
    Z. Zheng, X. Su, R. Deng, C. Stoumpos, H. Xie et al., “Rhombohedral to cubic conversion of GeTe via MnTe alloying leads to ultralow thermal conductivity, electronic band convergence, and high thermoelectric performance,” J. Am. Chem. Soc. 140, 2673–2686 (2018).10.1021/jacs.7b13611
    [20]
    J. Zhang, R. Liu, N. Cheng, Y. Zhang, J. Yang et al., “High-performance pseudocubic thermoelectric materials from non-cubic chalcopyrite compounds,” Adv. Mater. 26, 3848–3853 (2014).10.1002/adma.201400058
    [21]
    C. Xiao, X. Qin, J. Zhang, R. An, J. Xu et al., “High thermoelectric and reversible p-n-p conduction type switching integrated in dimetal chalcogenide,” J. Am. Chem. Soc. 134, 18460–18466 (2012).10.1021/ja308936b
    [22]
    L. Hu, Y. Luo, Y. Fang, F. Qin, X. Cao et al., “High thermoelectric performance through crystal symmetry enhancement in triply doped diamondoid compound Cu2SnSe3,” Adv. Energy Mater. 11, 2100661 (2021).10.1002/aenm.202100661
    [23]
    M. Tang, J. Li, Y. Wang, H. Gong, Y. Huang et al., “Alloying Cr2/3Te in AgCrSe2 compound for improving thermoelectrics,” Appl. Phys. Lett. 118, 193902 (2021).10.1063/5.0049197
    [24]
    M. Tang, Z. Chen, C. Yin, L. Lin, D. Ren et al., “Thermoelectric modulation by intrinsic defects in superionic conductor AgxCrSe2,” Appl. Phys. Lett. 116, 163901 (2020).10.1063/5.0004972
    [25]
    Y. Wang, Y. Wang, C. Chen, K. Koumoto, S. He et al., “Remarkable effects of shear-exfoliation and restacking on microstructural texturing and thermoelectric properties of AgCrSe2,” J. Alloys Compd. 958, 170504 (2023).10.1016/j.jallcom.2023.170504
    [26]
    M. Tang, Z. Chen, X. Guo, F. Zhang, Y. Zhong et al., “Reducing effective mass for advancing thermoelectrics in Sb/Bi-doped AgCrSe2 compounds,” ACS Appl. Mater. Interfaces 12, 36347–36354 (2020).10.1021/acsami.0c09355
    [27]
    Y. Wang, F. Zhang, X. Rao, H. Feng, L. Lin et al., “Advancing thermoelectrics by suppressing deep-level defects in Pb-doped AgCrSe2 alloys,” Chin. Phys. B 32, 047202 (2023).10.1088/1674-1056/acb765
    [28]
    S. Bhattacharya, A. Bohra, R. Basu, R. Bhatt, S. Ahmad et al., “High thermoelectric performance of (AgCrSe2)0.5(CuCrSe2)0.5 nano-composites having all-scale natural hierarchical architectures,” J. Mater. Chem. A 2, 17122–17129 (2014).10.1039/c4ta04056b
    [29]
    D. Wu, S. Huang, D. Feng, B. Li, Y. Chen et al., “Revisiting AgCrSe2 as a promising thermoelectric material,” Phys. Chem. Chem. Phys. 18, 23872–23878 (2016).10.1039/c6cp04791b
    [30]
    L. Zhang, Y. Wang, J. Lv, and Y. Ma, “Materials discovery at high pressures,” Nat. Rev. Mater. 2, 17005 (2017).10.1038/natrevmats.2017.5
    [31]
    L.-C. Chen, P.-Q. Chen, W.-J. Li, Q. Zhang, V. V. Struzhkin et al., “Enhancement of thermoelectric performance across the topological phase transition in dense lead selenide,” Nat. Mater. 18, 1321–1326 (2019).10.1038/s41563-019-0499-9
    [32]
    D. A. Polvani, J. F. Meng, N. V. Chandra Shekar, J. Sharp, and J. V. Badding, “Large improvement in thermoelectric properties in pressure-tuned p-type Sb1.5Bi0.5Te3,” Chem. Mater. 13, 2068–2071 (2001).10.1021/cm000888q
    [33]
    D. Wang, C. You, Y. Ge, F. Wang, X. Wang et al., “Enhanced thermoelectric performance of MoSe2 under high pressure and high temperature by suppressing bipolar effect,” Appl. Phys. Lett. 125, 013903 (2024).10.1063/5.0217965
    [34]
    D. Wang, J. Zou, C. You, Y. Ge, X. Wang et al., “Synergistic optimization on Seebeck coefficient and electrical conductivity in 2H-MoS2 enabled by progressively evolved stacking faults under high pressure and high temperature,” Appl. Phys. Lett. 125, 213903 (2024).10.1063/5.0238663
    [35]
    D. Wang, M. Faizan, J. Zhu, W. Quan, Y. Chen et al., “Breaking through the optimization limits of power factor via pressure-decoupled Seebeck coefficient and electrical conductivity,” Chin. Phys. Lett. 42, 066401 (2025).10.1088/0256-307X/42/6/066401
    [36]
    A. B. Grag, D. Errandonea, P. Rodríguez-Hernández, and A. Muñoz, “ScVO4 under non-hydrostatic compression: A new metastable polymorph,” J. Phys.: Condens. Matter 29, 055401 (2017).10.1088/1361-648X/29/5/055401
    [37]
    H. K. Mao, P. M. Bell, J. W. Shaner, and D. J. Steinberg, “Specific volume measurements of Cu, Mo, Pd, and Ag and calibration of the ruby R1 fluorescence pressure gauge from 0.06 to 1 Mbar,” J. Appl. Phys. 49, 3276–3283 (1978).10.1063/1.325277
    [38]
    G. Kresse and J. Furthmüller, “Efficient iterative schemes for ab initio total-energy calculations using a plane-wave basis set,” Phys. Rev. B 54, 11169–11186 (1996).10.1103/physrevb.54.11169
    [39]
    P. E. Blöchl, “Projector augmented-wave method,” Phys. Rev. B 50, 17953–17979 (1994).10.1103/physrevb.50.17953
    [40]
    J. P. Perdew, K. Burke, and M. Ernzerhof, “Generalized gradient approximation made simple,” Phys. Rev. Lett. 77, 3865–3868 (1996).10.1103/physrevlett.77.3865
    [41]
    U. K. Gautam, R. Seshadri, S. Vasudevan, and A. Maignan, “Magnetic and transport properties, and electronic structure of the layered chalcogenide AgCrSe2,” Solid State Commun. 122, 607–612 (2002).10.1016/s0038-1098(02)00226-0
    [42]
    H. Takahashi, T. Akiba, A. H. Mayo, K. Akiba, A. Miyake et al., “Spin-orbit-derived giant magnetoresistance in a layered magnetic semiconductor AgCrSe2,” Phys. Rev. Mater. 6, 054602 (2022).10.1103/physrevmaterials.6.054602
    [43]
    S. Kim, J. Zhu, M. M. Piva, M. Schmidt, D. Fartab et al., “Observation of the anomalous Hall effect in a layered polar semiconductor,” Adv. Sci. 11, 2307306 (2024).10.1002/advs.202307306
    [44]
    T. Ouahrani, R. M. Boufatah, M. Benaissa, Á. Morales-García, M. Badawi et al., “Effect of intrinsic point defects on the catalytic and electronic properties of Cu2WS4 single layer: Ab initio calculations,” Phys. Rev. Mater. 7, 025403 (2023).10.1103/physrevmaterials.7.025403
    [45]
    Z. Zhang, H. Yao, X. Jia, X. Wang, X. Li et al., “Band convergence and phonon engineering to optimize the thermoelectric performance of CaCd2Sb2,” Appl. Phys. Lett. 120, 041901 (2022).10.1063/5.0076087
    [46]
    X. Su, S. Hao, T. P. Bailey, S. Wang, I. Hadar et al., “Weak electron phonon coupling and deep level impurity for high thermoelectric performance Pb1−xGaxTe,” Adv. Energy Mater. 8, 1800659 (2018).10.1002/aenm.201800659
    [47]
    C. Xiao, Z. Li, K. Li, P. Huang, and Y. Xie, “Decoupling interrelated parameters for designing high performance thermoelectric materials,” Acc. Chem. Res. 47, 1287–1295 (2014).10.1021/ar400290f
    [48]
    J. Zhu, X. Zhang, M. Guo, J. Li, J. Hu et al., “Restructured single parabolic band model for quick analysis in thermoelectricity,” npj Comput. Mater. 7, 116 (2021).10.1038/s41524-021-00587-5
    [49]
    N. V. Morozova, I. V. Korobeinikov, and S. V. Ovsyannikov, “Strategies and challenges of high-pressure methods applied to thermoelectric materials,” J. Appl. Phys. 125, 220901 (2019).10.1063/1.5094166
    [50]
    A. Maignan, E. Guilmeau, F. Gascoin, Y. Bréard, and V. Hardy, “Revisiting some chalcogenides for thermoelectricity,” Sci. Technol. Adv. Mater. 13, 053003 (2012).10.1088/1468-6996/13/5/053003
    [51]
    A. Aznar, P. Lloveras, M. Romanini, M. Barrio, J. L. Tamarit et al., “Giant barocaloric effects over a wide temperature range in superionic conductor AgI,” Nat. Commun. 8, 1851 (2017).10.1038/s41467-017-01898-2
  • 加载中

Catalog

    通讯作者: 陈斌, bchen63@163.com
    • 1. 

      沈阳化工大学材料科学与工程学院 沈阳 110142

    1. 本站搜索
    2. 百度学术搜索
    3. 万方数据库搜索
    4. CNKI搜索

    Figures(5)  / Tables(1)

    Article Metrics

    Article views (3437) PDF downloads(0) Cited by()
    Proportional views
    Related

    /

    DownLoad:  Full-Size Img  PowerPoint
    Return
    Return