Follow us on Wechat

用微信扫码二维码

分享至好友和朋友圈

Volume 10 Issue 6
Nov.  2025
Turn off MathJax
Article Contents
Zhang Huimin, Liu Ran, Yuan Jiajing, Wang Dongxue, Liu Ran, Wang Yuanyuan, Liu Zhaodong, Yao Zhen, Zhang Ying, Liu Shuang, Wang Peng. Stabilized N5 and N6 rings in the Ag–N system under modest pressure[J]. Matter and Radiation at Extremes, 2025, 10(6): 067801. doi: 10.1063/5.0282196
Citation: Zhang Huimin, Liu Ran, Yuan Jiajing, Wang Dongxue, Liu Ran, Wang Yuanyuan, Liu Zhaodong, Yao Zhen, Zhang Ying, Liu Shuang, Wang Peng. Stabilized N5 and N6 rings in the Ag–N system under modest pressure[J]. Matter and Radiation at Extremes, 2025, 10(6): 067801. doi: 10.1063/5.0282196

Stabilized N5 and N6 rings in the Ag–N system under modest pressure

doi: 10.1063/5.0282196
More Information
  • Corresponding author: a)Authors to whom correspondence should be addressed: zhangyingtt@jlu.edu.cn; liu_shuang@jlu.edu.cn; and wangpengtrrs@jlu.edu.cn
  • Received Date: 2025-05-23
  • Accepted Date: 2025-08-19
  • Available Online: 2025-11-28
  • Publish Date: 2025-11-01
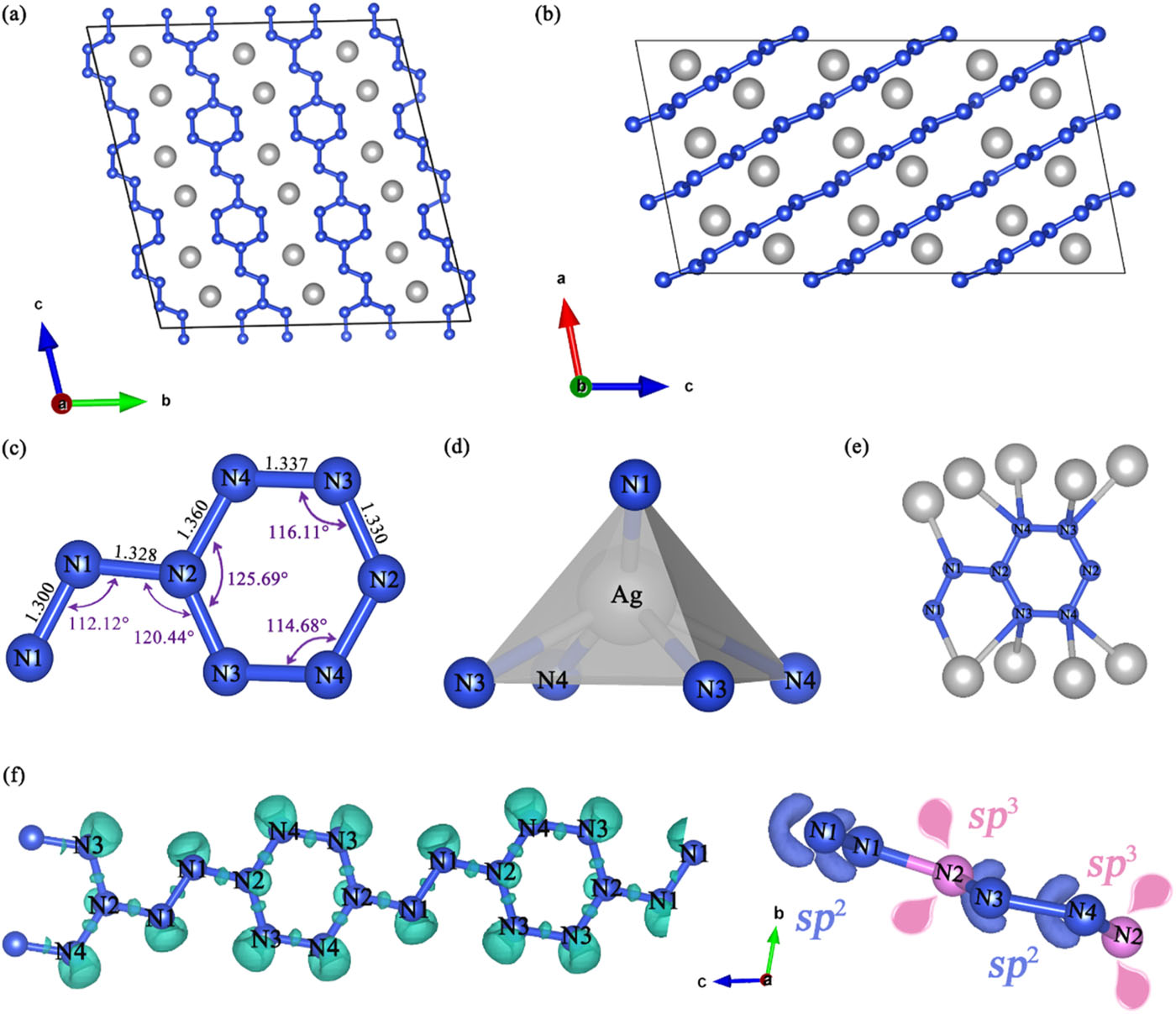
  • High pressure enables the creation of novel functional materials by modifying chemical bonding and crystal structure, opening avenues for the development of high-energy-density polynitrogen materials. We present the high-pressure synthesis of three polynitrides P1 AgN7, P21/c AgN5, and P-1 AgN4, achieved through direct reactions between silver and nitrogen. Notably, the synthesis pressures required for the formation of N5 and N6 rings from metal–nitrogen reactions in this work represent the lowest values reported to date in high-pressure studies. At 15 GPa, isolated N5 rings are stabilized in P1 AgN7 and P21/c AgN5. At 26.3 GPa, P-1 AgN4 is synthesized, featuring infinite one-dimensional nitrogen chains composed of alternating N2 and N6 rings, a unique catenation not observed in other polynitrides. In addition, AgN7, AgN5, and AgN4 possess significantly higher volumetric energy densities Ev than the conventional explosive TNT, making them promising high-energy-density materials.
  • Conflict of Interest
    The authors have no conflicts to disclose.
    Huimin Zhang: Data curation (equal); Formal analysis (equal); Funding acquisition (equal); Investigation (equal); Supervision (equal); Writing – original draft (equal); Writing – review & editing (equal). Ran Liu: Data curation (equal); Formal analysis (equal); Investigation (equal); Writing – original draft (equal). Jiajing Yuan: Data curation (equal); Formal analysis (equal); Software (equal). Dongxue Wang: Data curation (equal); Software (equal). Ran Liu: Data curation (equal); Software (equal). Yuanyuan Wang: Software (equal). Zhaodong Liu: Data curation (equal); Software (equal). Zhen Yao: Data curation (equal). Ying Zhang: Data curation (equal); Funding acquisition (equal); Investigation (equal); Supervision (equal); Writing – review & editing (equal). Shuang Liu: Data curation (equal); Software (equal). Peng Wang: Data curation (equal); Software (equal); Supervision (equal).
    Author Contributions
    The data that support the findings of this study can be found in the article and its supplementary material.
  • loading
  • [1]
    M. M. M. Kuypers, H. K. Marchant, and B. Kartal, “The microbial nitrogen-cycling network,” Nat. Rev. Microbiol. 16, 263–276 (2018).10.1038/nrmicro.2018.9
    [2]
    X. Zhang, T. Zou, L. Lassaletta, N. D. Mueller, F. N. Tubiello et al., “Quantification of global and national nitrogen budgets for crop production,” Nat. Food 2, 529–540 (2021).10.1038/s43016-021-00318-5
    [3]
    T. M. Klapötke, “Casting TNT as an explosive,” Nat. Chem. 15, 1480 (2023).10.1038/s41557-023-01337-4
    [4]
    X. Bai, P. Hu, A. Li, Y. Zhang, A. Li et al., “Publisher correction: Nitrogen-doped amorphous monolayer carbon,” Nature 634, E16 (2024).10.1038/s41586-024-08147-9
    [5]
    J. Woo, C. Stein, A. H. Christian, and M. D. Levin, “Carbon-to-nitrogen single-atom transmutation of azaarenes,” Nature 623, 77–82 (2023).10.1038/s41586-023-06613-4
    [6]
    A. Hirsch, “The era of carbon allotropes,” Nat. Mater. 9, 868–871 (2010).10.1038/nmat2885
    [7]
    R. Kalescky, E. Kraka, and D. Cremer, “Identification of the strongest bonds in chemistry,” J. Phys. Chem. A 117, 8981–8995 (2013).10.1021/jp406200w
    [8]
    D. Laniel, G. Geneste, G. Weck, M. Mezouar, and P. Loubeyre, “Hexagonal layered polymeric nitrogen phase synthesized near 250 GPa,” Phys. Rev. Lett. 122, 066001 (2019).10.1103/physrevlett.122.066001
    [9]
    C. Ji, A. A. Adeleke, L. Yang, B. Wan, H. Gou et al., “Nitrogen in black phosphorus structure,” Sci. Adv. 6, eaba9206 (2020).10.1126/sciadv.aba9206
    [10]
    A. Aslandukov, A. Aslandukova, D. Laniel, S. Khandarkhaeva, Y. Yin et al., “Stabilization of N6 and N8 anionic units and 2D polynitrogen layers in high-pressure scandium polynitrides,” Nat. Commun. 15, 2244 (2024).10.1038/s41467-024-46313-9
    [11]
    Y. Shang, Z. Liu, J. Dong, M. Yao, Z. Yang et al., “Ultrahard bulk amorphous carbon from collapsed fullerene,” Nature 599, 599–604 (2021).10.1038/s41586-021-03882-9
    [12]
    C. Chen, D. Yin, T. Kato, T. Taniguchi, K. Watanabe et al., “Stabilizing the metastable superhard material wurtzite boron nitride by three-dimensional networks of planar defects,” Proc. Natl. Acad. Sci. U. S. A. 116, 11181–11186 (2019).10.1073/pnas.1902820116
    [13]
    E. Y. Zarechnaya, L. Dubrovinsky, N. Dubrovinskaia, Y. Filinchuk, D. Chernyshov et al., “Superhard semiconducting optically transparent high pressure phase of boron,” Phys. Rev. Lett. 102, 185501 (2009).10.1103/physrevlett.102.185501
    [14]
    X. Yang, M. Yao, X. Wu, S. Liu, S. Chen et al., “Novel superhard sp3 carbon allotrope from cold-compressed C70 peapods,” Phys. Rev. Lett. 118, 245701 (2017).10.1103/physrevlett.118.245701
    [15]
    M. I. Eremets, A. G. Gavriliuk, I. A. Trojan, D. A. Dzivenko, and R. Boehler, “Single-bonded cubic form of nitrogen,” Nat. Mater. 3, 558–563 (2004).10.1038/nmat1146
    [16]
    D. Laniel, B. Winkler, T. Fedotenko, A. Pakhomova, S. Chariton et al., “High-pressure polymeric nitrogen allotrope with the black phosphorus structure,” Phys. Rev. Lett. 124, 216001 (2020).10.1103/physrevlett.124.216001
    [17]
    D. Tomasino, M. Kim, J. Smith, and C. S. Yoo, “Pressure-induced symmetry-lowering transition in dense nitrogen to layered polymeric nitrogen (LP-N) with colossal Raman intensity,” Phys. Rev. Lett. 113, 205502 (2014).10.1103/physrevlett.113.205502
    [18]
    D. Laniel, G. Weck, and P. Loubeyre, “Direct reaction of nitrogen and lithium up to 75 GPa: Synthesis of the Li3N, LiN, LiN2, and LiN5 compounds,” Inorg. Chem. 57, 10685–10693 (2018).10.1021/acs.inorgchem.8b01325
    [19]
    M. Bykov, E. Bykova, A. V. Ponomareva, I. A. Abrikosov, S. Chariton et al., “Stabilization of polynitrogen anions in tantalum–nitrogen compounds at high pressure,” Angew. Chem., Int. Ed. 60, 9003–9008 (2021).10.1002/anie.202100283
    [20]
    D. Laniel, F. Trybel, Y. Yin, T. Fedotenko, S. Khandarkhaeva et al., “Aromatic hexazine [N6]4− anion featured in the complex structure of the high-pressure potassium nitrogen compound K9N56,” Nat. Chem. 15, 641–646 (2023).10.1038/s41557-023-01148-7
    [21]
    A. Aslandukov, F. Trybel, A. Aslandukova, D. Laniel, T. Fedotenko et al., “Anionic N18 macrocycles and a polynitrogen double helix in novel yttrium polynitrides YN6 and Y2N11 at 100 GPa,” Angew. Chem., Int. Ed. 61, e202207469 (2022).10.1002/anie.202207469
    [22]
    M. Bykov, T. Fedotenko, S. Chariton, D. Laniel, K. Glazyrin et al., “High-pressure synthesis of dirac materials: layered van der waals bonded BeN4 polymorph,” Phys. Rev. Lett. 126, 175501 (2021).10.1103/physrevlett.126.175501
    [23]
    M. Sui, S. Liu, P. Wang, N. Zou, Q. Dong et al., “High-pressure synthesis of fully sp2-hybridized polymeric nitrogen layer in potassium supernitride,” Sci. Bull. 68, 1505–1513 (2023).10.1016/j.scib.2023.06.029
    [24]
    Y. Zhang, C. Ding, K. Zhang, A. Pakhomova, S. Chen et al., “All-single bonds fused N18 macro-rings and N8 cagelike building blocks stabilized in lanthanum supernitrides,” J. Am. Chem. Soc. 146, 28174–28181 (2024).10.1021/jacs.4c07955
    [25]
    Y. Gao, Y. Zhang, S. Liu, B. Jin, L. Guo et al., “N18 ring: A building block for constructing 1D and 2D polymeric nitrogen frameworks,” Sci. Bull. 69, 3860–3866 (2024).10.1016/j.scib.2024.10.002
    [26]
    M. Zhou, S. Liu, M. Du, X. Shi, Z. Zhao et al., “High-pressure-induced structural and chemical transformations in NaN3,” J. Phys. Chem. C 124, 19904–19910 (2020).10.1021/acs.jpcc.0c04107
    [27]
    D. Laniel, G. Weck, G. Gaiffe, G. Garbarino, and P. Loubeyre, “High-pressure synthesized lithium pentazolate compound metastable under ambient conditions,” J. Phys. Chem. Lett. 9, 1600–1604 (2018).10.1021/acs.jpclett.8b00540
    [28]
    Z. Zhao, R. Liu, L. Guo, S. Liu, M. Sui et al., “High-pressure synthesis and stability enhancement of lithium pentazolate,” Inorg. Chem. 61, 9012–9018 (2022).10.1021/acs.inorgchem.2c00112
    [29]
    M. Zhou, M. Sui, X. Shi, Z. Zhao, L. Guo et al., “Lithium pentazolate synthesized by laser heating-compressed lithium azide and nitrogen,” J. Phys. Chem. C 124, 11825–11830 (2020).10.1021/acs.jpcc.0c03949
    [30]
    G.-C. Guo, Q.-M. Wang, and T. C. W. Mak, “Structure refinement and Raman spectrum of silver azide,” J. Chem. Crystallogr. 29, 561–564 (1999).10.1023/a:1009544702195
    [31]
    E. S. Shanley and J. L. Ennis, “The chemistry and free energy of formation of silver nitride,” IN Eng. Chem. Res. 30, 2503–2506 (1991).10.1021/ie00059a023
    [32]
    W. Qian, A. Mardyukov, and P. R. Schreiner, “Preparation of a neutral nitrogen allotrope hexanitrogen C2h–N6,” Nature 642, 356–360 (2025).10.1038/s41586-025-09032-9
    [33]
    C. Sun, C. Zhang, C. Jiang, C. Yang, Y. Du et al., “Synthesis of AgN5 and its extended 3D energetic framework,” Nat. Commun. 9, 1269 (2018).10.1038/s41467-018-03678-y
    [34]
    Y. Xu, Q. Lin, P. Wang, and M. Lu, “Syntheses, crystal structures and properties of a series of 3D metal–inorganic frameworks containing pentazolate anion,” Chem.–Asian J. 13, 1669–1673 (2018).10.1002/asia.201800476
    [35]
    M. B. Kanoun and S. Goumri-Said, “Investigation of structural stability and electronic properties of CuN, AgN and AuN by first principles calculations,” Phys. Lett. 362, 73–83 (2007).10.1016/j.physleta.2006.09.100
    [36]
    Y. Zhuravlev, V. Lisitsyn, and Y. Morozova, “Crystal structure and electronic properties of the new structure dinitride-nitride N2MN (M: Cu, Ag),” Physica Status Solidi B 249, 2096–2107 (2012).10.1002/pssb.201248117
    [37]
    A. S. Williams, K. Nguyen Cong, J. M. Gonzalez, and I. I. Oleynik, “Crystal structure of silver pentazolates AgN5 and AgN6,” Dalton Trans. 50, 16364–16370 (2021).10.1039/d1dt02319e
    [38]
    D. Engin, C. Kemal, and C. Y. Oztekin, “Ab initio study on hypothetical silver nitride,” Chin. Phys. Lett. 25, 2154 (2008).10.1088/0256-307x/25/6/063.
    [39]
    A. B. Gordienko and Y. N. Zhuravlev, “Ab initio calculations of structural, elastic, and electronic properties of silver nitrides,” J. Struct. Chem. 51, 401–408 (2010).10.1007/s10947-010-0061-8
    [40]
    R. de Paiva, R. A. Nogueira, and J. L. A. Alves, “Atomic and electronic structures of 4d transition-metal nitrides,” Phys. Rev. B 75, 085105 (2007).10.1103/physrevb.75.085105
    [41]
    R. Liu, D. Xu, Z. Yao, S. Niu, and B. Liu, “The new high-pressure phases of nitrogen-rich Ag–N compounds,” Materials 15, 4986 (2022).10.3390/ma15144986
    [42]
    S. Niu, R. Liu, X. Shi, Z. Yao, B. Liu et al., “High-pressure new phase of AgN3,” Mod. Phys. Lett. B 35, 2150386 (2021).10.1142/s0217984921503863
    [43]
    B. A. Steele, E. Stavrou, J. C. Crowhurst, J. M. Zaug, V. B. Prakapenka et al., “High-pressure synthesis of a pentazolate salt,” Chem. Mater. 29, 735–741 (2016).10.1021/acs.chemmater.6b04538
    [44]
    M. Carlotti, J. W. C. Johns, and A. Trombetti, “The ν5 fundamental bands of N2H2 and N2D2,” Can. J. Phys.. 52, 340–344 (1974).10.1139/p74-048
    [45]
    Y. Morino, T. Iijima, and Y. Murata, “An electron diffraction investigation on the molecular structure of hydrazine,” Bull. Chem. Soc. Jpn. 33, 46–48 (2006).10.1246/bcsj.33.46
    [46]
    Z. Liu, D. Li, F. Tian, D. Duan, H. Li et al., “Moderate pressure stabilized pentazolate cyclo-N5– anion in Zn(N5)2 salt,” Inorg. Chem. 59, 8002–8012 (2020).10.1021/acs.inorgchem.0c00097
    [47]
    M. Bykov, E. Bykova, S. Chariton, V. B. Prakapenka, I. G. Batyrev et al., “Stabilization of pentazolate anions in the high-pressure compounds Na2N5 and NaN5 and in the sodium pentazolate framework NaN5·N2,” Dalton Trans. 50, 7229–7237 (2021).10.1039/d1dt00722j
    [48]
    G. N. Greaves, A. L. Greer, R. S. Lakes, and T. Rouxel, “Poisson’s ratio and modern materials,” Nat. Mater. 10, 823–837 (2011).10.1038/nmat3134
    [49]
    D. Li, F. Tian, D. Duan, K. Bao, B. Chu et al., “Mechanical and metallic properties of tantalum nitrides from first-principles calculations,” RSC Adv. 4, 10133–10139 (2014).10.1039/c3ra46734a
    [50]
    Y. Wang, M. Bykov, I. Chepkasov, A. Samtsevich, E. Bykova et al., “Stabilization of hexazine rings in potassium polynitride at high pressure,” Nat. Chem. 14, 794–800 (2022).10.1038/s41557-022-00925-0
    [51]
    N. P. Salke, K. Xia, S. Fu, Y. Zhang, E. Greenberg et al., “Tungsten hexanitride with single-bonded armchairlike hexazine structure at high pressure,” Phys. Rev. Lett. 126, 065702 (2021).10.1103/physrevlett.126.065702
    [52]
    J. Akella and G. C. Kennedy, “Melting of gold, silver, and copper-proposal for a new high-pressure calibration scale,” J. Geophys. Res 76, 4969–4977, (1971).10.1029/jb076i020p04969
    [53]
    P. W. Mirwald and G. C. Kennedy, “The melting curve of gold, silver, and copper to 60-Kbar pressure: A reinvestigation,” J. Geophys. Res.: Solid Earth 84, 6750–6756, (1979).10.1029/jb084ib12p06750
    [54]
    H. K. Hieu and N. N. Ha, “High pressure melting curves of silver, gold and copper,” AIP Adv. 3, 112125 (2013).10.1063/1.4834437
    [55]
    K. Xia, H. Gao, C. Liu, J. Yuan, J. Sun et al., “A novel superhard tungsten nitride predicted by machine-learning accelerated crystal structure search,” Sci. Bull. 63(13), 817–824 (2018).10.1016/j.scib.2018.05.027
    [56]
    H. Zhai, R. Xu, J. Dai, X. Ma, X. Yu et al., “Stabilized nitrogen framework anions in the Ga–N system,” J. Am. Chem. Soc. 144, 21640–21647 (2022).10.1021/jacs.2c09056
    [57]
    C. Prescher and V. B. Prakapenka, “DIOPTAS: A program for reduction of two-dimensional x-ray diffraction data and data exploration,” High Pressure Res. 35, 223–230 (2015).10.1080/08957959.2015.1059835
    [58]
    [59]
    G. Kresse and J. Furthmüller, “Efficient iterative schemes for ab initio total-energy calculations using a plane-wave basis set,” Phys. Rev. B 54, 11169–11186 (1996).10.1103/PhysRevB.54.11169
    [60]
    J. P. Perdew, K. Burke, and M. Ernzerhof, “Generalized gradient approximation made simple,” Phys. Rev. Lett. 77, 3865–3868 (1996).10.1103/physrevlett.77.3865
    [61]
    H. J. Monkhorst and J. D. Pack, “Special points for Brillouin-zone integrations,” Phys. Rev. B 13, 5188–5192 (1976).10.1103/physrevb.13.5188
    [62]
    A. Togo and I. Tanaka, “First principles phonon calculations in materials science,” Scr. Mater. 108, 1–5 (2015).10.1016/j.scriptamat.2015.07.021
    [63]
    S. D. Dabhi and P. K. Jha, “Stability, phonon dispersion and specific heat of solid poly(vinyl alcohol) using density functional theory,” Polymer 81, 45–49 (2015).10.1016/j.polymer.2015.11.009
    [64]
    M. de Jong, W. Chen, T. Angsten, A. Jain, R. Notestine et al., “Charting the complete elastic properties of inorganic crystalline compounds,” Sci. Data 2, 150009 (2015).10.1038/sdata.2015.9
    [65]
    R. Hill, “The elastic behaviour of a crystalline aggregate,” Proc. Phys. Soc. A 65, 349 (1952).10.1088/0370-1298/65/5/307
  • 加载中

Catalog

    通讯作者: 陈斌, bchen63@163.com
    • 1. 

      沈阳化工大学材料科学与工程学院 沈阳 110142

    1. 本站搜索
    2. 百度学术搜索
    3. 万方数据库搜索
    4. CNKI搜索

    Figures(9)  / Tables(1)

    Article Metrics

    Article views (3658) PDF downloads(1) Cited by()
    Proportional views
    Related

    /

    DownLoad:  Full-Size Img  PowerPoint
    Return
    Return