Follow us on Wechat

用微信扫码二维码

分享至好友和朋友圈

Volume 10 Issue 6
Nov.  2025
Turn off MathJax
Article Contents
Xiong W., Yang X. H., Chen Z. H., Xu B. H., Li Z., Zeng B., Dong Y. L., Zhang G. B., Ma Y. Y.. Evolution of the rippled inner-interface-initiated ablative Rayleigh–Taylor instability in laser-ablating high-Z doped targets[J]. Matter and Radiation at Extremes, 2025, 10(6): 067601. doi: 10.1063/5.0279590
Citation: Xiong W., Yang X. H., Chen Z. H., Xu B. H., Li Z., Zeng B., Dong Y. L., Zhang G. B., Ma Y. Y.. Evolution of the rippled inner-interface-initiated ablative Rayleigh–Taylor instability in laser-ablating high-Z doped targets[J]. Matter and Radiation at Extremes, 2025, 10(6): 067601. doi: 10.1063/5.0279590

Evolution of the rippled inner-interface-initiated ablative Rayleigh–Taylor instability in laser-ablating high-Z doped targets

doi: 10.1063/5.0279590
More Information
  • Author Bio:

    Electronic mail: zgb830@163.com

  • Corresponding author: a)Author to whom correspondence should be addressed: xhyang@nudt.edu.cn
  • Received Date: 2025-05-07
  • Accepted Date: 2025-09-09
  • Available Online: 2025-11-28
  • Publish Date: 2025-11-01
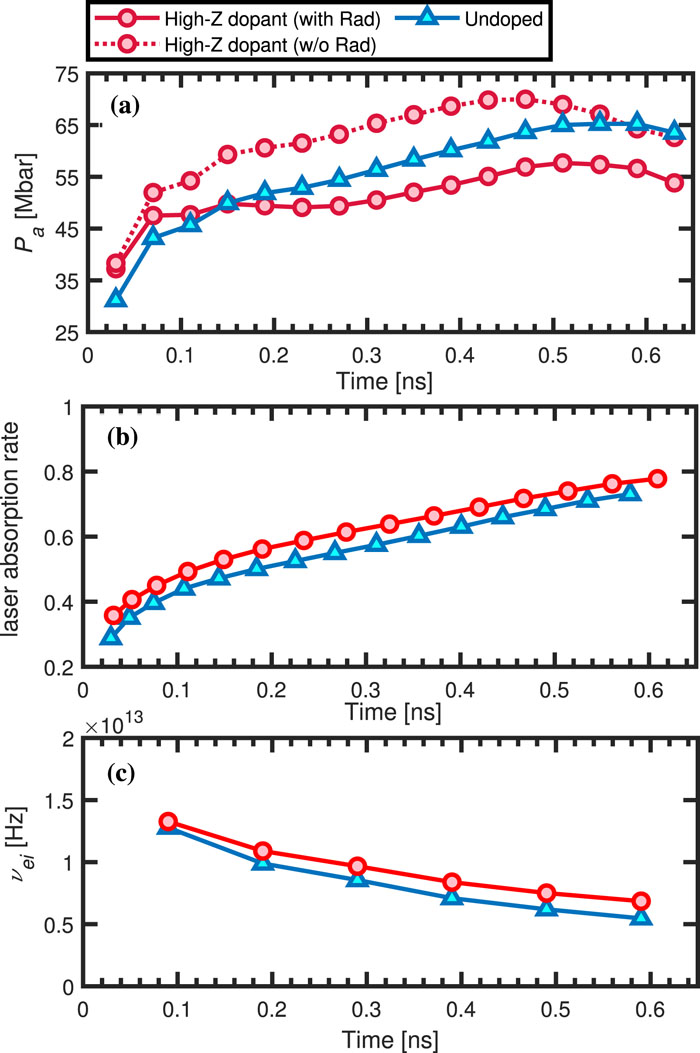
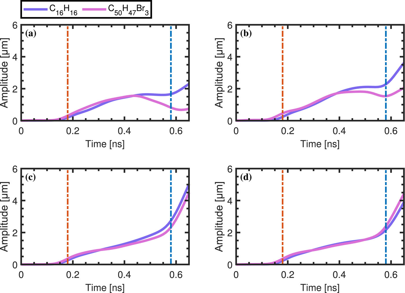
  • In the direct drive inertial confinement fusion (ICF) scheme, a rippled interface between the ablator and the deuterium–tritium ice fuel can feed out and form perturbation seeds for the ablative Rayleigh–Taylor instability, with undesirable effects. However, the evolution of this instability remains insufficiently studied, and the effects of high-Z dopant on this instability remain unclear. In this paper, we develop a theoretical model to calculate the feedout seeds and describe this instability. Our theory suggests that the feedout seeds are determined by the ablation pressure and the adiabatic index, while the subsequent growth depends mainly on the ablation velocity. Two-dimensional radiation hydrodynamic simulations confirm our theory. It is shown that targets with high-Z dopant in the outer ablator exhibit more severe feedout seeds, because of their higher ionization compared with undoped targets. The X-ray pre-ablation in high-Z doped targets significantly suppresses subsequent growth, leading to suppression of short-wavelength perturbations. However, for long-wavelength perturbations, this suppression is weakened, resulting in increased instability in high-Z doped targets. The results are helpful for understanding the inner-interface-initiated instability and the influence of high-Z dopant on it, providing valuable insights for target design and instability control in ICF.
  • The authors have no conflicts to disclose.
    Conflict of Interest
    Author Contributions
    W. Xiong: Conceptualization (equal); Formal analysis (lead); Investigation (lead); Writing – original draft (lead). X. H. Yang: Formal analysis (equal); Funding acquisition (lead); Resources (lead); Software (equal); Writing – review & editing (equal). Z. H. Chen: Investigation (equal); Software (equal). B. H. Xu: Formal analysis (supporting); Investigation (supporting); Visualization (equal). Z. Li: Methodology (equal); Writing – review & editing (equal). B. Zeng: Software (equal); Writing – review & editing (equal). Y. L. Dong: Data curation (equal); Writing – review & editing (equal). G. B. Zhang: Funding acquisition (supporting); Supervision (equal); Writing – review & editing (equal). Y. Y. Ma: Formal analysis (supporting); Funding acquisition (equal); Project administration (supporting); Supervision (supporting).
    The data that support the findings of this work are available from the corresponding author upon reasonable request.
  • loading
  • [1]
    L. Ceurvorst, R. Betti, V. Gopalaswamy, A. Lees, J. P. Knauer et al., “Progress toward hydro-equivalent ignition in OMEGA direct-drive DT-layered implosions,” Phys. Plasmas 32, 032711 (2025).10.1063/5.0238716
    [2]
    V. Gopalaswamy, C. A. Williams, R. Betti, D. Patel, J. P. Knauer et al., “Demonstration of a hydrodynamically equivalent burning plasma in direct-drive inertial confinement fusion,” Nat. Phys. 20, 751 (2024).10.1038/s41567-023-02361-4
    [3]
    C. A. Williams, R. Betti, V. Gopalaswamy, J. P. Knauer, C. J. Forrest et al., “Demonstration of hot-spot fuel gain exceeding unity in direct-drive inertial confinement fusion implosions,” Nat. Phys. 20, 758 (2024).10.1038/s41567-023-02363-2
    [4]
    M. Martin, C. Gauvin, A. Choux, P. Baclet, and G. Pascal, “The cryogenic target for ignition on the LMJ: Useful tools to achieve nominal temperature and roughness conditions of the DT solid layer,” Fusion Sci. Technol. 49, 600 (2006).10.13182/fst49-600
    [5]
    B. J. Kozioziemski, E. R. Mapoles, J. D. Sater, A. A. Chernov, J. Moody et al., “Deuterium-tritium fuel layer formation for the National Ignition Facility,” Fusion Sci. Technol. 59, 14 (2011).10.13182/fst10-3697.
    [6]
    Z. Li, Z. Q. Zhao, X. H. Yang, G. B. Zhang, Y. Y. Ma et al., “Hybrid optimization of laser-driven fusion targets and laser profiles,” Plasma Phys. Control. Fusion 66, 015010 (2024).10.1088/1361-6587/ad0e21
    [7]
    Y. Cui, X. H. Yang, Y. Y. Ma, G. B. Zhang, B. H. Xu et al., “The importance of Righi–Leduc heat flux to the ablative Rayleigh–Taylor instability during a laser irradiating targets,” High Power Laser Sci. Eng. 12, e24 (2024).10.1017/hpl.2024.3
    [8]
    J. K. Hoffer and L. R. Foreman, “Radioactively induced sublimation in solid tritium,” Phys. Rev. Lett. 60, 1310 (1988).10.1103/physrevlett.60.1310
    [9]
    D. R. Harding and W. T. Shmayda, “Stress-and radiation-induced swelling in plastic capsules,” Fusion Sci. Technol. 63, 125 (2013).10.13182/fst13-a16329
    [10]
    W. T. Shmayda, D. R. Harding, V. A. Versteeg, C. Kingsley, M. Hallgren et al., “Micron-scaled defects on cryogenic targets: An assessment of condensate sources,” Fusion Sci. Technol. 63, 87 (2013).10.13182/fst13-a16325
    [11]
    R. S. Craxton, K. S. Anderson, T. R. Boehly, V. N. Goncharov, D. R. Harding et al., “Direct-drive inertial confinement fusion: A review,” Phys. Plasmas 22, 110501 (2015).10.1063/1.4934714
    [12]
    Y. Y. Lei, F. Y. Wu, R. Ramis, and J. Zhang, “Comparison of the evolution of Rayleigh–Taylor instability during the coasting phase of the central ignition and the double-cone ignition schemes,” Phys. Plasmas 31, 012108 (2024).10.1063/5.0171022
    [13]
    L. F. Wang, W. H. Ye, X. T. He, W. Y. Zhang, Z. M. Sheng et al., “Formation of jet-like spikes from the ablative Rayleigh–Taylor instability,” Phys. Plasmas 19, 100701 (2012).10.1063/1.4759161
    [14]
    M. J. Schmitt, P. A. Bradley, J. A. Cobble, J. R. Fincke, P. Hakel et al., “Development of a polar direct-drive platform for studying inertial confinement fusion implosion mix on the National Ignition Facility,” Phys. Plasmas 20, 056310 (2013).10.1063/1.4803886
    [15]
    M. J. Schmitt, P. A. Bradley, J. A. Cobble, S. C. Hsu, N. S. Krasheninnikova et al., “Defect-induced mix experiment for NIF,” EPJ Web Conf. 59, 04005 (2013).10.1051/epjconf/20135904005
    [16]
    I. V. Igumenshchev, V. N. Goncharov, W. T. Shmayda, D. R. Harding, T. C. Sangster et al., “Effects of local defect growth in direct-drive cryogenic implosions on OMEGA,” Phys. Plasmas 20, 082703 (2013).10.1063/1.4818280
    [17]
    B. M. Haines, R. E. Olson, W. Sweet, S. A. Yi, A. B. Zylstra et al., “Robustness to hydrodynamic instabilities in indirectly driven layered capsule implosions,” Phys. Plasmas 26, 012707 (2019).10.1063/1.5080262
    [18]
    B. M. Haines, J. P. Sauppe, B. J. Albright, W. S. Daughton, S. M. Finnegan et al., “A mechanism for reduced compression in indirectly driven layered capsule implosions,” Phys. Plasmas 29, 042704 (2022).10.1063/5.0083299
    [19]
    P. A. Bradley, J. A. Cobble, I. L. Tregillis, M. J. Schmitt, K. D. Obrey et al., “Role of shocks and mix caused by capsule defects,” Phys. Plasmas 19, 092703 (2012).10.1063/1.4752014
    [20]
    Y. X. Liu, Z. Chen, L. F. Wang, Z. Y. Li, J. F. Wu et al., “Dynamic of shock–bubble interactions and nonlinear evolution of ablative hydrodynamic instabilities initialed by capsule interior isolated defects,” Phys. Plasmas 30, 042302 (2023).10.1063/5.0137856
    [21]
    D. R. Harding, D. D. Meyerhofer, S. J. Loucks, L. D. Lund, R. Janezic et al., “Forming cryogenic targets for direct-drive experiments,” Phys. Plasmas 13, 056316 (2006).10.1063/1.2192468
    [22]
    A. L. Velikovich, A. J. Schmitt, C. Zulick, Y. Aglitskiy, M. Karasik et al., “Multi-mode hydrodynamic evolution of perturbations seeded by isolated surface defects,” Phys. Plasmas 27, 102706 (2020).10.1063/5.0020367
    [23]
    O. A. Hurricane, P. K. Patel, R. Betti, D. H. Froula, S. P. Regan et al., “Physics principles of inertial confinement fusion and U.S. program overview,” Rev. Mod. Phys. 95, 025005 (2023).10.1103/RevModPhys.95.025005.
    [24]
    R. Betti, V. Lobatchev, and R. L. McCrory, “Feedout and Rayleigh–Taylor seeding induced by long wavelength perturbations in accelerated planar foils,” Phys. Rev. Lett. 81, 5560 (1998).10.1103/physrevlett.81.5560
    [25]
    A. L. Velikovich, A. J. Schmitt, J. H. Gardner, and N. Metzler, “Feedout and Richtmyer–Meshkov instability at large density difference,” Phys. Plasmas 8, 592 (2001).10.1063/1.1335829
    [26]
    A. Velikovich and L. Phillips, “Instability of a plane centered rarefaction wave,” Phys. Fluids 8, 1107 (1996).10.1063/1.868889
    [27]
    A. L. Velikovich, S. T. Zalesak, N. Metzler, and J. G. Wouchuk, “Instability of a planar expansion wave,” Phys. Rev. E 72, 046306 (2005).10.1103/physreve.72.046306
    [28]
    Y. Aglitskiy, M. Karasik, A. L. Velikovich, V. Serlin, J. L. Weaver et al., “Observed transition from Richtmyer–Meshkov jet formation through feedout oscillations to Rayleigh–Taylor instability in a laser target,” Phys. Plasmas 19, 102707 (2012).10.1063/1.4764287
    [29]
    K. Shigemori, M. Nakai, H. Azechi, K. Nishihara, R. Ishizaki et al., “Feed-out of rear surface perturbation due to rarefaction wave in laser-irradiated targets,” Phys. Rev. Lett. 84, 5331 (2000).10.1103/physrevlett.84.5331
    [30]
    J. Grun, M. H. Emery, S. Kacenjar, C. B. Opal, E. A. McLean et al., “Observation of the Rayleigh-Taylor instability in ablatively accelerated foils,” Phys. Rev. Lett. 53, 1352 (1984).10.1103/physrevlett.53.1352
    [31]
    Y. Aglitskiy, A. L. Velikovich, M. Karasik, V. Serlin, C. J. Pawley et al., “Direct observation of feedout-related mass oscillations in plastic targets,” Phys. Rev. Lett. 87, 265002 (2001).10.1103/physrevlett.87.265002
    [32]
    Y. Aglitskiy, A. L. Velikovich, M. Karasik, N. Metzler, S. T. Zalesak et al., “Basic hydrodynamics of Richtmyer–Meshkov-type growth and oscillations in the inertial confinement fusion-relevant conditions,” Philos. Trans. R. Soc., A 368, 1739 (2010).10.1098/rsta.2009.0131
    [33]
    K. O. Mikaelian, “Growth rate of the Richtmyer–Meshkov instability at shocked interfaces,” Phys. Rev. Lett. 71, 2903 (1993).10.1103/physrevlett.71.2903
    [34]
    S. C. Miller and V. N. Goncharov, “Instability seeding mechanisms due to internal defects in inertial confinement fusion targets,” Phys. Plasmas 29, 082701 (2022).10.1063/5.0091949
    [35]
    S. Fujioka, A. Sunahara, K. Nishihara, N. Ohnishi, T. Johzaki et al., “Suppression of the Rayleigh–Taylor instability due to self-radiation in a multiablation target,” Phys. Rev. Lett. 92, 195001 (2004).10.1103/physrevlett.92.195001
    [36]
    S. Fujioka, A. Sunahara, N. Ohnishi, Y. Tamari, K. Nishihara et al., “Suppression of Rayleigh–Taylor instability due to radiative ablation in brominated plastic targets,” Phys. Plasmas 11, 2814 (2004).10.1063/1.1705654
    [37]
    Y. Y. Teng, W. L. Feng, T. S. Yong, W. J. Feng, C. Z. Rong et al., “Experimental investigation on the influence of the dopant ratio on ablative Rayleigh-Taylor instability growth,” Acta Phys. Sin. 63, 235203 (2024).10.7498/aps.63.235203
    [38]
    B. Xu, Y. Ma, X. Yang, W. Tang, Z. Ge et al., “Effect of bromine-dopant on radiation-driven Rayleigh–Taylor instability in plastic foil,” Plasma Phys. Control. Fusion 59, 105012 (2017).10.1088/1361-6587/aa80b6
    [39]
    B. Xu, Y. Ma, X. Yang, W. Tang, S. Wang et al., “Effect of high-Z dopant on the laser-driven ablative Richtmyer–Meshkov instability,” Laser Part. Beams 35, 366 (2017).10.1017/s0263034617000301
    [40]
    Y. Dai, H. Gu, K. Fang, Y. Zhang, C. Zhang et al., “Diagnosing the fast-heating process of the double-cone ignition scheme with x-ray spectroscopy,” High Power Laser Sci. Eng. 12, e50 (2024).10.1017/hpl.2024.32
    [41]
    H. Xu, X. H. Yang, J. Liu, and M. Borghesi, “Control of fast electron propagation in foam target by high-Z doping,” Plasma Phys. Control. Fusion 61, 025010 (2019).10.1088/1361-6587/aaefce
    [42]
    X. H. Yang, Z. H. Chen, H. Xu, Y. Y. Ma, G. B. Zhang et al., “Hybrid PIC—fluid Simulations for fast electron transport in a silicon target,” Matter Radiat. Extremes 8, 035901 (2023).10.1063/5.0137973
    [43]
    W. Q. Wang, J. J. Honrubia, Y. Yin, X. H. Yang, and F. Q. Shao, “Resistive field generation in intense proton beam interaction with solid targets,” Matter Radiat. Extremes 9, 015603 (2024).10.1063/5.0172035
    [44]
    G. Fiksel, S. X. Hu, V. A. Goncharov, D. D. Meyerhofer, T. C. Sangster et al., “Experimental reduction of laser imprinting and Rayleigh–Taylor growth in spherically compressed, medium-Z-doped plastic targets,” Phys. Plasmas 19, 062704 (2012).10.1063/1.4729732
    [45]
    C. Yañez, J. Sanz, M. Olazabal-Loumé, and L. F. Ibañez, “Modeling hydrodynamic instabilities of double ablation fronts in inertial confinement fusion,” EPJ Web Conf. 59, 04008 (2013).10.1051/epjconf/20135904008
    [46]
    C. Yañez, J. Sanz, and M. Olazabal-Loumé, “Self-consistent numerical dispersion relation of the ablative Rayleigh–Taylor instability of double ablation fronts in inertial confinement fusion,” Phys. Plasmas 19, 062705 (2012).10.1063/1.4729725
    [47]
    C. Yañez, J. Sanz, M. Olazabal-Loumé, and L. F. Ibañez, “Linear stability analysis of double ablation fronts in direct-drive inertial confinement fusion,” Phys. Plasmas 18, 052701 (2011).10.1063/1.3575595
    [48]
    W. Xiong, X. Yang, G. Zhang, Z. Chen, Y. Cui et al., “The effect of high-Z dopant on the ablation of carbon–hydrogen polymer target,” Plasma Phys. Control. Fusion 66, 095002 (2024).10.1088/1361-6587/ad6264
    [49]
    Y. B. Zel’dovich, Y. P. Raizer, W. D. Hayes, and D. Probstein, Physics of Shock Waves and High-Temperature Hydrodynamic Phenomena (Academic Press, New York and London, 1966).
    [50]
    V. N. Goncharov, “Theory of the ablative Richtmyer–Meshkov instability,” Phys. Rev. Lett. 82, 2091 (1999).10.1103/physrevlett.82.2091
    [51]
    V. N. Goncharov, O. V. Gotchev, E. Vianello, T. R. Boehly, J. P. Knauer et al., “Early stage of implosion in inertial confinement fusion: Shock timing and perturbation evolution,” Phys. Plasmas 13, 012702 (2006).10.1063/1.2162803
    [52]
    S. W. Wang and X. H. Yang, Inertial Confinement Fusion Theory and Numerical Calculation (Science Press, Beijing, 2024), p. 125 (in Chinese).
    [53]
    T. Tao, G. Zheng, Q. Jia, R. Yan, and J. Zheng, “Laser pulse shape designer for direct-drive inertial confinement fusion implosions,” High Power Laser Sci. Eng. 11, e41 (2023).10.1017/hpl.2023.35
    [54]
    S. Atzeni and J. Meyer-ter-Vehn, The Physics of Inertial Fusion: Beam Plasma Interaction, Hydrodynamics, Hot Dense Matter (Oxford University Press, New York, 2004), p. 289.
    [55]
    M. Tabak, D. H. Munro, and J. D. Lindl, “Hydrodynamic stability and the direct drive approach to laser fusion,” Phys. Fluid. Plasma Phys. 2, 1007 (1990).10.1063/1.859274
    [56]
    V. N. Goncharov, R. Betti, R. L. McCrory, P. Sorotokin, and C. P. Verdon, “Self-consistent stability analysis of ablation fronts with large Froude numbers,” Phys. Plasmas 3, 1402 (1996).10.1063/1.871730
    [57]
    V. N. Goncharov, R. Betti, R. L. McCrory, and C. P. Verdon, “Self-consistent stability analysis of ablation fronts with small Froude numbers,” Phys. Plasmas 3, 4665 (1996).10.1063/1.872078
    [58]
    Z. H. Chen, X. H. Yang, G. B. Zhang, Y. Y. Ma, R. Yan et al., “Role of nonlocal heat transport on the laser ablative Rayleigh–Taylor instability,” Nucl. Fusion 64, 126029 (2024).10.1088/1741-4326/ad7f6d
    [59]
    L. Wang, W. Ye, X. He, J. Wu, Z. Fan et al., “Theoretical and simulation research of hydrodynamic instabilities in inertial-confinement fusion implosions,” Sci. China Phys., Mech. Astron. 60, 055201 (2017).10.1007/s11433-017-9016-x
    [60]
    Flash Center for Computational Science, FLASH User’s Guide (University of Rochester, 2023).
    [61]
    Z. Chen, Y. T. Yuan, L. F. Wang, S. Y. Tu, W. Y. Miao et al., “Early-time harmonic generation from a single-mode perturbation driven by x-ray ablation,” Phys. Rev. Lett. 133, 135101 (2024).10.1103/physrevlett.133.135101
    [62]
    W. M. Manheimer, D. G. Colombant, and J. H. Gardner, “Steady-state planar ablative flow,” Phys. Fluids 25, 1644 (1982).10.1063/1.863956
    [63]
    D. Book, NRL Plasma Formulary (NRL Plasma Physics Division, Washington DC, 2018).
    [64]
    B. Xu, X. Yang, Z. Li, B. Zeng, Z. Chen et al., “Effects of x-ray pre-ablation on the implosion process for double-cone ignition,” High Power Laser Sci. Eng. 13, e24 (2025).10.1017/hpl.2025.11
  • 加载中

Catalog

    通讯作者: 陈斌, bchen63@163.com
    • 1. 

      沈阳化工大学材料科学与工程学院 沈阳 110142

    1. 本站搜索
    2. 百度学术搜索
    3. 万方数据库搜索
    4. CNKI搜索

    Figures(8)  / Tables(4)

    Article Metrics

    Article views (3602) PDF downloads(1) Cited by()
    Proportional views
    Related

    /

    DownLoad:  Full-Size Img  PowerPoint
    Return
    Return