Follow us on Wechat

用微信扫码二维码

分享至好友和朋友圈

Volume 10 Issue 6
Nov.  2025
Turn off MathJax
Article Contents
Cai Jie, Shou Yinren, Gong Zheng, Wen Han, Han Liqi, Yu Jinqing, Yan Xueqing. Dynamic spin-polarization control of terahertz waves in magnetized plasmas[J]. Matter and Radiation at Extremes, 2025, 10(6): 067201. doi: 10.1063/5.0279501
Citation: Cai Jie, Shou Yinren, Gong Zheng, Wen Han, Han Liqi, Yu Jinqing, Yan Xueqing. Dynamic spin-polarization control of terahertz waves in magnetized plasmas[J]. Matter and Radiation at Extremes, 2025, 10(6): 067201. doi: 10.1063/5.0279501

Dynamic spin-polarization control of terahertz waves in magnetized plasmas

doi: 10.1063/5.0279501
More Information
  • Author Bio:

    Electronic mail: jinqing.yu@hnu.edu.cn

  • Corresponding author: b)Author to whom correspondence should be addressed: x.yan@pku.edu.cn
  • Received Date: 2025-05-07
  • Accepted Date: 2025-09-15
  • Available Online: 2025-11-01
  • Publish Date: 2025-11-01
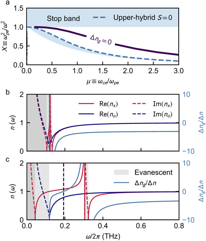
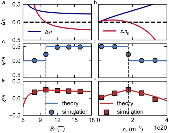
  • Controlling terahertz (THz) polarization with high stability and tunability is essential for achieving further progress in ultrafast spectroscopy, structured-light manipulation, and quantum information processing. Here, we propose a magnetized plasma platform for dynamic THz polarization control by exploiting the intrinsic birefringence between extraordinary and ordinary modes. We identify a strong-magnetization, zero-group-velocity-mismatch regime where the two modes share matched group velocities while retaining finite phase birefringence, enabling robust, phase-stable spin angular momentum control. By tuning the plasma length and magnetic field, we realize programmable phase retardation and demonstrate universal single-qubit gates through parameterized unitary operations. Full-wave particle-in-cell simulations validate high-fidelity polarization transformations across the Poincaré sphere and demonstrate the potential for generating structured vector beams under spatially varying magnetic fields. The platform offers ultrafast response, resilience to extreme THz intensities, and in situ tunability, positioning magnetized plasmas as a versatile and damage-resilient medium for next-generation THz polarization control and structured-wave applications.
  • Conflict of Interest
    The authors have no conflicts to disclose.
    Jie Cai: Conceptualization (equal); Data curation (equal); Investigation (equal); Software (equal); Validation (equal); Visualization (equal); Writing – original draft (equal); Writing – review & editing (equal). Yinren Shou: Investigation (equal); Supervision (equal); Validation (equal); Writing – review & editing (equal). Zheng Gong: Funding acquisition (equal); Supervision (equal); Validation (equal); Writing – review & editing (equal). Han Wen: Validation (equal); Writing – review & editing (equal). Liqi Han: Writing – review & editing (equal). Jinqing Yu: Funding acquisition (equal); Supervision (equal); Validation (equal); Writing – review & editing (equal). Xueqing Yan: Funding acquisition (equal); Supervision (equal); Validation (equal); Writing – review & editing (equal).
    Author Contributions
    The data that support the findings of this work are available from the corresponding author upon resonable request.
  • loading
  • [1]
    F. Yue, V. Aglieri, R. Piccoli, R. Macaluso, A. Toma et al., “Highly sensitive polarization rotation measurement through a high-order vector beam generated by a metasurface,” Adv. Mater. Technol. 5, 1901008 (2020).10.1002/admt.201901008
    [2]
    L. Minkevičius, D. Jokubauskis, I. Kašalynas, S. Orlov, A. Urbas et al., “Bessel terahertz imaging with enhanced contrast realized by silicon multi-phase diffractive optics,” Opt. Express 27, 36358–36367 (2019).10.1364/oe.27.036358
    [3]
    J. Wätzel, J. Berakdar, and E. Y. Sherman, “Ultrafast entanglement switching and singlet–triplet transitions control via structured terahertz pulses,” New J. Phys. 24, 043016 (2022).10.1088/1367-2630/ac608a
    [4]
    J. Wätzel, E. Y. Sherman, and J. Berakdar, “Nanostructures in structured light: Photoinduced spin and orbital electron dynamics,” Phys. Rev. B 101, 235304 (2020).10.1103/physrevb.101.235304
    [5]
    J. Lamberg, F. Zarrinkhat, A. Tamminen, M. Baggio, J. Ala-Laurinaho et al., “Wavefront-modified vector beams for THz cornea spectroscopy,” Opt. Express 31, 40293–40307 (2023).10.1364/oe.494460
    [6]
    H. Fujita, Y. Tada, and M. Sato, “Accessing electromagnetic properties of matter with cylindrical vector beams,” New J. Phys. 21, 073010 (2019).10.1088/1367-2630/ab26d1
    [7]
    G. Milione, H. I. Sztul, D. A. Nolan, and R. R. Alfano, “Higher-order Poincaré sphere, stokes parameters, and the angular momentum of light,” Phys. Rev. Lett. 107, 053601 (2011).10.1103/physrevlett.107.053601
    [8]
    S. Gao, F. C. Speirits, F. Castellucci, S. Franke-Arnold, S. M. Barnett et al., “Paraxial Skyrmionic beams,” Phys. Rev. A 102, 053513 (2020).10.1103/physreva.102.053513
    [9]
    A. Forbes, M. de Oliveira, and M. R. Dennis, “Structured light,” Nat. Photonics 15, 253–262 (2021).10.1038/s41566-021-00780-4
    [10]
    J. Pettine, P. Padmanabhan, T. Shi, L. Gingras, L. McClintock et al., “Light-driven nanoscale vectorial currents,” Nature 626, 984–989 (2024).10.1038/s41586-024-07037-4
    [11]
    K. Jana, Y. Mi, S. H. Møller, D. H. Ko, S. Gholam-Mirzaei et al., “Quantum control of flying doughnut terahertz pulses,” Sci. Adv. 10, eadl1803 (2024).10.1126/sciadv.adl1803
    [12]
    S. Wang, W. Qin, T. Guan, J. Liu, Q. Cai et al., “Flexible generation of structured terahertz fields via programmable exchange-biased spintronic emitters,” eLight 4, 11 (2024).10.1186/s43593-024-00069-3
    [13]
    C. Liu, S. Wang, S. Zhang, Q. Cai, P. Wang et al., “Active spintronic-metasurface terahertz emitters with tunable chirality,” Adv. Photonics 3, 056002 (2021).10.1117/1.ap.3.5.056002
    [14]
    A. Zdagkas, C. McDonnell, J. Deng, Y. Shen, G. Li et al., “Observation of toroidal pulses of light,” Nat. Photonics 16, 523–528 (2022).10.1038/s41566-022-01028-5
    [15]
    C. Meng, W. Chen, X. Wang, Z. Lü, Y. Huang et al., “Enhancement of terahertz radiation by using circularly polarized two-color laser fields,” Appl. Phys. Lett. 109, 131105 (2016).10.1063/1.4963883
    [16]
    C. Tailliez, A. Stathopulos, S. Skupin, D. Buožius, I. Babushkin et al., “Terahertz pulse generation by two-color laser fields with circular polarization,” New J. Phys. 22, 103038 (2020).10.1088/1367-2630/abb863
    [17]
    H. Alirezaee, S. Skupin, V. Vaicaitis, A. Demircan, I. Babushkin et al., “Universal properties of locally generated terahertz waveforms from polarization-controlled two- and multicolor ionizing fields,” Phys. Rev. Res. 7, 033057 (2025).10.1103/dj4k-q4x2
    [18]
    P. Michel, L. Divol, D. Turnbull, and J. D. Moody, “Dynamic control of the polarization of intense laser beams via optical wave mixing in plasmas,” Phys. Rev. Lett. 113, 205001 (2014).10.1103/physrevlett.113.205001
    [19]
    D. Turnbull, P. Michel, T. Chapman, E. Tubman, B. B. Pollock et al., “High power dynamic polarization control using plasma photonics,” Phys. Rev. Lett. 116, 205001 (2016).10.1103/physrevlett.116.205001
    [20]
    D. Turnbull, C. Goyon, G. E. Kemp, B. B. Pollock, D. Mariscal et al., “Refractive index seen by a probe beam interacting with a laser-plasma system,” Phys. Rev. Lett. 118, 015001 (2017).10.1103/physrevlett.118.015001
    [21]
    H. Zhang, L. Wang, Y. Chen, Z. Zhang, and Z. Sheng, “Polarization and amplitude tuning of terahertz radiation from laser-induced air filaments,” Phys. Rev. A 111, 043516 (2025).10.1103/physreva.111.043516
    [22]
    S. Weng, Q. Zhao, Z. Sheng, W. Yu, S. Luan et al., “Extreme case of Faraday effect: Magnetic splitting of ultrashort laser pulses in plasmas,” Optica 4, 1086–1091 (2017).10.1364/optica.4.001086
    [23]
    M. Liu and X. Zhang, “Plasmon-boosted magneto-optics,” Nat. Photonics 7, 429–430 (2013).10.1038/nphoton.2013.134
    [24]
    Y. Gorodetski, A. Niv, V. Kleiner, and E. Hasman, “Observation of the spin-based plasmonic effect in nanoscale structures,” Phys. Rev. Lett. 101, 043903 (2008).10.1103/physrevlett.101.043903
    [25]
    T. H. Stix, Waves in Plasmas (Springer Science & Business Media, 1992).
    [26]
    [27]
    W.-M. Wang, P. Gibbon, Z.-M. Sheng, and Y.-T. Li, “Tunable circularly polarized terahertz radiation from magnetized gas plasma,” Phys. Rev. Lett. 114, 253901 (2015).10.1103/physrevlett.114.253901
    [28]
    K. F. F. Law, M. Bailly-Grandvaux, A. Morace, S. Sakata, K. Matsuo et al., “Direct measurement of kilo-tesla level magnetic field generated with laser-driven capacitor-coil target by proton deflectometry,” Appl. Phys. Lett. 108, 091104 (2016).10.1063/1.4943078
    [29]
    D. Nakamura, A. Ikeda, H. Sawabe, Y. H. Matsuda, and S. Takeyama, “Record indoor magnetic field of 1200 T generated by electromagnetic flux-compression,” Rev. Sci. Instrum. 89, 095106 (2018).10.1063/1.5044557
    [30]
    K. G. Budden, “The theory of radio windows in the ionosphere and magnetosphere—II,” J. Atmos. Terr. Phys. 48, 633–641 (1986).10.1016/0021-9169(86)90012-7
    [31]
    M. Born and E. Wolf, Principles of Optics: Electromagnetic Theory of Propagation, Interference and Diffraction of Light (Elsevier, 2013), pp. 1–836.
    [32]
    K. Schmid and L. Veisz, “Supersonic gas jets for laser-plasma experiments,” Rev. Sci. Instrum. 83, 053304 (2012).10.1063/1.4719915
    [33]
    B. Miao, J. E. Shrock, E. Rockafellow, A. J. Sloss, and H. M. Milchberg, “Meter-scale supersonic gas jets for multi-GeV laser-plasma accelerators,” Rev. Sci. Instrum. 96, 043003 (2025).10.1063/5.0248959
    [34]
    T. L. Audet, P. Lee, G. Maynard, S. D. Dufrénoy, A. Maitrallain et al., “Gas cell density characterization for laser wakefield acceleration,” Nucl. Instrum. Methods Phys. Res., Sect. A 909, 383–386 (2018).10.1016/j.nima.2018.01.053
    [35]
    D. G. Swanson, Plasma Waves (CRC Press, 2020), pp. 1–400.
    [36]
    E. V. Appleton, “Wireless studies of the ionosphere,” Inst. Electr. Eng.—Proc. Wireless Sect. Inst. 7, 257–265 (1932).10.1049/pws.1932.0027
    [37]
    N. Yugami, T. Higashiguchi, H. Gao, S. Sakai, K. Takahashi et al., “Experimental observation of radiation from Cherenkov wakes in a magnetized plasma,” Phys. Rev. Lett. 89, 065003 (2002).10.1103/physrevlett.89.065003
    [38]
    K. Ravi, D. N. Schimpf, and F. X. Kärtner, “Pulse sequences for efficient multi-cycle terahertz generation in periodically poled lithium niobate,” Opt. Express 24, 25582–25607 (2016).10.1364/oe.24.025582
    [39]
    B. Zhang, X. Wu, X. Wang, S. Li, J. Ma et al., “Efficient multicycle terahertz pulse generation based on the tilted pulse-front technique,” Opt. Lett. 47, 2678–2681 (2022).10.1364/ol.456498
  • 加载中

Catalog

    通讯作者: 陈斌, bchen63@163.com
    • 1. 

      沈阳化工大学材料科学与工程学院 沈阳 110142

    1. 本站搜索
    2. 百度学术搜索
    3. 万方数据库搜索
    4. CNKI搜索

    Figures(5)

    Article Metrics

    Article views (1829) PDF downloads(2) Cited by()
    Proportional views
    Related

    /

    DownLoad:  Full-Size Img  PowerPoint
    Return
    Return