Follow us on Wechat

用微信扫码二维码

分享至好友和朋友圈

Volume 10 Issue 5
Sep.  2025
Turn off MathJax
Article Contents
Corobean Bogdan, Horný Vojtech, Pukhov Alexander, d’Humières Emmanuel, Doria Domenico, Ur Călin Alexandru, Tomassini Paolo. Laser–plasma acceleration of quasi-monoenergetic carbon ion beams with the “peeler” scheme[J]. Matter and Radiation at Extremes, 2025, 10(5): 057204. doi: 10.1063/5.0273104
Citation: Corobean Bogdan, Horný Vojtech, Pukhov Alexander, d’Humières Emmanuel, Doria Domenico, Ur Călin Alexandru, Tomassini Paolo. Laser–plasma acceleration of quasi-monoenergetic carbon ion beams with the “peeler” scheme[J]. Matter and Radiation at Extremes, 2025, 10(5): 057204. doi: 10.1063/5.0273104

Laser–plasma acceleration of quasi-monoenergetic carbon ion beams with the “peeler” scheme

doi: 10.1063/5.0273104
More Information
  • Corresponding author: a)Author to whom correspondence should be addressed: bogdan.corobean@eli-np.ro
  • Received Date: 2025-03-28
  • Accepted Date: 2025-07-25
  • Available Online: 2025-11-28
  • Publish Date: 2025-09-01
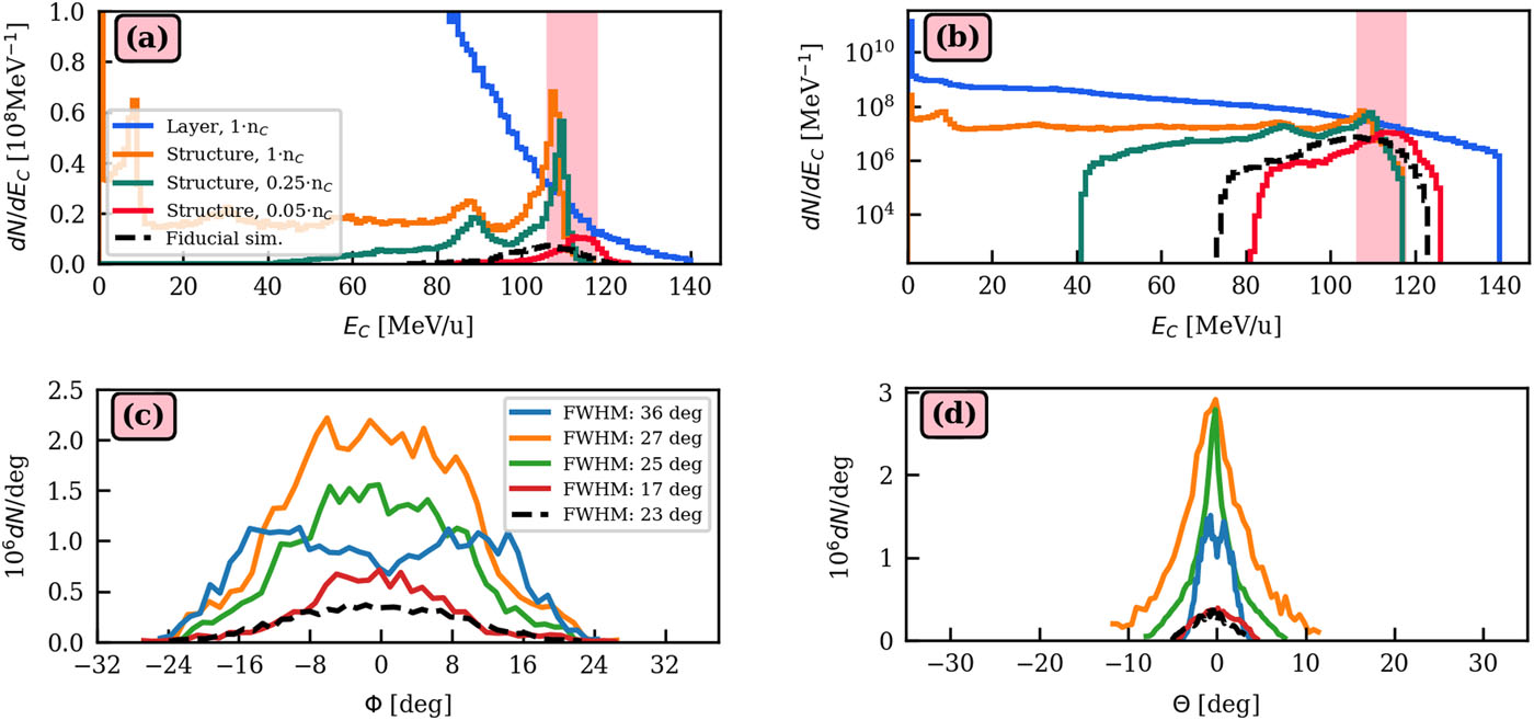
  • We introduce a scheme aiming at the generation of quasi-monochromatic carbon ion bunches from laser–solid interaction. The proposed scheme is an extension of the “peeler” acceleration originally proposed for proton acceleration, which involves irradiating the narrow (sub-micrometer) side of a tape target. This results in the generation of a surface plasma wave and the subsequent acceleration of a proton bunch with high peak energy, quasi-monochromaticity, low energy bandwidth, and low divergence by the electrostatic field induced at the target rear. Up to now, the higher-Z (e.g., carbon) ion bunches obtained with the peeler scheme have been found to exhibit an exponentially decaying thermal-like energy spectrum. To achieve a low energy bandwidth, we place a mass-limited carbon structure at the rear of the target. Using 3D particle-in-cell simulations, we show that a quasi-monochromatic carbon bunch can indeed be obtained. With a multi-PW laser pulse, 108 carbon ions with peak energy ∼110 MeV/u and with a divergence of 20° in the vertical plane and ∼1° in the horizontal plane can be generated. The quasi-monochromaticity, together with the low duration of the beam and in combination with the versatility of high-power laser facilities, should make this scheme attractive for practical applications such as heavy ion cancer therapy and higher-resolution diagnostics of extreme plasma states.
  • The authors have no conflicts to disclose.
    Conflict of Interest
    Author Contributions
    B. Corobean: Conceptualization (equal); Formal analysis (equal); Visualization (equal); Writing – original draft (equal); Writing – review & editing (equal). V. Horný: Conceptualization (equal); Resources (equal); Supervision (equal); Visualization (equal); Writing – review & editing (equal). A. Pukhov: Conceptualization (supporting); Writing – review & editing (supporting). E. d’Humiéres: Conceptualization (supporting); Writing – review & editing (supporting). D. Doria: Conceptualization (supporting); Funding acquisition (supporting). C. A. Ur: Conceptualization (supporting); Funding acquisition (lead). P. Tomassini: Conceptualization (equal); Funding acquisition (equal); Supervision (equal); Writing – review & editing (equal).
    Simulation data are stored on an internal server at ELI-NP for at least two years. The data are available from the corresponding author upon reasonable request.
  • loading
  • [1]
    M. Nishiuchi, H. Daido, A. Yogo, A. Sagisaka, K. Ogura et al., “Laser-driven proton sources and their applications: Femtosecond intense laser plasma driven simultaneous proton and x-ray imaging,” J. Phys.: Conf. Ser. 112, 042036 (2008).10.1088/1742-6596/112/4/042036
    [2]
    T. M. Ostermayr, C. Kreuzer, F. S. Englbrecht, J. Gebhard, J. Hartmann et al., “Laser-driven x-ray and proton micro-source and application to simultaneous single-shot bi-modal radiographic imaging,” Nat. Commun. 11, 6174 (2020).10.1038/s41467-020-19838-y
    [3]
    P. Patel, A. Mackinnon, M. Key, T. Cowan, M. Foord et al., “Isochoric heating of solid-density matter with an ultrafast proton beam,” Phys. Rev. Lett. 91, 125004 (2003).10.1103/physrevlett.91.125004
    [4]
    M. Roth, I. Alber, V. Bagnoud, C. R. D. Brown, R. Clarke et al., “Proton acceleration experiments and warm dense matter research using high power lasers,” Plasma Phys. Control. Fusion 51, 124039 (2009).10.1088/0741-3335/51/12/124039
    [5]
    R. Roycroft, P. A. Bradley, E. McCary, B. Bowers, H. Smith et al., “Experiments and simulations of isochorically heated warm dense carbon foam at the Texas petawatt laser,” Matter Radiat. Extremes 6, 014403 (2021).10.1063/5.0026595
    [6]
    J. J. Honrubia, J. C. Fernández, M. Temporal, B. M. Hegelich, and J. Meyer-ter Vehn, “Fast ignition by laser-driven carbon beams,” J. Phys.: Conf. Ser. 244, 022038 (2010).10.1088/1742-6596/244/2/022038
    [7]
    J. C. Fernández, J. J. Honrubia, B. J. Albright, K. A. Flippo, D. C. Gautier et al., “Progress and prospects of ion-driven fast ignition,” Nucl. Fusion 49, 065004 (2009).10.1088/0029-5515/49/6/065004
    [8]
    J. C. Fernández, B. J. Albright, F. N. Beg, M. E. Foord, B. M. Hegelich et al., “Fast ignition with laser-driven proton and ion beams,” Nucl. Fusion 54, 054006 (2014).10.1088/0029-5515/54/5/054006
    [9]
    J. Badziak and J. Domański, “Laser-driven acceleration of ion beams for ion fast ignition: The effect of the laser wavelength on the ion beam properties,” Plasma Phys. Control. Fusion 63, 055005 (2021).10.1088/1361-6587/abe958
    [10]
    D. Habs, P. G. Thirolf, M. Gross, K. Allinger, J. Bin et al., “Introducing the fission–fusion reaction process: Using a laser-accelerated Th beam to produce neutron-rich nuclei towards the N = 126 waiting point of the r-process,” Appl. Phys. B 103, 471–484 (2011).10.1007/s00340-010-4261-x
    [11]
    S. V. Bulanov, T. Z. Esirkepov, V. S. Khoroshkov, A. V. Kuznetsov, and F. Pegoraro, “Oncological hadrontherapy with laser ion accelerators,” Phys. Lett. 299, 240–247 (2002).10.1016/s0375-9601(02)00521-2
    [12]
    G. Milluzzo, H. Ahmed, L. Romagnani, D. Doria, P. Chaudhary et al., “Dosimetry of laser-accelerated carbon ions for cell irradiation at ultra-high dose rate,” J. Phys.: Conf. Ser. 1596, 012038 (2020).10.1088/1742-6596/1596/1/012038
    [13]
    A. Schüller, S. Heinrich, C. Fouillade, A. Subiel, L. De Marzi et al., “The European joint research project UHD pulse—Metrology for advanced radiotherapy using particle beams with ultra-high pulse dose rates,” Physica Medica 80, 134–150 (2020).10.1016/j.ejmp.2020.09.020
    [14]
    A. Mancic, J. Robiche, P. Antici, P. Audebert, C. Blancard et al., “Isochoric heating of solids by laser-accelerated protons: Experimental characterization and self-consistent hydrodynamic modeling,” High Energy Density Phys. 6, 21–28 (2010).10.1016/j.hedp.2009.06.008
    [15]
    T. Esirkepov, M. Borghesi, S. V. Bulanov, G. Mourou, and T. Tajima, “Highly efficient relativistic-ion generation in the laser-piston regime,” Phys. Rev. Lett. 92, 175003 (2004).10.1103/physrevlett.92.175003
    [16]
    A. Macchi and C. Benedetti, “Ion acceleration by radiation pressure in thin and thick targets,” Nucl. Instrum. Methods Phys. Res., Sect. A 620, 41–45 (2010).10.1016/j.nima.2010.01.057
    [17]
    B. Qiao, M. Zepf, P. Gibbon, M. Borghesi, B. Dromey et al., “Conditions for efficient and stable ion acceleration by moderate circularly polarized laser pulses at intensities of 1020 W/cm2,” Phys. Plasmas 18, 043102 (2011).10.1063/1.3577573
    [18]
    S. S. Bulanov, E. Esarey, C. B. Schroeder, S. V. Bulanov, T. Z. Esirkepov et al., “Radiation pressure acceleration: The factors limiting maximum attainable ion energy,” Phys. Plasmas 23, 056703 (2016).10.1063/1.4946025
    [19]
    C. Scullion, D. Doria, L. Romagnani, A. Sgattoni, K. Naughton et al., “Polarization dependence of bulk ion acceleration from ultrathin foils irradiated by high-intensity ultrashort laser pulses,” Phys. Rev. Lett. 119, 054801 (2017).10.1103/physrevlett.119.054801
    [20]
    X. Shen, A. Pukhov, and B. Qiao, “Monoenergetic high-energy ion source via femtosecond laser interacting with a microtape,” Phys. Rev. X 11, 041002 (2021).10.1103/physrevx.11.041002
    [21]
    A. Macchi, “Surface plasmons in superintense laser-solid interactions,” Phys. Plasmas 25, 031906 (2018).10.1063/1.5013321
    [22]
    S. A. Gaillard, T. Kluge, K. A. Flippo, M. Bussmann, B. Gall et al., “Increased laser-accelerated proton energies via direct laser-light-pressure acceleration of electrons in microcone targets,” Phys. Plasmas 18, 056710 (2011).10.1063/1.3575624
    [23]
    F. Wang, B. Shen, X. Zhang, Z. Jin, M. Wen et al., “High-energy monoenergetic proton bunch from laser interaction with a complex target,” Phys. Plasmas 16, 093112 (2009).10.1063/1.3227809
    [24]
    J. Sarma, A. McIlvenny, N. Das, M. Borghesi, and A. Macchi, “Surface plasmon-driven electron and proton acceleration without grating coupling,” New J. Phys. 24, 073023 (2022).10.1088/1367-2630/ac7d6e
    [25]
    B. M. Hegelich, B. J. Albright, J. Cobble, K. Flippo, S. Letzring et al., “Laser acceleration of quasi-monoenergetic MeV ion beams,” Nature 439, 441–444 (2006).10.1038/nature04400
    [26]
    H. Schwoerer, S. Pfotenhauer, O. Jäckel, K.-U. Amthor, B. Liesfeld et al., “Laser-plasma acceleration of quasi-monoenergetic protons from microstructured targets,” Nature 439, 445–448 (2006).10.1038/nature04492
    [27]
    K. A. Tanaka, K. M. Spohr, D. L. Balabanski, S. Balascuta, L. Capponi et al., “Current status and highlights of the ELI-NP research program,” Matter Radiat. Extremes 5, 024402 (2020).10.1063/1.5093535
    [28]
    J. W. Yoon, C. Jeon, J. Shin, S. K. Lee, H. W. Lee et al., “Achieving the laser intensity of 55 × 1022 W/cm2 with a wavefront-corrected multi-PW laser,” Opt. Express 27, 20412 (2019).10.1364/oe.27.020412
    [29]
    W. Yao, R. Lelièvre, I. Cohen, T. Waltenspiel, A. Allaoua, et al., “Characterization and performance of the Apollon main short-pulse laser beam following its commissioning at 2 PW level,” Phys. Plasmas 32, 043106 (2025), version Number: 1.10.1063/5.0252874
    [30]
    A. X. Li, C. Y. Qin, H. Zhang, S. Li, L. L. Fan et al., “Acceleration of 60 MeV proton beams in the commissioning experiment of SULF-10 PW laser,” High Power Laser Sci. Eng. 2022, e26.10.1017/hpl.2022.17
    [31]
    N. Jourdain, U. Chaulagain, M. Havlík, D. Kramer, D. Kumar et al., “The L4n laser beamline of the P3-installation: Towards high-repetition rate high-energy density physics at ELI-Beamlines,” Matter Radiat. Extremes 6, 015401 (2021).10.1063/5.0022120
    [32]
    J. Derouillat, A. Beck, F. Pérez, T. Vinci, M. Chiaramello et al., “Smilei: A collaborative, open-source, multi-purpose particle-in-cell code for plasma simulation,” Comput. Phys. Commun. 222, 351–373 (2018).10.1016/j.cpc.2017.09.024
    [33]
    P. S. Kleij, S. Marini, M. Caetano De Sousa, M. Grech, C. Riconda et al., “Photon emission and radiation reaction effects in surface plasma waves in ultra-high intensities,” Phys. Plasmas 31, 072111 (2024).10.1063/5.0209316
    [34]
    X. F. Shen, A. M. Pukhov, S. E. Perevalov, and A. A. Soloviev, “Electron acceleration in intense laser—Solid interactions at parallel incidence,” Quantum Electron. 51, 833–837 (2021).10.1070/qel17605
    [35]
    S. Marini, M. Grech, P. S. Kleij, M. Raynaud, and C. Riconda, “Electron acceleration by laser plasma wedge interaction,” Phys. Rev. Research 5, 013115 (2023).10.1103/physrevresearch.5.013115
    [36]
    D. R. Rusby, A. J. Kemp, S. C. Wilks, K. G. Miller, M. Sherlock et al., “Review and meta-analysis of electron temperatures from high-intensity laser–solid interactions,” Phys. Plasmas 31, 040503 (2024).10.1063/5.0197279
    [37]
    X. F. Shen, A. Pukhov, and B. Qiao, “Electron and ion acceleration from femtosecond laser-plasma peeler scheme,” Plasma Phys. Control. Fusion 65, 034005 (2023).10.1088/1361-6587/acb4e6
    [38]
    I. Utke, P. Hoffmann, and J. Melngailis, “Gas-assisted focused electron beam and ion beam processing and fabrication,” J. Vac. Sci. Technol., B: Microelectron. Nanometer Struct.-Process., Meas., Phenom. 26, 1197–1276 (2008).10.1116/1.2955728
    [39]
    A. Botman, J. J. L. Mulders, and C. W. Hagen, “Creating pure nanostructures from electron-beam-induced deposition using purification techniques: A technology perspective,” Nanotechnology 20, 372001 (2009).10.1088/0957-4484/20/37/372001
    [40]
    A. Zani, D. Dellasega, V. Russo, and M. Passoni, “Ultra-low density carbon foams produced by pulsed laser deposition,” Carbon 56, 358–365 (2013).10.1016/j.carbon.2013.01.029
    [41]
    J.-L. Liu, M. Chen, J. Zheng, Z.-M. Sheng, and C.-S. Liu, “Three dimensional effects on proton acceleration by intense laser solid target interaction,” Phys. Plasmas 20, 063107 (2013).10.1063/1.4812458
    [42]
    D. J. Stark, L. Yin, B. J. Albright, and F. Guo, “Effects of dimensionality on kinetic simulations of laser-ion acceleration in the transparency regime,” Phys. Plasmas 24, 053103 (2017).10.1063/1.4982741
    [43]
    S. Sinigardi, J. Babaei, and G. Turchetti, “TNSA proton maximum energy laws for 2D and 3D PIC simulations,” Nucl. Instrum. Methods Phys. Res., Sect. A 909, 438–440 (2018).10.1016/j.nima.2018.01.057
    [44]
    S. Betti, A. Giulietti, D. Giulietti, L. A. Gizzi, M. Vaselli et al., “Towards laser-driven, quasi-monochromatic ion bunches via ultrathin targets nano-structuring?”,” AIP Conf. Proc. 1209, 15–18 (2010).10.1063/1.3326308
    [45]
    M. Durante and J. Flanz, “Charged particle beams to cure cancer: Strengths and challenges,” Semin. Oncol. 46, 219–225 (2019).10.1053/j.seminoncol.2019.07.007
    [46]
    P. Chaudhary, G. Milluzzo, H. Ahmed, B. Odlozilik, A. McMurray et al., “Radiobiology experiments with ultra-high dose rate laser-driven protons: Methodology and state-of-the-art,” Front. Phys. 9, 624963 (2021).10.3389/fphy.2021.624963
    [47]
    T. Ohno, “Particle radiotherapy with carbon ion beams,” EPMA J. 4, 9 (2013).10.1186/1878-5085-4-9
    [48]
    H. Tsujii, “Overview of carbon-ion radiotherapy,” J. Phys.: Conf. Ser. 777, 012032 (2017).10.1088/1742-6596/777/1/012032
    [49]
    W. Tinganelli and M. Durante, “Carbon ion radiobiology,” Cancers 12, 3022 (2020).10.3390/cancers12103022
    [50]
    M. Durante, J. Debus, and J. S. Loeffler, “Physics and biomedical challenges of cancer therapy with accelerated heavy ions,” Nat. Rev. Phys. 3, 777–790 (2021).10.1038/s42254-021-00368-5
    [51]
    O. Jäkel, A. R. Smith, and C. G. Orton, “The more important heavy charged particle radiotherapy of the future is more likely to be with heavy ions rather than protons,” Med. Phys. 40, 090601 (2013).10.1118/1.4798945
    [52]
    A. Doherty, S. Fourmaux, A. Astolfo, R. Ziesche, J. Wood et al., “Femtosecond multimodal imaging with a laser-driven x-ray source,” Commun. Phys. 6, 288 (2023).10.1038/s42005-023-01412-9
    [53]
    N. Matuszak, W. M. Suchorska, P. Milecki, M. Kruszyna-Mochalska, A. Misiarz et al., “FLASH radiotherapy: An emerging approach in radiation therapy,” Rep. Pract. Oncol. Radiother. 27, 343–351 (2022).10.5603/rpor.a2022.0038
    [54]
    M.-C. Vozenin, J. Bourhis, and M. Durante, “Towards clinical translation of FLASH radiotherapy,” Nat. Rev. Clin. Oncol. 19, 791–803 (2022).10.1038/s41571-022-00697-z
    [55]
    R. Tang, J. Yin, Y. Liu, and J. Xue, “FLASH radiotherapy: A new milestone in the field of cancer radiotherapy,” Cancer Lett. 587, 216651 (2024).10.1016/j.canlet.2024.216651
    [56]
    P. Chaudhary, G. Milluzzo, A. McIlvenny, H. Ahmed, A. McMurray et al., “Cellular irradiations with laser-driven carbon ions at ultra-high dose rates,” Phys. Med. Biol. 68, 025015 (2023).10.1088/1361-6560/aca387
    [57]
    E. Orlandi, A. Barcellini, B. Vischioni, M. R. Fiore, V. Vitolo et al., “The role of carbon ion therapy in the changing oncology landscape—A narrative review of the literature and the decade of carbon ion experience at the Italian national center for oncological hadrontherapy,” Cancers 15, 5068 (2023).10.3390/cancers15205068
    [58]
    M. Koto, H. Ikawa, T. Inaniwa, R. Imai, M. Shinoto et al., “Dose-averaged LET optimized carbon-ion radiotherapy for head and neck cancers,” Radiother. Oncol. 194, 110180 (2024).10.1016/j.radonc.2024.110180
    [59]
    S. N. Chen, S. Atzeni, T. Gangolf, M. Gauthier, D. P. Higginson et al., “Experimental evidence for the enhanced and reduced stopping regimes for protons propagating through hot plasmas,” Sci. Rep. 8, 14586 (2018).10.1038/s41598-018-32726-2
    [60]
    S. Malko, W. Cayzac, V. Ospina-Bohórquez, K. Bhutwala, M. Bailly-Grandvaux et al., “Proton stopping measurements at low velocity in warm dense carbon,” Nat. Commun. 13, 2893 (2022).10.1038/s41467-022-30472-8
    [61]
    D. B. Schaeffer, A. F. Bott, M. Borghesi, K. A. Flippo, W. Fox et al., “Proton imaging of high-energy-density laboratory plasmas,” Rev. Mod. Phys. 95, 045007 (2023).10.1103/revmodphys.95.045007
  • 加载中

Catalog

    通讯作者: 陈斌, bchen63@163.com
    • 1. 

      沈阳化工大学材料科学与工程学院 沈阳 110142

    1. 本站搜索
    2. 百度学术搜索
    3. 万方数据库搜索
    4. CNKI搜索

    Figures(9)

    Article Metrics

    Article views (3078) PDF downloads(0) Cited by()
    Proportional views
    Related

    /

    DownLoad:  Full-Size Img  PowerPoint
    Return
    Return