Follow us on Wechat

用微信扫码二维码

分享至好友和朋友圈

Volume 10 Issue 5
Sep.  2025
Turn off MathJax
Article Contents
Yan Zheng, Chen Zhu, Li Jiwei, Wang Lifeng, Li Zhiyuan, Zhang Chao, Ge Fengjun, Wu Junfeng, Zhang Weiyan. Hydrodynamic instability growth of the fuel–ablator interface induced by rippled rarefaction waves in inertial confinement fusion implosion experiments[J]. Matter and Radiation at Extremes, 2025, 10(5): 057602. doi: 10.1063/5.0272289
Citation: Yan Zheng, Chen Zhu, Li Jiwei, Wang Lifeng, Li Zhiyuan, Zhang Chao, Ge Fengjun, Wu Junfeng, Zhang Weiyan. Hydrodynamic instability growth of the fuel–ablator interface induced by rippled rarefaction waves in inertial confinement fusion implosion experiments[J]. Matter and Radiation at Extremes, 2025, 10(5): 057602. doi: 10.1063/5.0272289

Hydrodynamic instability growth of the fuel–ablator interface induced by rippled rarefaction waves in inertial confinement fusion implosion experiments

doi: 10.1063/5.0272289
More Information
  • Corresponding author: a)Authors to whom correspondence should be addressed: li_jiwei@iapcm.ac.cn and wang_lifeng@iapcm.ac.cn
  • Received Date: 2025-03-23
  • Accepted Date: 2025-07-18
  • Available Online: 2025-11-28
  • Publish Date: 2025-09-01
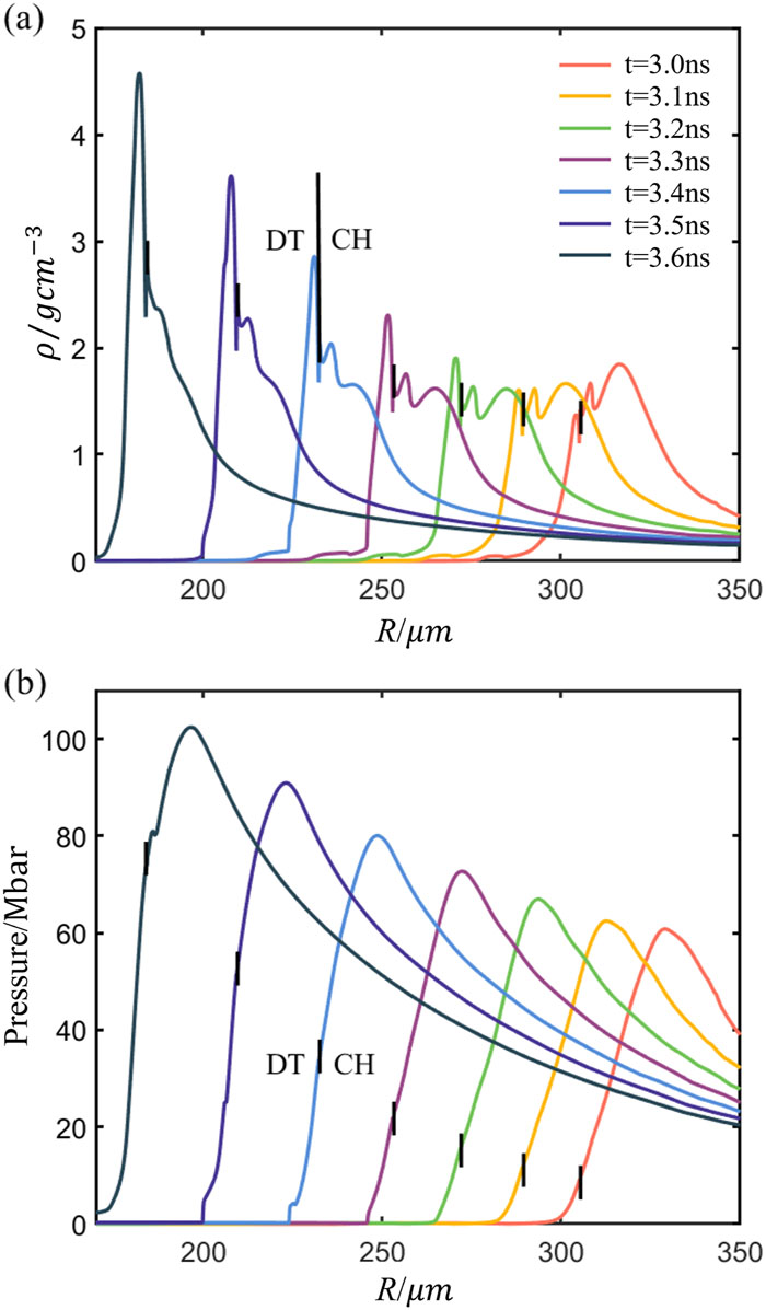
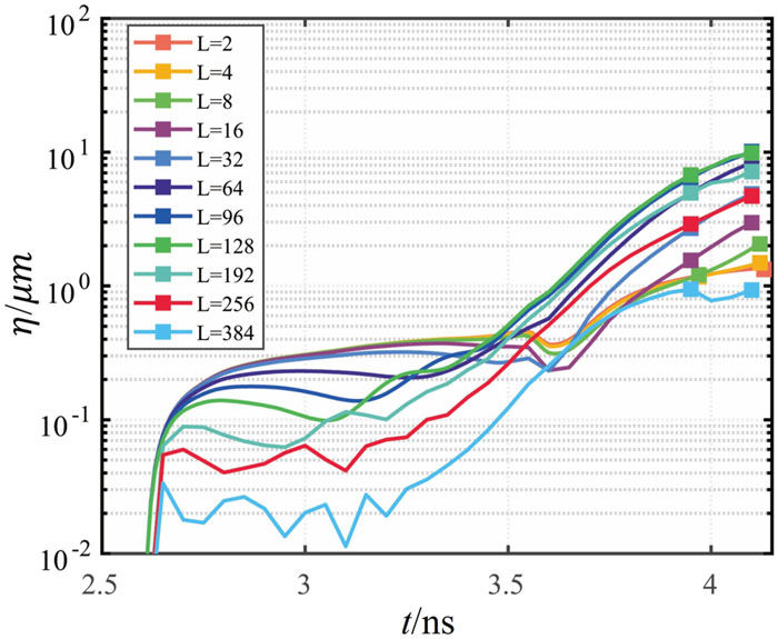
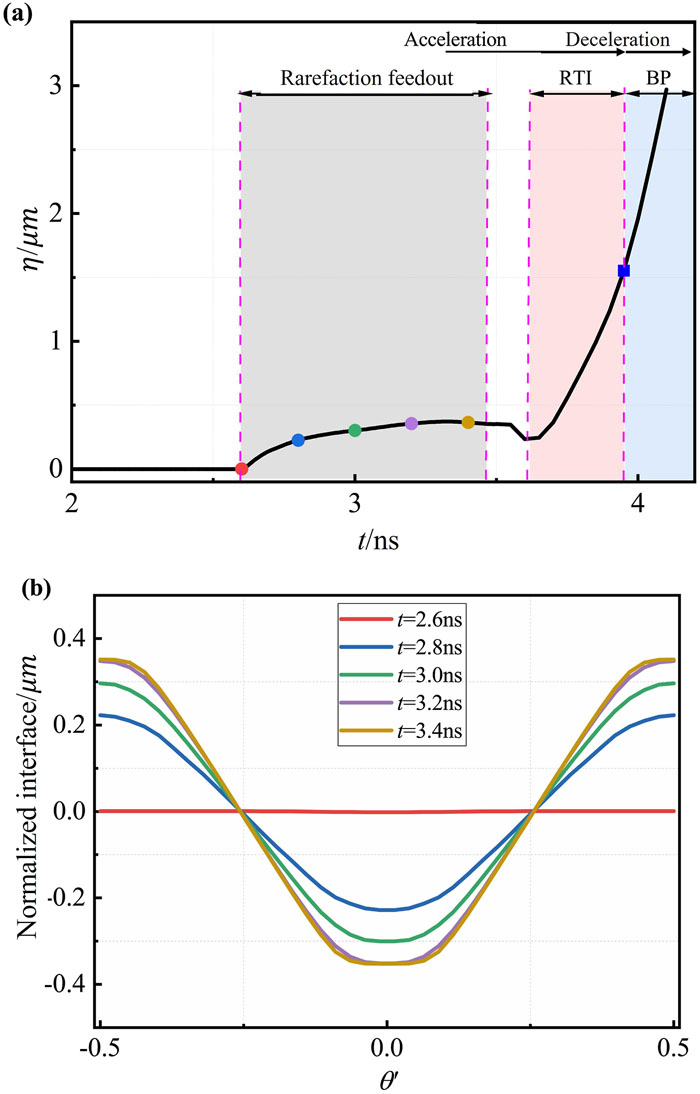
  • Hydrodynamic instability growth at the deuterium–tritium (DT) fuel–ablator interface plays a critical role in determining the performance of inertial confinement fusion implosions. During the late stages of implosion, insufficient doping of the ablator material can result in high-energy X-ray preheat, which may trigger the development of a classical-like Rayleigh–Taylor instability (RTI) at the fuel–ablator interface. In implosion experiments at the Shenguang 100 kJ-level laser facility, the primary source of perturbation is the roughness of the inner DT ice interface. In this study, we propose an analytical model to describe the feed-out process of the initial roughness of the inner DT ice interface. The perturbation amplitude derived from this model serves as the initial seed for the late-time RTI during the acceleration phase. Our findings confirm the presence of classical-like RTI at the fuel–ablator interface. Numerical simulations conducted using a radiation hydrodynamic code validate the proposed analytical model and demonstrate the existence of a peak mode number in both the feed-out process and the classical-like RTI. It provides an alternative bridge between the current target fabrication limitations and the unexpected implosion performance.
  • The authors have no conflicts to disclose.
    Conflict of Interest
    Author Contributions
    Zheng Yan: Writing – original draft (equal). Zhu Chen: Methodology (equal). Jiwei Li: Methodology (equal). Lifeng Wang: Supervision (equal); Writing – review & editing (equal). Zhiyuan Li: Validation (equal). Chao Zhang: Validation (equal). Fengjun Ge: Supervision (equal). Junfeng Wu: Supervision (equal). Weiyan Zhang: Supervision (equal).
    The data that support the findings of this study are available from the corresponding author upon reasonable request.
  • loading
  • [1]
    J. Lindl, “Development of the indirect-drive approach to inertial confinement fusion and the target physics basis for ignition and gain,” Phys. Plasmas 2, 3933–4024 (1995).10.1063/1.871025
    [2]
    J. D. Lindl, P. Amendt, R. L. Berger, S. G. Glendinning, S. H. Glenzer et al., “The physics basis for ignition using indirect-drive targets on the National Ignition Facility,” Phys. Plasmas 11, 339–491 (2004).10.1063/1.1578638
    [3]
    R. P. Drake, High-Energy-Density Physics: Fundamentals, Inertial Fusion and Experimental Astrophysics (Springer, 2006), pp. 1–658.
    [4]
    J. Lindl, O. Landen, J. Edwards, E. Moses, and NIC Team, “Review of the National Ignition Campaign 2009–2012,” Phys. Plasmas 21, 020501 (2014).10.1063/1.4865400
    [5]
    L. Wang, W. Ye, X. He, J. Wu, Z. Fan et al., “Theoretical and simulation research of hydrodynamic instabilities in inertial-confinement fusion implosions,” Sci. China: Phys., Mech. Astron. 60, 055201 (2017).10.1007/s11433-017-9016-x
    [6]
    Y. Zhou, J. D. Sadler, and O. A. Hurricane, “Instabilities and mixing in inertial confinement fusion,” Annu. Rev. Fluid Mech. 57, 197–225 (2025).10.1146/annurev-fluid-022824-110008
    [7]
    M. Brouillette, “The Richtmyer–Meshkov instability,” Annu. Rev. Fluid. Mech. 34, 445–468 (2002).10.1146/annurev.fluid.34.090101.162238
    [8]
    H. Abu-Shawareb, R. Acree, P. Adams, J. Adams, B. Addis et al., “Lawson criterion for ignition exceeded in an inertial fusion experiment,” Phys. Rev. Lett. 129, 075001 (2022).10.1103/physrevlett.129.075001
    [9]
    R. S. Craxton, K. S. Anderson, T. R. Boehly, V. N. Goncharov, D. R. Harding et al., “Direct-drive inertial confinement fusion: A review,” Phys. Plasmas 22, 110501 (2015).10.1063/1.4934714
    [10]
    B. K. Spears, S. Glenzer, M. J. Edwards, S. Brandon, D. Clark et al., “Performance metrics for inertial confinement fusion implosions: Aspects of the technical framework for measuring progress in the National Ignition Campaign,” Phys. Plasmas 19, 056316 (2012).10.1063/1.3696743
    [11]
    J. D. Bender, O. Schilling, K. S. Raman, R. A. Managan, B. J. Olson et al., “Simulation and flow physics of a shocked and reshocked high-energy-density mixing layer,” J. Fluid Mech. 915, A84 (2021).10.1017/jfm.2020.1122
    [12]
    X. Li, Y. Fu, C. Yu, and L. Li, “Statistical characteristics of turbulent mixing in spherical and cylindrical converging Richtmyer–Meshkov instabilities,” J. Fluid Mech. 928, A10 (2021).10.1017/jfm.2021.818
    [13]
    Z. Yan, Y. Fu, L. Wang, C. Yu, and X. Li, “Effect of chemical reaction on mixing transition and turbulent statistics of cylindrical Richtmyer–Meshkov instability,” J. Fluid Mech. 941, A55 (2022).10.1017/jfm.2022.329
    [14]
    H. Takabe, K. Mima, L. Montierth, and R. L. Morse, “Self-consistent growth rate of the Rayleigh–Taylor instability in an ablatively accelerating plasma,” Phys. Fluids 28, 3676–3682 (1985).10.1063/1.865099
    [15]
    A. Bose, R. Betti, D. Shvarts, and K. M. Woo, “The physics of long- and intermediate-wavelength asymmetries of the hot spot: Compression hydrodynamics and energetics,” Phys. Plasmas 24, 102704 (2017).10.1063/1.4995250
    [16]
    C. R. Weber, D. S. Clark, A. W. Cook, L. E. Busby, and H. F. Robey, “Inhibition of turbulence in inertial-confinement-fusion hot spots by viscous dissipation,” Phys. Rev. E 89, 053106 (2014).10.1103/physreve.89.053106
    [17]
    Y. Zhou, Hydrodynamic Instabilities and Turbulence: Rayleigh–Taylor, Richtmyer–Meshkov, and Kelvin–Helmholtz Mixing (Cambridge University Press, 2024), pp. 1–594.
    [18]
    T. Ma, P. K. Patel, N. Izumi, P. T. Springer, M. H. Key et al., “Onset of hydrodynamic mix in high-velocity, highly compressed inertial confinement fusion implosions,” Phys. Rev. Lett. 111, 085004 (2013).10.1103/physrevlett.111.085004
    [19]
    C. R. Weber, T. Döppner, D. T. Casey, T. L. Bunn, L. C. Carlson et al., “First measurements of fuel-ablator interface instability growth in inertial confinement fusion implosions on the National Ignition Facility,” Phys. Rev. Lett. 117, 075002 (2016).10.1103/physrevlett.117.075002
    [20]
    B. Bachmann, S. A. MacLaren, S. Bhandarkar, T. Briggs, D. Casey et al., “Measurement of dark ice-ablator mix in inertial confinement fusion,” Phys. Rev. Lett. 129, 275001 (2022).10.1103/physrevlett.129.275001
    [21]
    A. Do, C. R. Weber, E. L. Dewald, D. T. Casey, D. S. Clark et al., “Direct measurement of ice-ablator interface motion for instability mitigation in indirect drive ICF implosions,” Phys. Rev. Lett. 129, 215003 (2022).10.1103/physrevlett.129.215003
    [22]
    B. Bachmann, S. A. MacLaren, L. Masse, S. Bhandarkar, T. Briggs et al., “Measuring and simulating ice–ablator mix in inertial confinement fusion,” Phys. Plasmas 30, 052704 (2023).10.1063/5.0146974
    [23]
    G. N. Hall, C. R. Weber, V. A. Smalyuk, O. L. Landen, C. Trosseille et al., “Measurement of mix at the fuel–ablator interface in indirectly driven capsule implosions on the National Ignition Facility,” Phys. Plasmas 31, 022702 (2024).10.1063/5.0171617
    [24]
    D. E. Hinkel, T. Doppner, L. P. Masse, K. Widmann, L. Divol et al., “Optimization of capsule dopant levels to improve fuel areal density,” High  Energy Density Phys. 37, 100884 (2020).10.1016/j.hedp.2020.100884
    [25]
    J. Li, R. Yan, B. Zhao, J. Zheng, H. Zhang et al., “Mitigation of the ablative Rayleigh–Taylor instability by nonlocal electron heat transport,” Matter Radiat. Extremes 7, 055902 (2022).10.1063/5.0088058
    [26]
    J. Y. Fu, H. S. Zhang, H. B. Cai, P. L. Yao, and S. P. Zhu, “Effect of ablation on the nonlinear spike growth for the single-mode ablative Rayleigh–Taylor instability,” Matter Radiat. Extremes 8, 016901 (2023).10.1063/5.0106832
    [27]
    Y. Liu, Z. Chen, L. F. Wang, Z. Y. Li, J. F. Wu et al., “Dynamic of shock–bubble interactions and nonlinear evolution of ablative hydrodynamic instabilities initialed by capsule interior isolated defects,” Phys. Plasmas 30, 042302 (2023).10.1063/5.0137856
    [28]
    Z. Lei, J. Li, L. Wang, Z. Chen, J. Li et al., “Nonlinear evolution of hydrodynamic instabilities seeded by the isolated internal defect in HDC capsules,” Plasma Phys. Controlled Fusion 66, 125015 (2024).10.1088/1361-6587/ad8fcf
    [29]
    D. P. Smitherman, R. E. Chrien, N. M. Hoffman, and G. R. Magelssen, “The feedout process: Rayleigh–Taylor and Richtmyer–Meshkov instabilities in uniform, radiation-driven foils,” Phys. Plasmas 6, 932–939 (1999).10.1063/1.873333
    [30]
    D. P. Smitherman, R. E. Chrien, N. M. Hoffman, and G. R. Magelssen, “Feedout coupling of Richtmyer–Meshkov and Rayleigh–Taylor instabilities in stratified, radiation-driven foils,” Phys. Plasmas 6, 940–946 (1999).10.1063/1.873334
    [31]
    S. Atzeni and J. M. ter Vehn, The Physics of Inertial Fusion: Beam Plasma Interaction Hydrodynamics, Hot Dense Mater (Oxford University Press, 2004), pp. 1–458.
    [32]
    D. C. Wilson, P. A. Bradley, N. M. Hoffman, F. J. Swenson, D. P. Smitherman et al., “The development and advantages of beryllium capsules for the National Ignition Facility,” Phys. Plasmas 5, 1953–1959 (1998).10.1063/1.872865
    [33]
    R. Betti, V. Lobatchev, and R. L. McCrory, “Feedout and Rayleigh–Taylor seeding induced by long wavelength perturbations in accelerated planar foils,” Phys. Rev. Lett. 81, 5560–5563 (1998).10.1103/physrevlett.81.5560
    [34]
    K. Shigemori, M. Nakai, H. Azechi, K. Nishihara, R. Ishizaki et al., “Feed-out of rear surface perturbation due to rarefaction wave in laser-irradiated targets,” Phys. Rev. Lett. 84, 5331–5334 (2000).10.1103/physrevlett.84.5331
    [35]
    F. Ge, Y. Pu, K. Wang, T. Huang, C. Sun et al., “Demonstration of indirectly driven implosion experiments with cryogenic pure deuterium layered capsules on the Shenguang Laser Facility,” Nucl. Fusion 63, 086033 (2023).10.1088/1741-4326/acdfe3
    [36]
    J. W. Bates, “Initial-value-problem solution for isolated rippled shock fronts in arbitrary fluid media,” Phys. Rev. E 69, 056313 (2004).10.1103/physreve.69.056313
    [37]
    J. Yan, H. Shen, Z. J. Chen, H. Cao, C. K. Sun et al., “The influence of driven asymmetry on yield degradation in shaped-pulse indirect-drive implosion experiments at the 100 kJ laser facility,” Nucl. Fusion 61, 016011 (2021).10.1088/1741-4326/abbf61
    [38]
    W. Ye, W. Zhang, and X. T. He, “Stabilization of ablative Rayleigh–Taylor instability due to change of the Atwood number,” Phys. Rev. E 65, 057401 (2002).10.1103/physreve.65.057401
    [39]
    J. F. Wu, W. Y. Miao, L. F. Wang, Y. T. Yuan, Z. R. Cao et al., “Indirect-drive ablative Rayleigh–Taylor growth experiments on the Shenguang-II laser facility,” Phys. Plasmas 21, 042707 (2014).10.1063/1.4871721
    [40]
    R. D. Richtmyer, “Taylor instability in shock acceleration of compressible fluids,” Commun. Pure Appl. Math. 13, 297–319 (1960).10.1002/cpa.3160130207
    [41]
    Y. Yang, Q. Zhang, and D. H. Sharp, “Small amplitude theory of Richtmyer–Meshkov instability,” Phys. Fluids 6, 1856–1873 (1994).10.1063/1.868245
    [42]
    A. Velikovich and L. Phillips, “Instability of a plane centered rarefaction wave,” Phys. Fluids 8, 1107–1118 (1996).10.1063/1.868889
    [43]
    [44]
    S. W. Haan, J. D. Lindl, D. A. Callahan, D. S. Clark, J. D. Salmonson et al., “Point design targets, specifications, and requirements for the 2010 ignition campaign on the National Ignition Facility,” Phys. Plasmas 18, 051001 (2011).10.1063/1.3592169
    [45]
    D. Layzer, “On the instability of superposed fluids in a gravitational field,” Astrophys. J. 122, 1–12 (1955).10.1086/146048
    [46]
    V. N. Goncharov, “Analytical model of nonlinear, single-mode, classical Rayleigh–Taylor instability at arbitrary Atwood numbers,” Phys. Rev. Lett. 88, 134502 (2002).10.1103/physrevlett.88.134502
    [47]
    R. Epstein, “On the Bell–Plesset effects: The effects of uniform compression and geometrical convergence on the classical Rayleigh–Taylor instability,” Phys. Plasmas 11, 5114–5124 (2004).10.1063/1.1790496
    [48]
    L. F. Wang, J. F. Wu, H. Y. Guo, W. H. Ye, J. Liu et al., “Weakly nonlinear Bell–Plesset effects for a uniformly converging cylinder,” Phys. Plasmas 22, 082702 (2015).10.1063/1.4928088
    [49]
    Y. Zhou, “Rayleigh–Taylor and Richtmyer–Meshkov instability induced flow, turbulence, and mixing. I,” Phys. Rep. 720–722, 1–136 (2017).10.1016/j.physrep.2017.07.005
    [50]
    Y. Zhou, “Rayleigh–Taylor and Richtmyer–Meshkov instability induced flow, turbulence, and mixing. II,” Phys. Rep. 723–725, 1–160 (2017).10.1016/j.physrep.2017.07.008
    [51]
    L. F. Wang, W. H. Ye, J. F. Wu, J. Liu, W. Y. Zhang et al., “A scheme for reducing deceleration-phase Rayleigh–Taylor growth in inertial confinement fusion implosions,” Phys. Plasmas 23, 052713 (2016).10.1063/1.4952636
    [52]
    L. F. Wang, W. H. Ye, J. F. Wu, J. Liu, W. Y. Zhang et al., “Main drive optimization of a high-foot pulse shape in inertial confinement fusion implosions,” Phys. Plasmas 23, 122702 (2016).10.1063/1.4971237
    [53]
    L. F. Wang, W. H. Ye, Z. M. Sheng, W.-S. Don, Y. J. Li et al., “Preheating ablation effects on the Rayleigh–Taylor instability in the weakly nonlinear regime,” Phys. Plasmas 17, 122706 (2010).10.1063/1.3517606
    [54]
    W. H. Ye, L. F. Wang, and X. T. He, “Spike deceleration and bubble acceleration in the ablative Rayleigh–Taylor instability,” Phys. Plasmas 17, 122704 (2010).10.1063/1.3497006
    [55]
    L. F. Wang, J. F. Wu, W. H. Ye, J. Q. Dong, Z. H. Fang et al., “Nonlinear ablative Rayleigh–Taylor growth experiments on Shenguang-II,” Phys. Plasmas 27, 072703 (2020).10.1063/1.5140525
    [56]
    J. Yan, J. Li, X. T. He, L. Wang, Y. Chen et al., “Experimental confirmation of driving pressure boosting and smoothing for hybrid-drive inertial fusion at the 100-kJ laser facility,” Nat. Commun. 14, 5782 (2023).10.1038/s41467-023-41477-2
    [57]
    Z. Chen, Y. T. Yuan, L. F. Wang, S. Y. Tu, W. Y. Miao et al., “Early-time harmonic generation from a single-mode perturbation driven by x-ray ablation,” Phys. Rev. Lett. 133, 135101 (2024).10.1103/physrevlett.133.135101
    [58]
    F. J. D. Serduke, E. Minguez, S. J. Davidson, and C. A. Iglesias, “Workop-IV summary: Lessons from iron opacities,” J. Quant. Spectrosc. Radiat. Transfer 65, 527–541 (2000).10.1016/s0022-4073(99)00094-1
    [59]
    H. Liu, H. Song, Q. Zhang, G. Zhang, and Y. Zhao, “Validation for equation of state in wide regime: Copper as prototype,” Matter Radiat. Extremes 1, 123–131 (2016).10.1016/j.mre.2016.03.002
    [60]
    F. Xiao, Y. Honma, and T. Kono, “A simple algebraic interface capturing scheme using hyperbolic tangent function,” Int. J. Numer. Methods Fluids 48, 1023–1040 (2005).10.1002/fld.975
  • 加载中

Catalog

    通讯作者: 陈斌, bchen63@163.com
    • 1. 

      沈阳化工大学材料科学与工程学院 沈阳 110142

    1. 本站搜索
    2. 百度学术搜索
    3. 万方数据库搜索
    4. CNKI搜索

    Figures(9)

    Article Metrics

    Article views (2686) PDF downloads(0) Cited by()
    Proportional views
    Related

    /

    DownLoad:  Full-Size Img  PowerPoint
    Return
    Return