Follow us on Wechat

用微信扫码二维码

分享至好友和朋友圈

Volume 10 Issue 6
Nov.  2025
Turn off MathJax
Article Contents
Zhang S. T., Wang Qing, Liu D. J., Cheng R. J., Li X. X., Lv S. Y., Huang Z. M., Chen Z. J., Xu Z. Y., Wang Qiang, Liu Z. J., Cao L. H., Zheng C. Y.. Kinetic effects of inverse bremsstrahlung absorption in the low-field limit[J]. Matter and Radiation at Extremes, 2025, 10(6): 067402. doi: 10.1063/5.0271079
Citation: Zhang S. T., Wang Qing, Liu D. J., Cheng R. J., Li X. X., Lv S. Y., Huang Z. M., Chen Z. J., Xu Z. Y., Wang Qiang, Liu Z. J., Cao L. H., Zheng C. Y.. Kinetic effects of inverse bremsstrahlung absorption in the low-field limit[J]. Matter and Radiation at Extremes, 2025, 10(6): 067402. doi: 10.1063/5.0271079

Kinetic effects of inverse bremsstrahlung absorption in the low-field limit

doi: 10.1063/5.0271079
More Information
  • Corresponding author: a)Author to whom correspondence should be addressed: cao_lihua@iapcm.ac.cn
  • Received Date: 2025-03-14
  • Accepted Date: 2025-09-23
  • Available Online: 2025-11-28
  • Publish Date: 2025-11-01
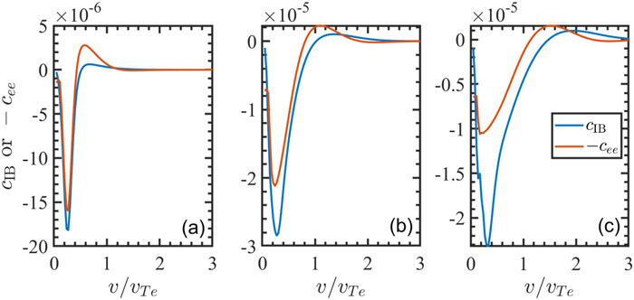
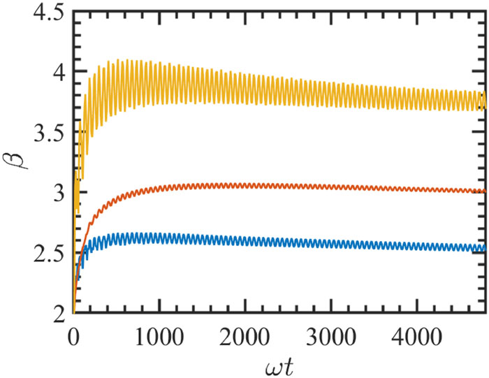
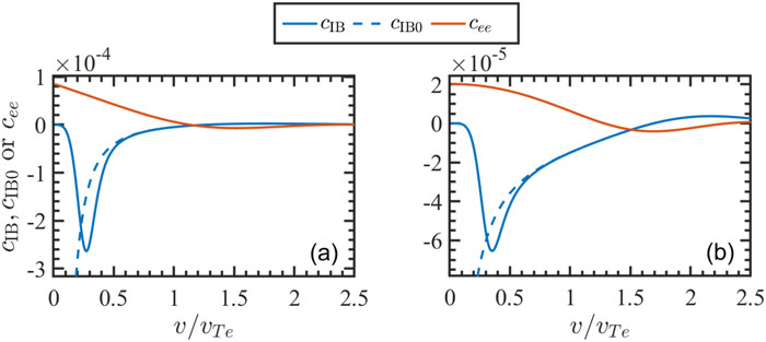
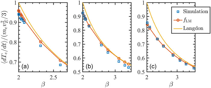
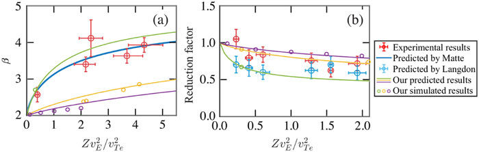
  • Inverse bremsstrahlung absorption in laser-heated plasmas is studied using the Fokker–Planck equation in the low-field limit. Compared with the commonly used fitting formulas of Langdon and Matte et al., our work employs fewer approximations and provides more accurate predictions for the super-Gaussian order β and the heating rate. Simulation results show that the super-Gaussian order is generally lower than the fitting results of Matte et al., which leads to an increase in absorption. However, we find two other factors that reduce absorption: the high-order term of the collision frequency and the effects caused by high laser intensity. Therefore, the final simulated absorption can either be higher or lower, depending on the conditions. These phenomena are theoretically analyzed using the Fokker–Planck equation. Fitting formulas are proposed for the super-Gaussian order and the heating rate, showing a discrepancy within ∼10% of the simulation results. We also compare the simulation results with the experimental results from several recent papers.
  • Conflict of Interest
    The authors have no conflicts to disclose.
    Author Contributions
    S. T. Zhang: Data curation (equal); Formal analysis (equal); Funding acquisition (equal); Investigation (equal); Methodology (equal); Visualization (equal); Writing – original draft (equal). Qing Wang: Formal analysis (equal). D. J. Liu: Formal analysis (supporting). R. J. Cheng: Formal analysis (supporting). X. X. Li: Formal analysis (supporting). S. Y. Lv: Formal analysis (supporting). Z. M. Huang: Formal analysis (supporting). Z. J. Chen: Formal analysis (supporting); Software (equal). Z. Y. Xu: Formal analysis (supporting). Qiang Wang: Formal analysis (equal); Supervision (equal). Z. J. Liu: Conceptualization (equal); Formal analysis (equal); Funding acquisition (equal); Project administration (equal); Resources (equal); Supervision (equal); Writing – review & editing (equal). L. H. Cao: Formal analysis (equal); Funding acquisition (equal); Project administration (equal); Resources (equal); Supervision (equal); Writing – review & editing (equal). C. Y. Zheng: Formal analysis (equal); Funding acquisition (equal); Project administration (equal); Supervision (equal).
    The data that support the findings of this study are available from the corresponding author upon reasonable request.
  • loading
  • [1]
    R. S. Craxton, K. S. Anderson, T. R. Boehly, V. N. Goncharov, D. R. Harding et al., “direct-drive inertial confinement fusion: A review,” Phys. Plasmas 22, 110501 (2015).10.1063/1.4934714
    [2]
    J. Lindl, “Development of the indirect-drive approach to inertial confinement fusion and the target physics basis for ignition and gain,” Phys. Plasmas 2, 3933–4024 (1995).10.1063/1.871025
    [3]
    F. Alouani-Bibi, M. M. Shoucri, and J. P. Matte, “Different Fokker–Planck approaches to simulate electron transport in plasmas,” Comput. Phys. Commun. 164, 60–66 (2004).10.1016/j.cpc.2004.06.008
    [4]
    H. Zhang, D. Kang, C. Wu, L. Hao, H. Shen et al., “semi-hydro-equivalent design and performance extrapolation between 100 kJ-scale and NIF-scale indirect drive implosion,” Matter Radiat. Extremes 9, 015601 (2024).10.1063/5.0150343
    [5]
    C. Chen, T. Gong, Z. Li, L. Hao, Y. Liu et al., “Study of the spatial growth of stimulated brillouin scattering in a gas-filled hohlraum via detecting the driven ion acoustic wave,” Matter Radiat. Extremes 9, 027601 (2024).10.1063/5.0173023
    [6]
    Z. Lu, X. Xie, X. Liang, M. Sun, P. Zhu et al., “Effect of laser wavelength on growth of ablative Rayleigh–Taylor instability in inertial confinement fusion,” Matter Radiat. Extremes 10, 027403 (2025).10.1063/5.0235138
    [7]
    [8]
    [9]
    A. B. Langdon, “Nonlinear inverse bremsstrahlung and heated-electron distributions,” Phys. Rev. Lett. 44, 575 (1980).10.1103/physrevlett.44.575
    [10]
    R. D. Jones and K. Lee, “Kinetic theory, transport, and hydrodynamics of a high-Z plasma in the presence of an intense laser field,” Phys. Fluids 25, 2307–2323 (1982).10.1063/1.863712
    [11]
    J. P. Matte, M. Lamoureux, C. Moller, R. Y. Yin, J. Delettrez et al., “Non-Maxwellian electron distributions and continuum x-ray emission in inverse bremsstrahlung heated plasmas,” Plasma Phys. Controlled Fusion 30, 1665 (1988).10.1088/0741-3335/30/12/004
    [12]
    J. M. Liu, J. S. De Groot, J. P. Matte, T. W. Johnston, and R. P. Drake, “Measurements of inverse bremsstrahlung absorption and non-Maxwellian electron velocity distributions,” Phys. Rev. Lett. 72, 2717 (1994).10.1103/physrevlett.72.2717
    [13]
    S.-M. Weng, Z.-M. Sheng, and J. Zhang, “Inverse bremsstrahlung absorption with nonlinear effects of high laser intensity and non-maxwellian distribution,” Phys. Rev. E 80, 056406 (2009).10.1103/physreve.80.056406
    [14]
    L. Schlessinger and J. Wright, “Inverse-bremsstrahlung absorption rate in an intense laser field,” Phys. Rev. A 20, 1934 (1979).10.1103/physreva.20.1934
    [15]
    A. Brantov, W. Rozmus, R. Sydora, C. E. Capjack, V. Y. Bychenkov et al., “Enhanced inverse bremsstrahlung heating rates in a strong laser field,” Phys. Plasmas 10, 3385–3396 (2003).10.1063/1.1586917
    [16]
    R. Devriendt and O. Poujade, “Classical molecular dynamic simulations and modeling of inverse bremsstrahlung heating in low Z weakly coupled plasmas,” Phys. Plasmas 29, 073301 (2022).10.1063/5.0091662
    [17]
    G. J. Pert, “Inverse bremsstrahlung absorption in large radiation fields during binary collisions-classical theory,” J. Phys. A: Gener. Phys. 5, 506 (1972).10.1088/0305-4470/5/4/007
    [18]
    L. Oster, “Emission, absorption, and conductivity of a fully ionized gas at radio frequencies,” Rev. Mod. Phys. 33, 525 (1961).10.1103/revmodphys.33.525
    [19]
    J. Dawson and C. Oberman, “high-frequency conductivity and the emission and absorption coefficients of a fully ionized plasma,” Phys. Fluids 5, 517–524 (1962).10.1063/1.1706652
    [20]
    T. W. Johnston and J. M. Dawson, “Correct values for high-frequency power absorption by inverse bremsstrahlung in plasmas,” Phys. Fluids 16, 722 (1973).10.1063/1.1694419
    [21]
    D. Turnbull, J. Katz, M. Sherlock, A. L. Milder, M. S. Cho et al., “Reconciling calculations and measurements of inverse bremsstrahlung absorption,” Phys. Plasmas 31, 063304 (2024).10.1063/5.0203446
    [22]
    D. Turnbull, J. Katz, M. Sherlock, L. Divol, N. R. Shaffer et al., “Inverse bremsstrahlung absorption,” Phys. Rev. Lett. 130, 145103 (2023).10.1103/physrevlett.130.145103
    [23]
    M. Sherlock, P. Michel, D. J. Strozzi, L. Divol, E. Kur et al., “Inverse bremsstrahlung absorption rate for super-Gaussian electron distribution functions including plasma screening,” Phys. Rev. E 109, 055201 (2024).10.1103/physreve.109.055201
    [24]
    M. Sedaghat, M. Ettehadi-Abari, B. Shokri, and M. Ghorbanalilu, “The effect of external magnetic field on the bremsstrahlung nonlinear absorption mechanism in the interaction of high intensity short laser pulse with collisional underdense plasma,” Phys. Plasmas 22, 033114 (2015).10.1063/1.4916127
    [25]
    N. Firouzi Farrashbandi, M. Eslami-Kalantari, and A. Sid, “Inverse bremsstrahlung absorption in magnetized plasmas,” EPL Europhys. Lett. 130(2), 25001 (2020).10.1209/0295-5075/130/25001
    [26]
    A. L. Milder, J. Katz, R. Boni, J. P. Palastro, M. Sherlock et al., “Measurements of non-Maxwellian electron distribution functions and their effect on laser heating,” Phys. Rev. Lett. 127, 015001 (2021).10.1103/physrevlett.127.015001
    [27]
    E. Fourkal, V. Y. Bychenkov, W. Rozmus, R. Sydora, C. Kirkby et al., “Electron distribution function in laser heated plasmas,” Phys. Plasmas 8, 550–556 (2001).10.1063/1.1334611
    [28]
    S. T. Zhang, X. M. Li, D. J. Liu, X. X. Li, R. J. Cheng et al., “Vlasov–Fokker–Planck–Maxwell simulations for plasmas in inertial confinement fusion,” Comput. Phys. Commun. 294, 108932 (2024).10.1016/j.cpc.2023.108932
    [29]
    N. David, D. J. Spence, and S. M. Hooker, “Molecular-dynamic calculation of the inverse-bremsstrahlung heating of non-weakly-coupled plasmas,” Phys. Rev. E 70, 056411 (2004).10.1103/physreve.70.056411
    [30]
    M. Tzoufras, A. R. Bell, P. A. Norreys, and F. S. Tsung, “A Vlasov–Fokker–Planck code for high energy density physics,” J. Comput. Phys. 230, 6475–6494 (2011).10.1016/j.jcp.2011.04.034
    [31]
    A. Sid, “Nonlinear inverse bremsstrahlung absorption in laser-fusion plasma Corona,” Phys. Plasmas 10, 214–219 (2003).10.1063/1.1523395
    [32]
    A. S. Richardson, 2019 NRL Plasma Formulary (Naval Research Laboratory, Washington, DC, 2019).
    [33]
    D. Turnbull, A. Colaïtis, A. M. Hansen, A. L. Milder, J. P. Palastro et al., “Impact of the Langdon effect on crossed-beam energy transfer,” Nat. Phys. 16, 181–185 (2020).10.1038/s41567-019-0725-z
  • 加载中

Catalog

    通讯作者: 陈斌, bchen63@163.com
    • 1. 

      沈阳化工大学材料科学与工程学院 沈阳 110142

    1. 本站搜索
    2. 百度学术搜索
    3. 万方数据库搜索
    4. CNKI搜索

    Figures(11)  / Tables(1)

    Article Metrics

    Article views (3074) PDF downloads(1) Cited by()
    Proportional views
    Related

    /

    DownLoad:  Full-Size Img  PowerPoint
    Return
    Return