Follow us on Wechat

用微信扫码二维码

分享至好友和朋友圈

Volume 9 Issue 3
May  2024
Turn off MathJax
Article Contents
Tang Suo, Xin Yu, Wen Meng, Bake Mamat Ali, Xie Baisong. Fully polarized Compton scattering in plane waves and its polarization transfer[J]. Matter and Radiation at Extremes, 2024, 9(3): 037204. doi: 10.1063/5.0196125
Citation: Tang Suo, Xin Yu, Wen Meng, Bake Mamat Ali, Xie Baisong. Fully polarized Compton scattering in plane waves and its polarization transfer[J]. Matter and Radiation at Extremes, 2024, 9(3): 037204. doi: 10.1063/5.0196125

Fully polarized Compton scattering in plane waves and its polarization transfer

doi: 10.1063/5.0196125
More Information
  • Corresponding author: a)Author to whom correspondence should be addressed: mabake@xju.edu.cn
  • Received Date: 2024-01-05
  • Accepted Date: 2024-03-06
  • Available Online: 2024-05-01
  • Publish Date: 2024-05-01
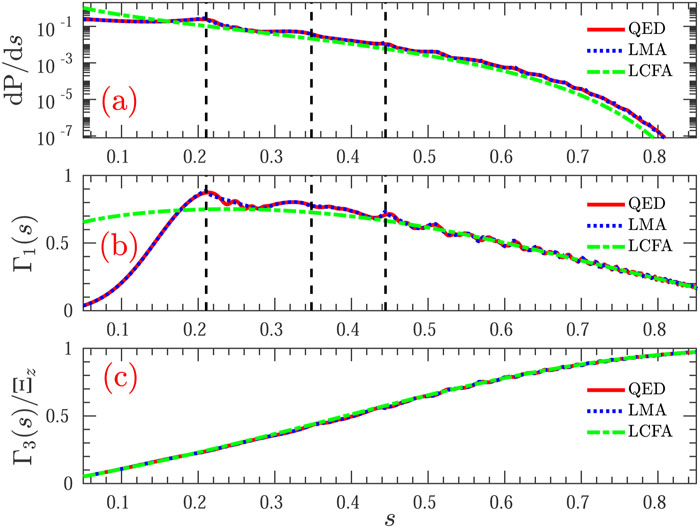
  • Fully polarized Compton scattering from a beam of spin-polarized electrons is investigated in plane-wave backgrounds in a broad intensity region from the perturbative to the nonperturbative regimes. In the perturbative regime, polarized linear Compton scattering is considered for investigating polarization transfer from a single laser photon to a scattered photon, and in the high-intensity region, the polarized locally monochromatic approximation and locally constant field approximation are established and are employed to study polarization transfer from an incoming electron to a scattered photon. The numerical results suggest an appreciable improvement of about 10% in the scattering probability in the intermediate-intensity region if the electron’s longitudinal spin is parallel to the laser rotation. The longitudinal spin of the incoming electron can be transferred to the scattered photon with an efficiency that increases with laser intensity and collisional energy. For collision between an optical laser with frequency ∼1 eV and a 10 GeV electron, this polarization transfer efficiency can increase from about 20% in the perturbative regime to about 50% in the nonperturbative regime for scattered photons with relatively high energy.
  • loading
  • [1]
    M. Drescher, M. Hentschel, R. Kienberger, M. Uiberacker, V. Yakovlev, A. Scrinzi, T. Westerwalbesloh, U. Kleineberg, U. Heinzmann, and F. Krausz, “Time-resolved atomic inner-shell spectroscopy,” Nature 419, 803–807 (2002).10.1038/nature01143
    [2]
    K. J. Weeks, V. N. Litvinenko, and J. M. J. Madey, “The Compton backscattering process and radiotherapy,” Med. Phys. 24, 417–423 (1997).10.1118/1.597903
    [3]
    K. Horikawa, S. Miyamoto, T. Mochizuki, S. Amano, D. Li, K. Imasaki, Y. Izawa, K. Ogata, S. Chiba, and T. Hayakawa, “Neutron angular distribution in (γ, n) reactions with linearly polarized γ-ray beam generated by laser Compton scattering,” Phys. Lett. B 737, 109–113 (2014).10.1016/j.physletb.2014.08.024
    [4]
    G. Sarri, K. Poder, J. Cole, W. Schumaker, A. Di Piazza, B. Reville, T. Dzelzainis, D. Doria, L. Gizzi, G. Grittani et al., “Generation of neutral and high-density electron–positron pair plasmas in the laboratory,” Nat. Commun. 6, 6747 (2015).10.1038/ncomms7747
    [5]
    K. Homma, K. Matsuura, and K. Nakajima, “Testing helicity-dependent γγ → γγ scattering in the region of MeV,” Prog. Theor. Exp. Phys. 2016, 013C01.10.1093/ptep/ptv176
    [6]
    A. Di Piazza, C. Müller, K. Z. Hatsagortsyan, and C. H. Keitel, “Extremely high-intensity laser interactions with fundamental quantum systems,” Rev. Mod. Phys. 84, 1177–1228 (2012).10.1103/revmodphys.84.1177
    [7]
    A. Fedotov, A. Ilderton, F. Karbstein, B. King, D. Seipt, H. Taya, and G. Torgrimsson, “Advances in QED with intense background fields,” Phys. Rep. 1010, 1–138 (2023), advances in QED with intense background fields.10.1016/j.physrep.2023.01.003
    [8]
    A. Gonoskov, T. G. Blackburn, M. Marklund, and S. S. Bulanov, “Charged particle motion and radiation in strong electromagnetic fields,” Rev. Mod. Phys. 94, 045001 (2022).10.1103/revmodphys.94.045001
    [9]
    J. M. Cole, K. T. Behm, E. Gerstmayr, T. G. Blackburn, J. C. Wood, C. D. Baird, M. J. Duff, C. Harvey, A. Ilderton, A. S. Joglekar, K. Krushelnick, S. Kuschel, M. Marklund, P. McKenna, C. D. Murphy, K. Poder, C. P. Ridgers, G. M. Samarin, G. Sarri, D. R. Symes, A. G. R. Thomas, J. Warwick, M. Zepf, Z. Najmudin, and S. P. D. Mangles, “Experimental evidence of radiation reaction in the collision of a high-intensity laser pulse with a laser-wakefield accelerated electron beam,” Phys. Rev. X 8, 011020 (2018).10.1103/physrevx.8.011020
    [10]
    K. Poder, M. Tamburini, G. Sarri, A. Di Piazza, S. Kuschel, C. D. Baird, K. Behm, S. Bohlen, J. M. Cole, D. J. Corvan, M. Duff, E. Gerstmayr, C. H. Keitel, K. Krushelnick, S. P. D. Mangles, P. McKenna, C. D. Murphy, Z. Najmudin, C. P. Ridgers, G. M. Samarin, D. R. Symes, A. G. R. Thomas, J. Warwick, and M. Zepf, “Experimental signatures of the quantum nature of radiation reaction in the field of an ultraintense laser,” Phys. Rev. X 8, 031004 (2018).10.1103/physrevx.8.031004
    [11]
    C. Bula et al., “Observation of nonlinear effects in Compton scattering,” Phys. Rev. Lett. 76, 3116–3119 (1996).10.1103/physrevlett.76.3116
    [12]
    C. Bamber, S. J. Boege, T. Koffas, T. Kotseroglou, A. C. Melissinos, D. D. Meyerhofer, D. A. Reis, W. Ragg, C. Bula, K. T. McDonald, E. J. Prebys, D. L. Burke, R. C. Field, G. Horton-Smith, J. E. Spencer, D. Walz, S. C. Berridge, W. M. Bugg, K. Shmakov, and A. W. Weidemann, “Studies of nonlinear QED in collisions of 46.6 GeV electrons with intense laser pulses,” Phys. Rev. D 60, 092004 (1999).10.1103/physrevd.60.092004
    [13]
    [14]
    [15]
    F. C. Salgado, N. Cavanagh, M. Tamburini, D. W. Storey, R. Beyer, P. H. Bucksbaum, Z. Chen, A. Di Piazza, E. Gerstmayr, Harsh, E. Isele, A. R. Junghans, C. H. Keitel, S. Kuschel, C. F. Nielsen, D. A. Reis, C. Roedel, G. Sarri, A. Seidel, C. Schneider, U. I. Uggerhøj, J. Wulff, V. Yakimenko, C. Zepter, and S. Meuren, “Single particle detection system for strong-field QED experiments,” New J. Phys. 24, 015002 (2021).10.1088/1367-2630/ac4283
    [16]
    H. Abramowicz et al., “Conceptual design report for the LUXE experiment,” Eur. Phys. J. Spec. Top. 230, 2445–2560 (2021).10.1140/epjs/s11734-021-00249-z
    [17]
    M. Borysova, “Studies of high-field QED with the luxe experiment at the European XFEL,” J. Instrum. 16, C12030 (2021).10.1088/1748-0221/16/12/c12030
    [18]
    A. J. Macleod, “From theory to precision modelling of strong-field QED in the transition regime,” J. Phys.: Conf. Ser 2249, 012022 (2022).10.1088/1742-6596/2249/1/012022
    [19]
    A. Nikishov and V. Ritus, “Quantum processes in the field of a plane electromagnetic wave and in a constant field. I,” Sov. Phys. JETP 19, 529–541 (1964).
    [20]
    L. S. Brown and T. W. B. Kibble, “Interaction of intense laser beams with electrons,” Phys. Rev. 133, A705–A719 (1964).10.1103/physrev.133.a705
    [21]
    D. Yu. Ivanov, G. L. Kotkin, and V. G. Serbo, “Complete description of polarization effects in emission of a photon by an electron in the field of a strong laser wave,” Eur. Phys. J. C 36, 127–145 (2004); arXiv:hep-ph/0402139 [hep-ph].10.1140/epjc/s2004-01861-x
    [22]
    C. Harvey, T. Heinzl, and A. Ilderton, “Signatures of high-intensity Compton scattering,” Phys. Rev. A 79, 063407 (2009).10.1103/physreva.79.063407
    [23]
    M. Boca and V. Florescu, “Nonlinear Compton scattering with a laser pulse,” Phys. Rev. A 80, 053403 (2009).10.1103/physreva.80.053403
    [24]
    F. Mackenroth, A. Di Piazza, and C. H. Keitel, “Determining the carrier-envelope phase of intense few-cycle laser pulses,” Phys. Rev. Lett. 105, 063903 (2010).10.1103/physrevlett.105.063903
    [25]
    T. Heinzl, D. Seipt, and B. Kämpfer, “Beam-shape effects in nonlinear Compton and Thomson scattering,” Phys. Rev. A 81, 022125 (2010).10.1103/physreva.81.022125
    [26]
    F. Mackenroth and A. Di Piazza, “Nonlinear Compton scattering in ultrashort laser pulses,” Phys. Rev. A 83, 032106 (2011).10.1103/physreva.83.032106
    [27]
    D. Seipt and B. Kämpfer, “Nonlinear Compton scattering of ultrashort intense laser pulses,” Phys. Rev. A 83, 022101 (2011).10.1103/physreva.83.022101
    [28]
    S. Tang, B. King, and H. Hu, “Highly polarised gamma photons from electron-laser collisions,” Phys. Lett. B 809, 135701 (2020).10.1016/j.physletb.2020.135701
    [29]
    A. Ilderton, B. King, and S. Tang, “Toward the observation of interference effects in nonlinear Compton scattering,” Phys. Lett. B 804, 135410 (2020).10.1016/j.physletb.2020.135410
    [30]
    C. F. Nielsen, R. Holtzapple, and B. King, “High-resolution modeling of nonlinear Compton scattering in focused laser pulses,” Phys. Rev. D 106, 013010 (2022).10.1103/physrevd.106.013010
    [31]
    A. Gonoskov, S. Bastrakov, E. Efimenko, A. Ilderton, M. Marklund, I. Meyerov, A. Muraviev, A. Sergeev, I. Surmin, and E. Wallin, “Extended particle-in-cell schemes for physics in ultrastrong laser fields: Review and developments,” Phys. Rev. E 92, 023305 (2015).10.1103/physreve.92.023305
    [32]
    T. Blackburn, “Radiation reaction in electron–beam interactions with high-intensity lasers,” Rev. Mod. Plasma Phys. 4, 5 (2020).10.1007/s41614-020-0042-0
    [33]
    B. King, “Double Compton scattering in a constant crossed field,” Phys. Rev. A 91, 033415 (2015).10.1103/physreva.91.033415
    [34]
    D. Del Sorbo, D. Seipt, T. G. Blackburn, A. G. R. Thomas, C. D. Murphy, J. G. Kirk, and C. P. Ridgers, “Spin polarization of electrons by ultraintense lasers,” Phys. Rev. A 96, 043407 (2017).10.1103/physreva.96.043407
    [35]
    D. Seipt, D. Del Sorbo, C. P. Ridgers, and A. G. R. Thomas, “Theory of radiative electron polarization in strong laser fields,” Phys. Rev. A 98, 023417 (2018).10.1103/physreva.98.023417
    [36]
    D. Del Sorbo, D. Seipt, A. G. R. Thomas, and C. P. Ridgers, “Electron spin polarization in realistic trajectories around the magnetic node of two counter-propagating, circularly polarized, ultra-intense lasers,” Plasma Phys. Controlled Fusion 60, 064003 (2018).10.1088/1361-6587/aab979
    [37]
    Y.-F. Li, R. Shaisultanov, K. Z. Hatsagortsyan, F. Wan, C. H. Keitel, and J.-X. Li, “Ultrarelativistic electron-beam polarization in single-shot interaction with an ultraintense laser pulse,” Phys. Rev. Lett. 122, 154801 (2019).10.1103/physrevlett.122.154801
    [38]
    T. N. Wistisen and A. Di Piazza, “Numerical approach to the semiclassical method of radiation emission for arbitrary electron spin and photon polarization,” Phys. Rev. D 100, 116001 (2019).10.1103/physrevd.100.116001
    [39]
    B. King and S. Tang, “Nonlinear Compton scattering of polarized photons in plane-wave backgrounds,” Phys. Rev. A 102, 022809 (2020).10.1103/physreva.102.022809
    [40]
    D. Seipt and B. King, “Spin- and polarization-dependent locally-constant-field-approximation rates for nonlinear Compton and Breit-Wheeler processes,” Phys. Rev. A 102, 052805 (2020).10.1103/physreva.102.052805
    [41]
    D. Seipt, D. Del Sorbo, C. P. Ridgers, and A. G. R. Thomas, “Ultrafast polarization of an electron beam in an intense bichromatic laser field,” Phys. Rev. A 100, 061402(R) (2019).10.1103/physreva.100.061402
    [42]
    K. Blum, Density Matrix Theory and Applications (Springer Science & Business Media, 2012), Vol. 64.
    [43]
    V. V. Balashov, A. N. Grum-Grzhimailo, and N. M. Kabachnik, Polarization and Correlation Phenomena in Atomic Collisions: A Practical Theory Course (Springer Science & Business Media, 2013).
    [44]
    S. Tang, “Fully polarized nonlinear Breit-Wheeler pair production in pulsed plane waves,” Phys. Rev. D 105, 056018 (2022).10.1103/physrevd.105.056018
    [45]
    S. Tang and B. King, “Locally monochromatic two-step nonlinear trident process in a plane wave,” Phys. Rev. D 107, 096004 (2023).10.1103/physrevd.107.096004
    [46]
    D. Seipt and B. Kämpfer, “Two-photon Compton process in pulsed intense laser fields,” Phys. Rev. D 85, 101701 (2012).10.1103/physrevd.85.101701
    [47]
    H. Gies, F. Karbstein, C. Kohlfürst, and N. Seegert, “Photon-photon scattering at the high-intensity Frontier,” Phys. Rev. D 97, 076002 (2018).10.1103/physrevd.97.076002
    [48]
    Y. Gao and S. Tang, “Optimal photon polarization toward the observation of the nonlinear Breit-Wheeler pair production,” Phys. Rev. D 106, 056003 (2022).10.1103/physrevd.106.056003
    [49]
    G. A. Krafft and G. Priebe, “Compton sources of electromagnetic radiation,” Rev. Accel. Sci. Technol. 03, 147–163 (2010).10.1142/S1793626810000440
    [50]
    W. S. Graves, J. Bessuille, P. Brown, S. Carbajo, V. Dolgashev, K.-H. Hong, E. Ihloff, B. Khaykovich, H. Lin, K. Murari, E. A. Nanni, G. Resta, S. Tantawi, L. E. Zapata, F. X. Kärtner, and D. E. Moncton, “Compact x-ray source based on burst-mode inverse Compton scattering at 100 kHz,” Phys. Rev. ST Accel. Beams 17, 120701 (2014).10.1103/physrevstab.17.120701
    [51]
    B. Günther, R. Gradl, C. Jud, E. Eggl, J. Huang, S. Kulpe, K. Achterhold, B. Gleich, M. Dierolf, and F. Pfeiffer, “The versatile X-ray beamline of the Munich Compact light source: Design, instrumentation and applications,” J. Synchrotron Radiat. 27, 1395–1414 (2020).10.1107/s1600577520008309
    [52]
    A. Di Piazza, “Analytical tools for investigating strong-field QED processes in tightly focused laser fields,” Phys. Rev. A 91, 042118 (2015).10.1103/physreva.91.042118
    [53]
    A. Di Piazza, “Nonlinear Breit-Wheeler pair production in a tightly focused laser beam,” Phys. Rev. Lett. 117, 213201 (2016).10.1103/physrevlett.117.213201
    [54]
    A. Di Piazza, “First-order strong-field QED processes in a tightly focused laser beam,” Phys. Rev. A 95, 032121 (2017).10.1103/physreva.95.032121
    [55]
    A. Di Piazza, “Wkb electron wave functions in a tightly focused laser beam,” Phys. Rev. D 103, 076011 (2021).10.1103/physrevd.103.076011
    [56]
    Y. Nagashima, Elementary Particle Physics: Quantum Field Theory and Particles V1 (John Wiley & Sons, 2011), Vol. 1.
    [57]
    M. D. Schwartz, Quantum Field Theory and the Standard Model (Cambridge University Press, 2014), p. 168.
    [58]
    M. E. Peskin, An Introduction to Quantum Field Theory (CRC Press, 2018), p. 40.
    [59]
    V. Dinu, C. Harvey, A. Ilderton, M. Marklund, and G. Torgrimsson, “Quantum radiation reaction: From interference to incoherence,” Phys. Rev. Lett. 116, 044801 (2016).10.1103/physrevlett.116.044801
    [60]
    [61]
    A. Ilderton, B. King, and D. Seipt, “Extended locally constant field approximation for nonlinear Compton scattering,” Phys. Rev. A 99, 042121 (2019).10.1103/physreva.99.042121
    [62]
    G. A. Krafft, B. Terzić, E. Johnson, and G. Wilson, “Scattered spectra from inverse Compton sources operating at high laser fields and high electron energies,” Phys. Rev. Accel. Beams 26, 034401 (2023).10.1103/physrevaccelbeams.26.034401
    [63]
    V. Petrillo, A. Bacci, C. Curatolo, I. Drebot, A. Giribono, C. Maroli, A. R. Rossi, L. Serafini, P. Tomassini, C. Vaccarezza, and A. Variola, “Polarization of x-gamma radiation produced by a Thomson and Compton inverse scattering,” Phys. Rev. ST Accel. Beams 18, 110701 (2015).10.1103/physrevstab.18.110701
    [64]
    K. Aulenbacher, E. Chudakov, D. Gaskell, J. Grames, and K. D. Paschke, “Precision electron beam polarimetry for next generation nuclear physics experiments,” Int. J. Mod. Phys. E 27, 1830004 (2018).10.1142/S0218301318300047
    [65]
    O. Klein and Y. Nishina, “Über die streuung von strahlung durch freie elektronen nach der neuen relativistischen quantendynamik von Dirac,” Z. Phys. 52, 853–868 (1929).10.1007/bf01366453
    [66]
    T. G. Blackburn, A. J. MacLeod, and B. King, “From local to nonlocal: Higher fidelity simulations of photon emission in intense laser pulses,” New J. Phys. 23, 085008 (2021).10.1088/1367-2630/ac1bf6
    [67]
    T. G. Blackburn, Ptarmigan (2021) https://github.com/tgblackburn/ptarmigan.
    [68]
    V. I. Ritus, “Quantum effects of the interaction of elementary particles with an intense electromagnetic field,” J. Sov. Laser Res. 6, 497 (1985).10.1007/BF01120220
    [69]
    T. Heinzl, B. King, and A. J. MacLeod, “Locally monochromatic approximation to QED in intense laser fields,” Phys. Rev. A 102, 063110 (2020).10.1103/physreva.102.063110
    [70]
    A. I. Titov, B. Kämpfer, A. Hosaka, T. Nousch, and D. Seipt, “Determination of the carrier envelope phase for short, circularly polarized laser pulses,” Phys. Rev. D 93, 045010 (2016).10.1103/physrevd.93.045010
    [71]
    B. King, “Interference effects in nonlinear Compton scattering due to pulse envelope,” Phys. Rev. D 103, 036018 (2021).10.1103/physrevd.103.036018
    [72]
    A. Di Piazza, M. Tamburini, S. Meuren, and C. H. Keitel, “Improved local-constant-field approximation for strong-field QED codes,” Phys. Rev. A 99, 022125 (2019).10.1103/physreva.99.022125
  • 加载中

Catalog

    通讯作者: 陈斌, bchen63@163.com
    • 1. 

      沈阳化工大学材料科学与工程学院 沈阳 110142

    1. 本站搜索
    2. 百度学术搜索
    3. 万方数据库搜索
    4. CNKI搜索

    Figures(7)

    Article Metrics

    Article views (2548) PDF downloads(9) Cited by()
    Proportional views
    Related

    /

    DownLoad:  Full-Size Img  PowerPoint
    Return
    Return