Follow us on Wechat

用微信扫码二维码

分享至好友和朋友圈

Volume 6 Issue 5
Sep.  2021
Turn off MathJax
Article Contents
Qu Kenan, Fisch Nathaniel J.. Generating optical supercontinuum and frequency comb in tenuous plasmas[J]. Matter and Radiation at Extremes, 2021, 6(5): 054402. doi: 10.1063/5.0052829
Citation: Qu Kenan, Fisch Nathaniel J.. Generating optical supercontinuum and frequency comb in tenuous plasmas[J]. Matter and Radiation at Extremes, 2021, 6(5): 054402. doi: 10.1063/5.0052829

Generating optical supercontinuum and frequency comb in tenuous plasmas

doi: 10.1063/5.0052829
More Information
  • Corresponding author: a)Author to whom correspondence should be addressed: kq@princeton.edu
  • Received Date: 2021-04-01
  • Accepted Date: 2021-07-10
  • Available Online: 2021-09-01
  • Publish Date: 2021-09-15
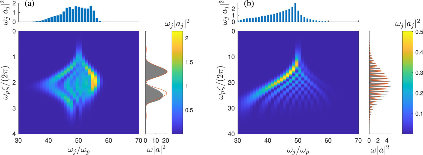
  • There are several mechanisms by which the frequency spectrum of a laser broadens when it propagates at near-relativistic intensity in a tenuous plasma. Focusing on one-dimensional effects, we identify two strong optical nonlinearities, namely, four-wave mixing (FWM) and forward Raman scattering (FRS), for creating octave-wide spectra. FWM dominates the interaction when the laser pulse is short and intense, and its combination with phase modulation produces a symmetrically broadened supercontinuum. FRS dominates when the laser pulse is long and relatively weak, and it broadens the laser spectrum mainly toward lower frequencies and produces a frequency comb. The frequency chirping combined with group velocity dispersion compresses the laser pulse, causing higher peak intensity.
  • loading
  • [1]
    J. J. Thomson and J. I. Karush, “Effects of finite-bandwidth driver on the parametric instability,” Phys. Fluids 17, 1608–1613 (1974).10.1063/1.1694940
    [2]
    A. N. Mostovych, S. P. Obenschain, J. H. Gardner, J. Grun, K. J. Kearney, C. K. Manka, E. A. McLean, and C. J. Pawley, “Brillouin scattering measurements from plasmas irradiated with spatially and temporally incoherent laser light,” Phys. Rev. Lett. 59, 1193–1196 (1987).10.1103/physrevlett.59.1193
    [3]
    J. A. Marozas, M. Hohenberger, M. J. Rosenberg, D. Turnbull, T. J. B. Collins, P. B. Radha, P. W. McKenty, J. D. Zuegel, F. J. Marshall, S. P. Regan, T. C. Sangster, W. Seka, E. M. Campbell, V. N. Goncharov, M. W. Bowers, J.-M. G. Di Nicola, G. Erbert, B. J. MacGowan, L. J. Pelz, and S. T. Yang, “First observation of cross-beam energy transfer mitigation for direct-drive inertial confinement fusion implosions using wavelength detuning at the national ignition facility,” Phys. Rev. Lett. 120, 085001 (2018).10.1103/PhysRevLett.120.085001
    [4]
    C. J. McKinstrie and R. Bingham, “Stimulated Raman forward scattering and the relativistic modulational instability of light waves in rarefied plasma,” Phys. Fluids B 4, 2626 (1992).10.1063/1.860178
    [5]
    T. M. Antonsen and P. Mora, “Self-focusing and Raman scattering of laser pulses in tenuous plasmas,” Phys. Rev. Lett. 69, 2204 (1992).10.1103/physrevlett.69.2204
    [6]
    T. M. Antonsen and P. Mora, “Self-focusing and Raman scattering of laser pulses in tenuous plasmas,” Phys. Fluids B 5, 1440 (1993).10.1063/1.860884
    [7]
    W. B. Mori, C. D. Decker, D. E. Hinkel, and T. Katsouleas, “Raman forward scattering of short-pulse high-intensity lasers,” Phys. Rev. Lett. 72, 1482–1485 (1994).10.1103/physrevlett.72.1482
    [8]
    C. D. Decker, W. B. Mori, K.-C. Tzeng, and T. Katsouleas, “The evolution of ultra-intense, short-pulse lasers in underdense plasmas,” Phys. Plasmas 3, 2047 (1996).10.1063/1.872001
    [9]
    C. D. Decker, W. B. Mori, T. Katsouleas, and D. E. Hinkel, “Spatial temporal theory of Raman forward scattering,” Phys. Plasmas 3, 1360 (1996).10.1063/1.871728
    [10]
    K. V. Lezhnin, K. Qu, and N. J. Fisch, “Suppression of power losses during laser pulse propagation in underdense plasma slab,” Phys. Plasmas 28, 023112 (2021).10.1063/5.0036759
    [11]
    M. R. Edwards, K. Qu, J. M. Mikhailova, and N. J. Fisch, “Beam cleaning of an incoherent laser via plasma Raman amplification,” Phys. Plasmas 24, 103110 (2017).10.1063/1.4997246
    [12]
    Y. Zhao, S. Weng, M. Chen, J. Zheng, H. Zhuo, C. Ren, Z. Sheng, and J. Zhang, “Effective suppression of parametric instabilities with decoupled broadband lasers in plasma,” Phys. Plasmas 24, 112102 (2017).10.1063/1.5003420
    [13]
    J. P. Palastro, J. G. Shaw, R. K. Follett, A. Colaïtis, D. Turnbull, A. V. Maximov, V. N. Goncharov, and D. H. Froula, “Resonance absorption of a broadband laser pulse,” Phys. Plasmas 25, 123104 (2018).10.1063/1.5063589
    [14]
    A. A. Solodov, V. M. Malkin, and N. J. Fisch, “Random density inhomogeneities and focusability of the output pulses for plasma-based powerful backward Raman amplifiers,” Phys. Plasmas 10, 2540–2544 (2003).10.1063/1.1576761
    [15]
    S. Y. Kalmykov, S. A. Yi, and G. Shvets, “All-optical suppression of relativistic self-focusing of laser beams in plasmas,” Phys. Rev. E 78, 057401 (2008).10.1103/PhysRevE.78.057401
    [16]
    S. Kalmykov, S. Austin Yi, and G. Shvets, “All-optical control of nonlinear focusing of laser beams in plasma beat wave accelerator,” Plasma Phys. Controlled Fusion 51, 024011 (2009).10.1088/0741-3335/51/2/024011
    [17]
    K.-C. Tzeng, W. B. Mori, and C. D. Decker, “Anomalous absorption and scattering of short-pulse high-intensity lasers in underdense plasmas,” Phys. Rev. Lett. 76, 3332–3335 (1996).10.1103/physrevlett.76.3332
    [18]
    R. K. Follett, J. G. Shaw, J. F. Myatt, J. P. Palastro, R. W. Short, and D. H. Froula, “Suppressing two-plasmon decay with laser frequency detuning,” Phys. Rev. Lett. 120, 135005 (2018).10.1103/physrevlett.120.135005
    [19]
    E. Esarey, C. B. Schroeder, and W. P. Leemans, “Physics of laser-driven plasma-based electron accelerators,” Rev. Mod. Phys. 81, 1229 (2009).10.1103/revmodphys.81.1229
    [20]
    R. S. Craxton, K. S. Anderson, T. R. Boehly, V. N. Goncharov, D. R. Harding, J. P. Knauer, R. L. McCrory, P. W. McKenty, D. D. Meyerhofer, J. F. Myatt, A. J. Schmitt, J. D. Sethian, R. W. Short, S. Skupsky, W. Theobald, W. L. Kruer, K. Tanaka, R. Betti, T. J. B. Collins, J. A. Delettrez, S. X. Hu, J. A. Marozas, A. V. Maximov, D. T. Michel, P. B. Radha, S. P. Regan, T. C. Sangster, W. Seka, A. A. Solodov, J. M. Soures, C. Stoeckl, and J. D. Zuegel, “Direct-drive inertial confinement fusion: A review,” Phys. Plasmas 22, 110501 (2015).10.1063/1.4934714
    [21]
    S. Corde, K. Ta Phuoc, G. Lambert, R. Fitour, V. Malka, A. Rousse, A. Beck, and E. Lefebvre, “Femtosecond x rays from laser-plasma accelerators,” Rev. Mod. Phys. 85, 1–48 (2013).10.1103/revmodphys.85.1
    [22]
    W. Koechner, “Thermal lensing in a Nd:YAG laser rod,” Appl. Opt. 9, 2548–2553 (1970).10.1364/ao.9.002548
    [23]
    B. C. Stuart, M. D. Feit, A. M. Rubenchik, B. W. Shore, and M. D. Perry, “Laser-induced damage in dielectrics with nanosecond to subpicosecond pulses,” Phys. Rev. Lett. 74, 2248–2251 (1995).10.1103/physrevlett.74.2248
    [24]
    B. I. Cohen, A. N. Kaufman, and K. M. Watson, “Beat heating of a plasma,” Phys. Rev. Lett. 29, 581 (1972).10.1103/physrevlett.29.581
    [25]
    M. N. Rosenbluth and C. S. Liu, “Excitation of plasma waves by two laser beams,” Phys. Rev. Lett. 29, 701–705 (1972).10.1103/physrevlett.29.701
    [26]
    R. R. E. Salomaa and S. J. Karttunen, “Application and generation of large amplitude plasma waves by beating of two intense laser beams,” Phys. Scr. 33, 370 (1986).10.1088/0031-8949/33/4/012
    [27]
    S. J. Karttunen and R. R. E. Salomaa, “Electromagnetic field cascading in the beat-wave generation of plasma waves,” Phys. Rev. Lett. 56, 604 (1986).10.1103/physrevlett.56.604
    [28]
    P. Gibbon, “The self-trapping of light waves by beat-wave excitation,” Phys. Fluids B 2, 2196–2208 (1990).10.1063/1.859401
    [29]
    S. Kalmykov and G. Shvets, “Compression of laser radiation in plasmas using electromagnetic cascading,” Phys. Rev. Lett. 94, 235001 (2005).10.1103/physrevlett.94.235001
    [30]
    S. Kalmykov and G. Shvets, “Nonlinear evolution of the plasma beat wave: Compressing the laser beat notes via electromagnetic cascading,” Phys. Rev. E 73, 046403 (2006).10.1103/PhysRevE.73.046403
    [31]
    S. T. Cundiff and J. Ye, “Colloquium: Femtosecond optical frequency combs,” Rev. Mod. Phys. 75, 325–342 (2003).10.1103/revmodphys.75.325
    [32]
    T. M. Fortier, P. A. Roos, D. J. Jones, S. T. Cundiff, R. D. R. Bhat, and J. E. Sipe, “Carrier-envelope phase-controlled quantum interference of injected photocurrents in semiconductors,” Phys. Rev. Lett. 92, 147403 (2004).10.1103/physrevlett.92.147403
    [33]
    T. Udem, R. Holzwarth, and T. W. Hänsch, “Optical frequency metrology,” Nature 416, 233–237 (2002).10.1038/416233a
    [34]
    T. Fortier and E. Baumann, “20 years of developments in optical frequency comb technology and applications,” Commun. Phys. 2, 153 (2019).10.1038/s42005-019-0249-y
    [35]
    L.-L. Yu, Y. Zhao, L.-J. Qian, M. Chen, S.-M. Weng, Z.-M. Sheng, D. A. Jaroszynski, W. B. Mori, and J. Zhang, “Plasma optical modulators for intense lasers,” Nat. Commun. 7, 11893 (2016).10.1038/ncomms11893
    [36]
    D. G. Steel and J. F. Lam, “Degenerate four-wave mixing in plasmas,” Opt. Lett. 4, 363–365 (1979).10.1364/ol.4.000363
    [37]
    J. F. Federici, “Review of four-wave mixing and phase conjugation in plasmas,” IEEE Trans. Plasma Sci. 19, 549–564 (1991).10.1109/27.90319
    [38]
    V. M. Malkin and N. J. Fisch, “Towards megajoule x-ray lasers via relativistic four-photon cascade in plasma,” Phys. Rev. E 101, 023211 (2020).10.1103/PhysRevE.101.023211
    [39]
    V. M. Malkin and N. J. Fisch, “Resonant four-photon scattering of collinear laser pulses in plasma,” Phys. Rev. E 102, 063207 (2020).10.1103/PhysRevE.102.063207
    [40]
    J. M. Dudley, G. Genty, and S. Coen, “Supercontinuum generation in photonic crystal fiber,” Rev. Mod. Phys. 78, 1135–1184 (2006).10.1103/revmodphys.78.1135
    [41]
    J. M. Dudley and G. Genty, “Supercontinuum light,” Phys. Today 66(7), 29–34 (2013).10.1063/pt.3.2045
    [42]
    J. M. Dawson, “Nonlinear electron oscillations in a cold plasma,” Phys. Rev. 113, 383 (1959).10.1103/physrev.113.383
    [43]
    C. J. McKinstrie, A. Simon, and E. A. Williams, “Nonlinear saturation of stimulated Raman scattering in a homogeneous plasma,” Phys. Fluids 27, 2738 (1984).10.1063/1.864578
    [44]
    A. A. Balakin, G. M. Fraiman, Q. Jia, and N. J. Fisch, “Influence of nonlinear detuning at plasma wavebreaking threshold on backward Raman compression of non-relativistic laser pulses,” Phys. Plasmas 25, 063106 (2018).10.1063/1.5028567
    [45]
    T. D. Arber, K. Bennett, C. S. Brady, A. Lawrence-Douglas, M. G. Ramsay, N. J. Sircombe, P. Gillies, R. G. Evans, H. Schmitz, A. R. Bell, and C. P. Ridgers, “Contemporary particle-in-cell approach to laser-plasma modelling,” Plasma Phys. Controlled Fusion 57, 113001 (2015).10.1088/0741-3335/57/11/113001
    [46]
    P. Sprangle, E. Esarey, and A. Ting, “Nonlinear theory of intense laser-plasma interactions,” Phys. Rev. Lett. 64, 2011–2014 (1990).10.1103/physrevlett.64.2011
    [47]
    P. Sprangle, E. Esarey, and A. Ting, “Nonlinear interaction of intense laser pulses in plasmas,” Phys. Rev. A 41, 4463–4469 (1990).10.1103/physreva.41.4463
  • 加载中

Catalog

    通讯作者: 陈斌, bchen63@163.com
    • 1. 

      沈阳化工大学材料科学与工程学院 沈阳 110142

    1. 本站搜索
    2. 百度学术搜索
    3. 万方数据库搜索
    4. CNKI搜索

    Figures(7)

    Article Metrics

    Article views (2966) PDF downloads(90) Cited by()
    Proportional views
    Related

    /

    DownLoad:  Full-Size Img  PowerPoint
    Return
    Return