Gonzalez-Arrabal R., Rivera A., Perlado J. M.. Limitations for tungsten as plasma facing material in the diverse scenarios of the European inertial confinement fusion facility HiPER: Current status and new approaches[J]. Matter and Radiation at Extremes, 2020, 5(5): 055201. doi: 10.1063/5.0010954
Citation:
Gonzalez-Arrabal R., Rivera A., Perlado J. M.. Limitations for tungsten as plasma facing material in the diverse scenarios of the European inertial confinement fusion facility HiPER: Current status and new approaches[J]. Matter and Radiation at Extremes, 2020, 5(5): 055201. doi: 10.1063/5.0010954
Gonzalez-Arrabal R., Rivera A., Perlado J. M.. Limitations for tungsten as plasma facing material in the diverse scenarios of the European inertial confinement fusion facility HiPER: Current status and new approaches[J]. Matter and Radiation at Extremes, 2020, 5(5): 055201. doi: 10.1063/5.0010954
Citation:
Gonzalez-Arrabal R., Rivera A., Perlado J. M.. Limitations for tungsten as plasma facing material in the diverse scenarios of the European inertial confinement fusion facility HiPER: Current status and new approaches[J]. Matter and Radiation at Extremes, 2020, 5(5): 055201. doi: 10.1063/5.0010954
Limitations for tungsten as plasma facing material in the diverse scenarios of the European inertial confinement fusion facility HiPER: Current status and new approaches
The high-power laser energy research (HiPER) project was a European project for demonstrating the feasibility of inertial fusion energy based on using direct-drive targets in a shock ignition scheme using a drywall evacuated chamber. HiPER was intended to drive the transition from a scientific proof of principle to a demonstration power plant in Europe. The project was divided into three realistic scenarios (Experimental, Prototype, and Demo) to help identify open problems and select appropriate technologies to solve them. One of the problems identified was the lack of appropriate plasma-facing materials (PFMs) for the reaction chamber. Therefore, a major challenge was to develop radiation-resistant materials able to withstand the large thermal loads and radiation in these reactors. In this paper, we describe the main threats that coarse-grained W would face in the diverse HiPER scenarios. Based on purely thermomechanical considerations, the W lifetimes for the HiPER Prototype and Demo scenarios are limited by fatigue to 14 000 h and 28 h, respectively. The combined effects of thermal load and atomistic damage significantly reduce these lifetimes to just ∼1000 shots for the Experimental scenario and a few minutes and seconds for the Prototype and Demo scenarios, respectively. Thus, coarse-grained W is not an appropriate PFM for the Prototype or Demo scenarios. Therefore, alternatives to this material need to be identified. Here, we review some of the different approaches that are being investigated, highlight the work done to characterize these new materials, and suggest further experiments.
R.Aymar, “The ITER project,” IEEE Trans. Plasma Sci.25, 1187–1195 (1997).10.1109/27.650895 doi: 10.1109/27.650895
[2]
P. H.Rebut, “ITER: The first experimental fusion reactor,” Fusion Eng. Des.27, 3–16 (1995).10.1016/0920-3796(95)90113-2 doi: 10.1016/0920-3796(95)90113-2
[3]
J. B.Lister, B. P.Duval, and X.Llobet, “The ITER project and its data handling requirements,” in Proceedings of ICALEPCS2003, the 9th International Conference on Accelerator and Large Experimental Physics Control Systems, 13-17 October 2003 (ICALEPCS, Gyeongju, Korea, 2003), pp. 589–593.
[4]
M. J.Edwards, P.Patel, J.Lindlet al., “Progress towards ignition on the national ignition facility,” Phys. Plasmas20, 070501 (2013).10.1063/1.4816115 doi: 10.1063/1.4816115
[5]
J. M. D.Nicola, T.Bond, M.Bowerset al., “The national ignition facility: Laser performance status and performance quad results at elevated energy,” Nucl. Fusion59, 032004 (2018).10.1088/1741-4326/aac69e doi: 10.1088/1741-4326/aac69e
[6]
J.-L.Miquel, C.Lion, and P.Vivini, “The laser mega-joule : LMJ & PETAL status and program overview,” J. Phys.: Conf. Ser.688, 012067 (2016).10.1088/1742-6596/688/1/012067 doi: 10.1088/1742-6596/688/1/012067
[7]
E. M.Campbell, V. N.Goncharov, T. C.Sangsteret al., “Laser-direct-drive program: Promise, challenge, and path forward,” Matter Radiat. Extremes2, 37–54 (2017).10.1016/j.mre.2017.03.001 doi: 10.1016/j.mre.2017.03.001
[8]
H.Azechi, “A pathway to laser fusion energy in Japan,” J. Phys.: Conf. Ser.717, 012119 (2016).10.1088/1742-6596/717/1/012119 doi: 10.1088/1742-6596/717/1/012119
[9]
G.Federici, W.Biel, M. R.Gilbertet al., “European DEMO design strategy and consequences for materials,” Nucl. Fusion57, 092002 (2017).10.1088/1741-4326/57/9/092002 doi: 10.1088/1741-4326/57/9/092002
[10]
E. D. M.Leader, I.Cook, and P.Sardain, Conceptual Study of Commercial Fusion Power Plants Final Report of the European Fusion Power Plant Conceptual Study (PPCS) EFDA-RP-RE-5.0, European Fusion Development Agreement EFDA, 2005.
B. N.Kolbasov, V. A.Belyakov, E. N.Bondarchuket al., “Russian concept for a DEMO-S demonstration fusion power reactor,” Fusion Eng. Des.83, 870–876 (2008).10.1016/j.fusengdes.2008.07.041 doi: 10.1016/j.fusengdes.2008.07.041
[13]
K.Kim, H. C.Kim, S.Ohet al., “A preliminary conceptual design study for Korean fusion DEMO reactor,” Fusion Eng. Des.88, 488–491 (2013).10.1016/j.fusengdes.2013.02.123 doi: 10.1016/j.fusengdes.2013.02.123
[14]
Y.Wan, J.Li, Y.Liuet al., “Overview of the present progress and activities on the CFETR,” Nucl. Fusion57, 102009 (2017).10.1088/1741-4326/aa686a doi: 10.1088/1741-4326/aa686a
[15]
B.Le Garrec, S.Atzeni, D.Bataniet al., “HiPER laser: From capsule design to the laser reference design,” Proc SPIE7916, 79160F (2011).10.1117/12.879716 doi: 10.1117/12.879716
B.Rus, C.Edwards, M.Tyldesleyet al., “Repetition rate target and fusion chamber systems for HiPER,” in Diode-Pumped High Energy and High Power Lasers; ELI: Ultrarelativistic Laser-Matter Interactions and Petawatt Photonics; and HiPER: The European Pathway to Laser Energy (International Society for Optics and Photonics, 2011), Vol. 8080.
[18]
J. M.Perlado, J.Sanz, J.Alvarezet al., in IFE Plant Technology Overview and Contribution to HiPER Proposal, edited by J.Hein, L. O.Silva, G.Korn, L. A.Gizzi, and C.Edwards (SPIE, 2011), p. 80801Z.
[19]
T. M.Anklam, M.Dunne, W. R.Meieret al., “LIFE: The case for early commercialization of fusion energy,” Fusion Sci. Technol.60, 66–71 (2011).10.13182/fst10-329 doi: 10.13182/fst10-329
[20]
M.Dunne, E. I.Moses, P.Amendtet al., “Timely delivery of laser inertial fusion energy (LIFE),” Fusion Sci. Technol.60, 19–27 (2011).10.13182/fst10-316 doi: 10.13182/fst10-316
J. F.Latkowski, R. P.Abbott, S.Aceveset al., “Chamber design for the laser inertial fusion energy (LIFE) engine,” Fusion Sci. Technol.60, 54–60 (2011).10.13182/fst10-318 doi: 10.13182/fst10-318
[23]
J. L.Kline, S. H.Batha, L. R.Benedettiet al., “Progress of indirect drive inertial confinement fusion in the United States,” Nucl. Fusion59, 112018 (2019).10.1088/1741-4326/ab1ecf doi: 10.1088/1741-4326/ab1ecf
[24]
S.Atzeni, “Inertial confinement fusion with advanced ignition schemes: Fast ignition and shock ignition,” in Laser-Plasma Interactions and Applications, edited by P.McKenna, D.Neely, R.Bingham, and D.Jaroszynski (Springer International Publishing, 2013), pp. 243–277.
[25]
See http://www.hiper-laser.org/Resources/HiPER_Preparatory_Phase_Completion_Report.pdf for the Final Report on the HiPER Preparatoy Phase Study.
[26]
R.Linford, R.Betti, J.Dahlburget al., “A review of the U.S. Department of energy’s inertial fusion energy program,” J. Fusion Energy22, 93–126 (2003).10.1023/b:jofe.0000036408.11067.cd doi: 10.1023/b:jofe.0000036408.11067.cd
[27]
See http://aries.ucsd.edu/ARIES/DOCS/ARIES-IFE/ for ARIES Web Site -ARIES-IFE Documents.
[28]
T.Norimatsu, Y.Shimada, H.Furukawaet al., “Activities on the laser fusion reactor KOYO-F in Japan,” Fusion Sci. Technol.56, 361–368 (2009).10.13182/fst09-a8928 doi: 10.13182/fst09-a8928
[29]
T.Norimatsu, Y.Kozaki, H.Shiragaet al., “Laser fusion experimental reactor LIFT based on fast ignition and the issue,” in CLEO: 2013, OSA Technical Digest (Online) (Optical Society of America, 2013), paper ATh4O.3.
[30]
Y.Ogawa, T.Goto, K.Okanoet al., “Conceptual design of a fast-ignition laser fusion reactor based on a dry wall chamber,” J. Phys.: Conf. Ser.112, 032033 (2008).10.1088/1742-6596/112/3/032033 doi: 10.1088/1742-6596/112/3/032033
[31]
M.Tabak, J.Hammer, M. E.Glinskyet al., “Ignition and high gain with ultrapowerful lasers,” Phys. Plasmas1, 1626–1634 (1994).10.1063/1.870664 doi: 10.1063/1.870664
[32]
S.Atzeni and M.Tabak, “Overview of ignition conditions and gain curves for the fast ignitor,” Plasma Phys. Control. Fusion47, B769–B776 (2005).10.1088/0741-3335/47/12b/s58 doi: 10.1088/0741-3335/47/12b/s58
[33]
X.Ribeyre, G.Schurtz, M.Lafonet al., “Shock ignition: An alternative scheme for HiPER,” Plasma Phys. Control. Fusion51, 015013 (2008).10.1088/0741-3335/51/1/015013 doi: 10.1088/0741-3335/51/1/015013
[34]
R.Betti, W.Theobald, C. D.Zhouet al., “Shock ignition of thermonuclear fuel with high areal densities,” J. Phys.: Conf. Ser.112, 022024 (2008).10.1088/1742-6596/112/2/022024 doi: 10.1088/1742-6596/112/2/022024
[35]
G.Velarde, J. M.Aragonés, M. C.Gonzalezet al., “Simultaneous analysis of neutron damage, tritium generation and energy deposition in different cavity designs for ICF systems,” Fusion Technol.8, 1850–1855 (1985).10.13182/fst85-a40030 doi: 10.13182/fst85-a40030
D.Cereceda, M.Diehl, F.Roterset al., “Unraveling the temperature dependence of the yield strength in single-crystal tungsten using atomistically-informed crystal plasticity calculations,” Int. J. Plast.78, 242–265 (2016).10.1016/j.ijplas.2015.09.002 doi: 10.1016/j.ijplas.2015.09.002
[39]
Y.Igitkhanov, B.Bazylev, I.Landmanet al., Design Strategy for the PFC in DEMO Reactor (KIT Scientific Reports , 2013), https://publikationen.bibliothek.kit.edu/1000032116.
[40]
A.Suslova, O.El-Atwani, D.Sagapuramet al., “Recrystallization and grain growth induced by ELMs-like transient heat loads in deformed tungsten samples,” Sci. Rep.4, 6845 (2014).10.1038/srep06845 doi: 10.1038/srep06845
[41]
T.Loewenhoff, J.Linke, G.Pintsuket al., “Tungsten and CFC degradation under combined high cycle transient and steady state heat loads,” Fusion Eng. Des.87, 1201–1205 (2012).10.1016/j.fusengdes.2012.02.106 doi: 10.1016/j.fusengdes.2012.02.106
U.Yuki, Y.Takaoka, S.Saitoet al., “Blister formation on tungsten irradiated by 4 MeV helium ion beam in ordinary temperature,” Plasma Fusion Res.13, 1205084 (2018).10.1585/pfr.13.1205084 doi: 10.1585/pfr.13.1205084
[44]
M. Y.Ye, H.Kanehara, S.Fukutaet al., “Blister formation on tungsten surface under low energy and high flux hydrogen plasma irradiation in NAGDIS-I,” J. Nucl. Mater.313-316, 72–76 (2003).10.1016/s0022-3115(02)01349-1 doi: 10.1016/s0022-3115(02)01349-1
[45]
Y.Ueda, T.Funabiki, T.Shimadaet al., “Hydrogen blister formation and cracking behavior for various tungsten materials,” J. Nucl. Mater.337-339, 1010–1014 (2005).10.1016/j.jnucmat.2004.10.077 doi: 10.1016/j.jnucmat.2004.10.077
[46]
M.Thompson, Helium Nano-Bubble Formation in Tungsten: Measurement with Grazing-Incidence Small Angle X-Ray Scattering (Springer, 2018).
[47]
J.Roth and K.Schmid, “Hydrogen in tungsten as plasma-facing material,” Phys. Scr.T145, 014031 (2011).10.1088/0031-8949/2011/t145/014031 doi: 10.1088/0031-8949/2011/t145/014031
[48]
T.Tanabe, “Review of hydrogen retention in tungsten,” Phys. Scr.T159, 014044 (2014).10.1088/0031-8949/2014/t159/014044 doi: 10.1088/0031-8949/2014/t159/014044
[49]
R.Bullough and S. M.Murphy, “The effects of helium generation and pulsing on damage processes in reactor materials,” J. Nucl. Mater.133-134, 92–99 (1985).10.1016/0022-3115(85)90117-5 doi: 10.1016/0022-3115(85)90117-5
[50]
N. H.Packan, “The effect of pulsed irradiation on microstructural evolution,” Radiat. Eff.101, 189–198 (1987).10.1080/00337578708224747 doi: 10.1080/00337578708224747
[51]
T. J.Renk, P. P.Provencio, S. V.Prasadet al., “Materials modification using intense ion beams,” Proc. IEEE92, 1057–1081 (2004).10.1109/jproc.2004.829024 doi: 10.1109/jproc.2004.829024
[52]
R. L.Gullickson and H. L.Sahlin, “Measurements of high-energy deuterons in the plasma-focus device,” J. Appl. Phys.49, 1099–1105 (1978).10.1063/1.325045 doi: 10.1063/1.325045
[53]
R. S.Rawat, “Dense plasma focus—From alternative fusion source to versatile high energy density plasma source for plasma nanotechnology,” J. Phys.: Conf. Ser.591, 012021 (2015).10.1088/1742-6596/591/1/012021 doi: 10.1088/1742-6596/591/1/012021
B.Väli, T.Laas, J.Pajuet al., “The experimental and theoretical investigations of damage development and distribution in double-forged tungsten under plasma irradiation-initiated extreme heat loads,” Nukleonika61, 169–177 (2015).10.1515/nuka-2016-0029 doi: 10.1515/nuka-2016-0029
[56]
M. J.Inestrosa-Izurieta, E.Ramos-Moore, and L.Soto, “Morphological and structural effects on tungsten targets produced by fusion plasma pulses from a table top plasma focus,” Nucl. Fusion55, 093011 (2015).10.1088/0029-5515/55/9/093011 doi: 10.1088/0029-5515/55/9/093011
[57]
W. H.Bostick, V.Nardi, W.Prioret al., “Radiation damage (blistering) in Al, Cu, Si by exposure to a plasma focus discharge,” J. Nucl. Mater.63, 356–372 (1976).10.1016/0022-3115(76)90350-0 doi: 10.1016/0022-3115(76)90350-0
[58]
International Atomic Energy Agency, Investigations of Materials under High Repetition and Intense Fusion Pulses: IAEA-TECDOC-1829 (IAEA, Vienna, 2017), ISBN: 978-92-0-108217-6.
[59]
Pathways to Energy from Inertial Fusion: Materials beyond Ignition. IAEA-TECDOC-1911 (IAEA, Vienna, 2020), ISBN: 978-92-0-107720-2.
[60]
J.Alvarez, R.Gonzalez-Arrabal, A.Riveraet al., “Potential common radiation problems for components and diagnostics in future magnetic and inertial confinement fusion devices,” Fusion Eng. Des.86, 1762–1765 (2011).10.1016/j.fusengdes.2011.01.080 doi: 10.1016/j.fusengdes.2011.01.080
[61]
H.Greuner, B.Boeswirth, J.Boscaryet al., “High heat flux facility GLADIS:: Operational characteristics and results of W7-X pre-series target tests,” J. Nucl. Mater.367-370, 1444–1448 (2007).10.1016/j.jnucmat.2007.04.004 doi: 10.1016/j.jnucmat.2007.04.004
[62]
H.Sakakita, S.Kiyama, Y.Hiranoet al., Development of Strongly Focused High-Current-Density Ion Beam System and Its Application for the Alpha Particle Measurement in ITER, https://www.researchgate.net/publication/228400090 8.
[63]
R.Juárez, C.Zanzi, J.Hernándezet al., “Thermo-fluid dynamics and corrosion analysis of a self cooled lead lithium blanket for the HiPER reactor,” Nucl. Fusion55, 093003 (2015).10.1088/0029-5515/55/9/093003 doi: 10.1088/0029-5515/55/9/093003
[64]
A. R.Raffray, “Threats, design limits and design windows for laser IFE dry wall chambers,” J. Nucl. Mater.347, 178–191 (2005).10.1016/j.jnucmat.2005.08.015 doi: 10.1016/j.jnucmat.2005.08.015
[65]
R.Juárez, J.Sanz, C.Sánchezet al., “Studies of a self-cooled lead lithium blanket for HiPER reactor,” EPJ Web Conf.59, 11005 (2013).10.1051/epjconf/20135911005 doi: 10.1051/epjconf/20135911005
[66]
See http://aries.ucsd.edu/ARIES/DOCS/ARIES-IFE/SPECTRA/ for ARIES-IFE Target Spectra.
[67]
D.Garoz, R.González-Arrabal, R.Juárezet al., “Silica final lens performance in laser fusion facilities: HiPER and LIFE,” Nucl. Fusion53, 013010 (2013).10.1088/0029-5515/53/1/013010 doi: 10.1088/0029-5515/53/1/013010
[68]
A. R.Raffray, L.El-Guebaly, G.Federiciet al., “Dry-wall survival under IFE conditions,” Fusion Sci. Technol.46, 417–437 (2004).10.13182/fst04-a581 doi: 10.13182/fst04-a581
[69]
J.Alvarez, D.Garoz, R.Gonzalez-Arrabalet al., “The role of spatial and temporal radiation deposition in inertial fusion chambers: The case of HiPER,” Nucl. Fusion51, 053019 (2011).10.1088/0029-5515/51/5/053019 doi: 10.1088/0029-5515/51/5/053019
[70]
J. A.Ruiz, A.Rivera, R.Gonzalez-Arrabalet al., “Key paramaters in the design of HiPER reaction chamber,” in 37th EPS Conference on Plasma Physics 2010 (EPS, 2010), Vol. 3.
[71]
D.Garoz, A. R.Páramo, A.Riveraet al., “Modelling the thermomechanical behaviour of the tungsten first wall in HiPER laser fusion scenarios,” Nucl. Fusion56, 126014 (2016).10.1088/0029-5515/56/12/126014 doi: 10.1088/0029-5515/56/12/126014
[72]
A. R.Páramo, F.Sordo, J. M.Perladoet al., “Viability of the ESS-Bilbao neutron source for irradiation of nuclear fusion materials,” J. Nucl. Mater.444, 469–474 (2014).10.1016/j.jnucmat.2013.10.014 doi: 10.1016/j.jnucmat.2013.10.014
[73]
J. F.Ziegler, M. D.Ziegler, and J. P.Biersack, “SRIM—The stopping and range of ions in matter (2010),” Nucl. Instrum. Methods Phys. Res., Sect. B268, 1818–1823 (2010).10.1016/j.nimb.2010.02.091 doi: 10.1016/j.nimb.2010.02.091
[74]
curtis.suplee@nist.gov, X-Ray Mass Attenuation Coefficients, NIST https://www.nist.gov/pml/x-ray-mass-attenuation-coefficients, 2009.
[75]
J.Linke, F.Escourbiac, I. V.Mazulet al., “High heat flux testing of plasma facing materials and components – status and perspectives for ITER related activities,” J. Nucl. Mater.367-370, 1422–1431 (2007).10.1016/j.jnucmat.2007.04.028 doi: 10.1016/j.jnucmat.2007.04.028
[76]
T. J.Renk, P. P.Provencio, T. J.Tanakaet al., “Survivability of first-wall materials in fusion devices: An experimental study of material exposure to pulsed energetic ions,” Fusion Sci. Technol.61, 57–80 (2012).10.13182/fst12-a13339 doi: 10.13182/fst12-a13339
[77]
J. D.Sethian, A. R.Raffray, J.Latkowskiet al., “An overview of the development of the first wall and other principal components of a laser fusion power plant,” J. Nucl. Mater.347, 161–177 (2005).10.1016/j.jnucmat.2005.08.019 doi: 10.1016/j.jnucmat.2005.08.019
[78]
J. W.Davis and P. D.Smith, “ITER material properties handbook,” J. Nucl. Mater.233-237, 1593–1596 (1996).10.1016/s0022-3115(96)00202-4 doi: 10.1016/s0022-3115(96)00202-4
[79]
I.Uytdenhouwen, M.Decréton, T.Hiraiet al., “Influence of recrystallization on thermal shock resistance of various tungsten grades,” J. Nucl. Mater.363-365, 1099–1103 (2007).10.1016/j.jnucmat.2007.01.146 doi: 10.1016/j.jnucmat.2007.01.146
[80]
J. P.Blanchard and C. J.Martin, “Thermomechanical effects in a laser IFE first wall,” J. Nucl. Mater.347, 192–206 (2005).10.1016/j.jnucmat.2005.08.007 doi: 10.1016/j.jnucmat.2005.08.007
[81]
A.Wagner and D. N.Seidman, “Range profiles of 300- and 475-eV He+ ions and the diffusivity of 4He in tungsten,” Phys. Rev. Lett.42, 515–518 (1979).10.1103/physrevlett.42.515 doi: 10.1103/physrevlett.42.515
A. S.Soltan, R.Vassen, and P.Jung, “Migration and immobilization of hydrogen and helium in gold and tungsten at low temperatures,” J. Appl. Phys.70, 793–797 (1991).10.1063/1.349636 doi: 10.1063/1.349636
[84]
C. S.Becquart, C.Domain, U.Sarkaret al., “Microstructural evolution of irradiated tungsten: Ab initio parameterisation of an OKMC model,” J. Nucl. Mater.403, 75–88 (2010).10.1016/j.jnucmat.2010.06.003 doi: 10.1016/j.jnucmat.2010.06.003
[85]
N.Zhang, Y.Zhang, Y.Yanget al., “Trapping of helium atom by vacancy in tungsten: A density functional theory study,” Eur. Phys. J. B90, 101 (2017).10.1140/epjb/e2017-80056-1 doi: 10.1140/epjb/e2017-80056-1
[86]
D.Nishijima, M. Y.Ye, N.Ohnoet al., “Formation mechanism of bubbles and holes on tungsten surface with low-energy and high-flux helium plasma irradiation in NAGDIS-II,” J. Nucl. Mater.329-333, 1029–1033 (2004).10.1016/j.jnucmat.2004.04.129 doi: 10.1016/j.jnucmat.2004.04.129
[87]
H.-B.Zhou, X.Ou, Y.Zhanget al., “Effect of carbon on helium trapping in tungsten: A first-principles investigation,” J. Nucl. Mater.440, 338–343 (2013).10.1016/j.jnucmat.2013.05.070 doi: 10.1016/j.jnucmat.2013.05.070
[88]
Y.Ueda and H. T.Lee, “Material mixing of tungsten with carbon and helium,” AIP Conf. Proc.1237, 92–105 (2010).10.1063/1.3447996 doi: 10.1063/1.3447996
[89]
K. D.Hammond, L.Hu, D.Maroudaset al., “Helium impurity transport on grain boundaries: Enhanced or inhibited?,” Europhys. Lett.110, 52002 (2015).10.1209/0295-5075/110/52002 doi: 10.1209/0295-5075/110/52002
[90]
X.-X.Wang, L.-L.Niu, and S.Wang, “Strong trapping and slow diffusion of helium in a tungsten grain boundary,” J. Nucl. Mater.487, 158–166 (2017).10.1016/j.jnucmat.2017.02.010 doi: 10.1016/j.jnucmat.2017.02.010
[91]
A.Bakaev, P.Grigorev, D.Terentyevet al., “Trapping of hydrogen and helium at dislocations in tungsten: An ab initio study,” Nucl. Fusion57, 126040 (2017).10.1088/1741-4326/aa7965 doi: 10.1088/1741-4326/aa7965
[92]
J.Boisse, A.De Backer, C.Domainet al., “Modeling of the self trapping of helium and the trap mutation in tungsten using DFT and empirical potentials based on DFT,” J. Mater. Res.29, 2374–2386 (2014).10.1557/jmr.2014.258 doi: 10.1557/jmr.2014.258
[93]
N. J.Dutta, N.Buzarbaruah, and S. R.Mohanty, “Damage studies on tungsten due to helium ion irradiation,” J. Nucl. Mater.452, 51–56 (2014).10.1016/j.jnucmat.2014.04.032 doi: 10.1016/j.jnucmat.2014.04.032
[94]
S. B.Gilliam, S. M.Gidcumb, N. R.Parikhet al., “Retention and surface blistering of helium irradiated tungsten as a first wall material,” J. Nucl. Mater.347, 289–297 (2005).10.1016/j.jnucmat.2005.08.017 doi: 10.1016/j.jnucmat.2005.08.017
[95]
S. J.Zenobia, R. F.Radel, B. B.Cipitiet al., “High temperature surface effects of He+ implantation in ICF fusion first wall materials,” J. Nucl. Mater.389, 213–220 (2009).10.1016/j.jnucmat.2009.02.004 doi: 10.1016/j.jnucmat.2009.02.004
[96]
S. J.Zenobia and G. L.Kulcinski, “Retention and surface pore formation in helium implanted tungsten as a fusion first wall material,” Fusion Sci. Technol.56, 352–360 (2009).10.13182/fst09-a8927 doi: 10.13182/fst09-a8927
[97]
A.Rivera, G.Valles, M. J.Caturlaet al., “Effect of ion flux on helium retention in helium-irradiated tungsten,” Nucl. Instrum. Methods Phys. Res., Sect. B303, 81–83 (2013).10.1016/j.nimb.2012.10.038 doi: 10.1016/j.nimb.2012.10.038
[98]
K.Heinola, T.Ahlgren, K.Nordlundet al., “Hydrogen interaction with point defects in tungsten,” Phys. Rev. B82, 094102 (2010).10.1103/physrevb.82.094102 doi: 10.1103/physrevb.82.094102
[99]
F.Liu, Y.Zhang, W.Hanet al., “Investigation of hydrogen behavior in tungsten exposed to high energy hydrogen plasma,” Nucl. Instrum. Methods Phys. Res., Sect. B307, 320–323 (2013).10.1016/j.nimb.2012.11.069 doi: 10.1016/j.nimb.2012.11.069
[100]
C.Guerrero, C.González, R.Iglesiaset al., “First principles study of the behavior of hydrogen atoms in a W monovacancy,” J. Mater. Sci.51, 1445–1455 (2016).10.1007/s10853-015-9464-4 doi: 10.1007/s10853-015-9464-4
R. A.Causet and T. J.Venhaus, “The use of tungsten in fusion reactors: A review of the hydrogen retention and migration properties,” Phys. Scr.T94, 9 (2001).10.1238/physica.topical.094a00009 doi: 10.1238/physica.topical.094a00009
[103]
O. V.Ogorodnikova, B.Tyburska, V. K.Alimovet al., “The influence of radiation damage on the plasma-induced deuterium retention in self-implanted tungsten,” J. Nucl. Mater.415, S661–S666 (2011).10.1016/j.jnucmat.2010.12.012 doi: 10.1016/j.jnucmat.2010.12.012
[104]
K. O. E.Henriksson, K.Nordlund, A.Krasheninnikovet al., “The depths of hydrogen and helium bubbles in tungsten: A comparison,” Fusion Sci. Technol.50, 43–57 (2006).10.13182/fst06-a1219 doi: 10.13182/fst06-a1219
[105]
Y.-L.Liu, Y.Zhang, G.-N.Luoet al., “Structure, stability and diffusion of hydrogen in tungsten: A first-principles study,” J. Nucl. Mater.390-391, 1032–1034 (2009).10.1016/j.jnucmat.2009.01.277 doi: 10.1016/j.jnucmat.2009.01.277
[106]
Y.Yu, X.Shu, Y.-N.Liuet al., “Molecular dynamics simulation of hydrogen dissolution and diffusion in a tungsten grain boundary,” J. Nucl. Mater.455, 91–95 (2014).10.1016/j.jnucmat.2014.04.016 doi: 10.1016/j.jnucmat.2014.04.016
[107]
Z.Zhao, Y.Li, C.Zhanget al., “Effect of grain size on the behavior of hydrogen/helium retention in tungsten: A cluster dynamics modeling,” Nucl. Fusion57, 086020 (2017).10.1088/1741-4326/aa7640 doi: 10.1088/1741-4326/aa7640
[108]
H.-B.Zhou, Y.-L.Liu, S.Jinet al., “Investigating behaviours of hydrogen in a tungsten grain boundary by first principles: From dissolution and diffusion to a trapping mechanism,” Nucl. Fusion50, 025016 (2010).10.1088/0029-5515/50/2/025016 doi: 10.1088/0029-5515/50/2/025016
[109]
P. M.Piaggi, E. M.Bringa, R. C.Pasianotet al., “Hydrogen diffusion and trapping in nanocrystalline tungsten,” J. Nucl. Mater.458, 233–239 (2015).10.1016/j.jnucmat.2014.12.069 doi: 10.1016/j.jnucmat.2014.12.069
[110]
C.González, M.Panizo-Laiz, N.Gordilloet al., “H trapping and mobility in nanostructured tungsten grain boundaries: A combined experimental and theoretical approach,” Nucl. Fusion55, 113009 (2015).10.1088/0029-5515/55/11/113009 doi: 10.1088/0029-5515/55/11/113009
[111]
U.von Toussaint, S.Gori, A.Manhardet al., “Molecular dynamics study of grain boundary diffusion of hydrogen in tungsten,” Phys. Scr.T145, 014036 (2011).10.1088/0031-8949/2011/t145/014036 doi: 10.1088/0031-8949/2011/t145/014036
[112]
G.Valles, M.Panizo-Laiz, C.Gonzálezet al., “Influence of grain boundaries on the radiation-induced defects and hydrogen in nanostructured and coarse-grained tungsten,” Acta Mater.122, 277–286 (2017).10.1016/j.actamat.2016.10.007 doi: 10.1016/j.actamat.2016.10.007
[113]
M.Panizo-Laiz, P.Díaz-Rodríguez, A.Riveraet al., “Experimental and computational studies of the influence of grain boundaries and temperature on the radiation-induced damage and hydrogen behavior in tungsten,” Nucl. Fusion59, 086055 (2019).10.1088/1741-4326/ab26e9 doi: 10.1088/1741-4326/ab26e9
[114]
A.Van Veen, H. A.Filius, J.De Vrieset al., “Hydrogen exchange with voids in tungsten observed with TDS and PA,” J. Nucl. Mater.155-157, 1113–1117 (1988).10.1016/0022-3115(88)90478-3 doi: 10.1016/0022-3115(88)90478-3
[115]
Z.Tian, J. W.Davis, and A. A.Haasz, “Deuterium retention in tungsten at fluences of up to 10 26 D+/m 2 using D+ ion beams,” J. Nucl. Mater.399, 101–107 (2010).10.1016/j.jnucmat.2010.01.007 doi: 10.1016/j.jnucmat.2010.01.007
[116]
A. A.Haasz, J. W.Davis, M.Poonet al., “Deuterium retention in tungsten for fusion use,” J. Nucl. Mater.258-263, 889–895 (1998).10.1016/s0022-3115(98)00072-5 doi: 10.1016/s0022-3115(98)00072-5
[117]
O. V.Ogorodnikova, “Fundamental aspects of deuterium retention in tungsten at high flux plasma exposure,” J. Appl. Phys.118, 074902 (2015).10.1063/1.4928407 doi: 10.1063/1.4928407
[118]
V. I.Dubinko, P.Grigorev, A.Bakaevet al., “Dislocation mechanism of deuterium retention in tungsten under plasma implantation,” J. Phys.: Condens. Matter26, 395001 (2014).10.1088/0953-8984/26/39/395001 doi: 10.1088/0953-8984/26/39/395001
[119]
H.Greuner, H.Maier, M.Baldenet al., “Investigation of W components exposed to high thermal and high H/He fluxes,” J. Nucl. Mater.417, 495–498 (2011).10.1016/j.jnucmat.2010.12.215 doi: 10.1016/j.jnucmat.2010.12.215
[120]
N.Enomoto, S.Muto, T.Tanabeet al., “Grazing-incidence electron microscopy of surface blisters in single- and polycrystalline tungsten formed by H+, D+ and He+ irradiation,” J. Nucl. Mater.385, 606–614 (2009).10.1016/j.jnucmat.2009.01.298 doi: 10.1016/j.jnucmat.2009.01.298
[121]
S. H.Saw, V.Damideh, J.Aliet al., “Damage study of irradiated tungsten using fast focus mode of a 2.2 kJ plasma focus,” Vacuum144, 14–20 (2017).10.1016/j.vacuum.2017.07.002 doi: 10.1016/j.vacuum.2017.07.002
[122]
V.Pimenov, E.Demina, S.Maslyaevet al., “Damage and modification of materials produced by pulsed ion and plasma streams in Dense Plasma Focus device,” Nukleonika53, 111–121 (2008).
[123]
V.Shirokova, T.Laas, J.Priimetset al., “Estimation of tungsten and ods tungsten damages after dense plasma exposure in PF-12 and PF-1000,” Probl. At. Sci. Technol.82(6), 232–234 (2012).
[124]
E. V.Demina, V.Dubrovsky, V.Gribkovet al., “Application of a plasma accelerator of the dense plasma focus type in simulation of radiation damage and testing of materials for nuclear systems,” in International Topical Meeting on Nuclear Research Applications and Utilization of Accelerators (IAEA, Vienna, 2009).
[125]
R.Gonzalez-Arrabal, M.Panizo-Laiz, N.Gordilloet al., “Hydrogen accumulation in nanostructured as compared to the coarse-grained tungsten,” J. Nucl. Mater.453, 287–295 (2014).10.1016/j.jnucmat.2014.06.057 doi: 10.1016/j.jnucmat.2014.06.057
[126]
C. S.Becquart and C.Domain, “A density functional theory assessment of the clustering behaviour of He and H in tungsten,” J. Nucl. Mater.386-388, 109–111 (2009).10.1016/j.jnucmat.2008.12.085 doi: 10.1016/j.jnucmat.2008.12.085
[127]
H.-B.Zhou, Y.-L.Liu, S.Jinet al., “Towards suppressing H blistering by investigating the physical origin of the H–He interaction in W,” Nucl. Fusion50, 115010 (2010).10.1088/0029-5515/50/11/115010 doi: 10.1088/0029-5515/50/11/115010
[128]
N.Juslin and B. D.Wirth, “Molecular dynamics simulation of the effect of sub-surface helium bubbles on hydrogen retention in tungsten,” J. Nucl. Mater.438, S1221–S1223 (2013).10.1016/j.jnucmat.2013.01.270 doi: 10.1016/j.jnucmat.2013.01.270
[129]
M. A.Cusentino, “Discovering key unknowns for tungsten-hydrogen-helium plasma material interactions using molecular dynamics,” Ph.D. dissertation (University of Tennessee, 2018), https://trace.tennessee.edu/utk_graddiss/4929 155.
[130]
P.Grigorev, D.Terentyev, G.Bonnyet al., “Mobility of hydrogen-helium clusters in tungsten studied by molecular dynamics,” J. Nucl. Mater.474, 143–149 (2016).10.1016/j.jnucmat.2016.03.022 doi: 10.1016/j.jnucmat.2016.03.022
[131]
M.Tokitani, N.Yoshida, K.Tokunagaet al., “Microscopic deformation of tungsten surfaces by high energy and high flux helium/hydrogen particle bombardment with short pulses,” Plasma Fusion Res.5, 012-1–012-4 (2010).10.1585/pfr.5.012 doi: 10.1585/pfr.5.012
[132]
M. R.Gilbert, J.-C.Sublet, and S. L.Dudarev, “Spatial heterogeneity of W transmutation in a fusion device,” Nucl. Fusion57, 044002 (2017).10.1088/1741-4326/aa5e2e doi: 10.1088/1741-4326/aa5e2e
[133]
M. E.Sawan, “Transmutation of tungsten in fusion and fission nuclear environments,” Fusion Sci. Technol.66, 272–277 (2014).10.13182/fst13-717 doi: 10.13182/fst13-717
[134]
M. R.Gilbert and J.-C.Sublet, “Neutron-induced transmutation effects in W and W-alloys in a fusion environment,” Nucl. Fusion51, 043005 (2011).10.1088/0029-5515/51/4/043005 doi: 10.1088/0029-5515/51/4/043005
[135]
R. G.Abernethy, “Predicting the performance of tungsten in a fusion environment: A literature review,” Mater. Sci. Technol.33, 388–399 (2017).10.1080/02670836.2016.1185260 doi: 10.1080/02670836.2016.1185260
[136]
T.Tanno, A.Hasegawa, M.Fujiwaraet al., “Precipitation of solid transmutation elements in irradiated tungsten alloys,” Mater. Trans.49, 2259–2264 (2008).10.2320/matertrans.maw200821 doi: 10.2320/matertrans.maw200821
[137]
V. K.Alimov, Y.Hatano, K.Sugiyamaet al., “Surface morphology and deuterium retention in tungsten and tungsten–rhenium alloy exposed to low-energy, high flux D plasma,” J. Nucl. Mater.454, 136–141 (2014).10.1016/j.jnucmat.2014.07.064 doi: 10.1016/j.jnucmat.2014.07.064
[138]
R.Fei, Y.Guo, W.Yinet al., “Effects of transmutation elements on hydrogen trapping ability of vacancy in tungsten,” Nucl. Instrum. Methods Phys. Res., Sect. B461, 267–271 (2019).10.1016/j.nimb.2019.10.012 doi: 10.1016/j.nimb.2019.10.012
[139]
Y.Hatano, M.Shimada, V. K.Alimovet al., “Trapping of hydrogen isotopes in radiation defects formed in tungsten by neutron and ion irradiations,” J. Nucl. Mater.438, S114–S119 (2013).10.1016/j.jnucmat.2013.01.018 doi: 10.1016/j.jnucmat.2013.01.018
[140]
F.-F.Ma, W.Wang, Y.-H.Liet al., “Towards understanding the influence of Re on H dissolution and retention in W by investigating the interaction between dispersed/aggregated-Re and H,” Nucl. Fusion58, 096026 (2018).10.1088/1741-4326/aacf48 doi: 10.1088/1741-4326/aacf48
[141]
A.Rodríguez Páramo, “Effects of irradiation on plasma facing materials in HiPER laser fusion power plant: Silica final lenses and tungsten first wall,” Ph.D. thesis, Dpto. de Ingeniería Energética; ETS Ingenieros Industriales (UPM), 2017.
[142]
J.Linke, J.Du, T.Loewenhoff, G.Pintsuket al., “Challenges for plasma-facing components in nuclear fusion,” Matter Radiat. Extremes4, 056201 (2019).10.1063/1.5090100 doi: 10.1063/1.5090100
[143]
R.Andrievski and A.Khatchoyan, Nanomaterials in Extreme Environments: Fundamentals and Applications (Springer, 2016), ISBN: 978-3-319-25329-9.
[144]
Y.Zhang, A. V.Ganeev, J. T.Wanget al., “Observations on the ductile-to-brittle transition in ultrafine-grained tungsten of commercial purity,” Mater. Sci. Eng.: A503, 37–40 (2009).10.1016/j.msea.2008.07.074 doi: 10.1016/j.msea.2008.07.074
[145]
Y.Shen, Z.Xu, K.Cuiet al., “Microstructure of a commercial W–1% La2O3 alloy,” J. Nucl. Mater.455, 234–241 (2014).10.1016/j.jnucmat.2014.06.004 doi: 10.1016/j.jnucmat.2014.06.004
[146]
T.Hao, Z. Q.Fan, T.Zhanget al., “Strength and ductility improvement of ultrafine-grained tungsten produced by equal-channel angular pressing,” J. Nucl. Mater.455, 595–599 (2014).10.1016/j.jnucmat.2014.08.044 doi: 10.1016/j.jnucmat.2014.08.044
[147]
K. A.Padmanabhan, “Mechanical properties of nanostructured materials,” Mater. Sci. Eng.: A304-306, 200–205 (2001).10.1016/s0921-5093(00)01437-4 doi: 10.1016/s0921-5093(00)01437-4
I. J.Beyerlein, A.Caro, M. J.Demkowiczet al., “Radiation damage tolerant nanomaterials,” Mater. Today16, 443–449 (2013).10.1016/j.mattod.2013.10.019 doi: 10.1016/j.mattod.2013.10.019
[150]
X.-M.Bai and B. P.Uberuaga, “The influence of grain boundaries on radiation-induced point defect production in materials: A review of atomistic studies,” JOM65, 360–373 (2013).10.1007/s11837-012-0544-5 doi: 10.1007/s11837-012-0544-5
[151]
O.El-Atwani, S.Gonderman, M.Efeet al., “Ultrafine tungsten as a plasma-facing component in fusion devices: Effect of high flux, high fluence low energy helium irradiation,” Nucl. Fusion54, 083013 (2014).10.1088/0029-5515/54/8/083013 doi: 10.1088/0029-5515/54/8/083013
[152]
N.Gordillo, M.Panizo-Laiz, E.Tejadoet al., “Morphological and microstructural characterization of nanostructured pure α-phase W coatings on a wide thickness range,” Appl. Surf. Sci.316, 1–8 (2014).10.1016/j.apsusc.2014.07.061 doi: 10.1016/j.apsusc.2014.07.061
[153]
A.Debelle, M. F.Barthe, and T.Sauvage, “First temperature stage evolution of irradiation-induced defects in tungsten studied by positron annihilation spectroscopy,” J. Nucl. Mater.376, 216–221 (2008).10.1016/j.jnucmat.2008.03.002 doi: 10.1016/j.jnucmat.2008.03.002
[154]
H.Eleveld and A.van Veen, “Void growth and thermal desorption of deuterium from voids in tungsten,” J. Nucl. Mater.212-215, 1421–1425 (1994).10.1016/0022-3115(94)91062-6 doi: 10.1016/0022-3115(94)91062-6
[155]
O.El-Atwani, C. N.Taylor, J.Frishkoffet al., “Thermal desorption spectroscopy of high fluence irradiated ultrafine and nanocrystalline tungsten: Helium trapping and desorption correlated with morphology,” Nucl. Fusion58, 016020 (2017).10.1088/1741-4326/aa86cf doi: 10.1088/1741-4326/aa86cf
[156]
E.Martínez, B. P.Uberuaga, and B. D.Wirth, “Atomistic modeling of helium segregation to grain boundaries in tungsten and its effect on de-cohesion,” Nucl. Fusion57, 086044 (2017).10.1088/1741-4326/aa6e15 doi: 10.1088/1741-4326/aa6e15
[157]
C.González and R.Iglesias, “Cluster formation and eventual mobility of helium in a tungsten grain boundary,” J. Nucl. Mater.514, 171–180 (2018).10.1016/j.jnucmat.2018.11.029 doi: 10.1016/j.jnucmat.2018.11.029
[158]
O.El-Atwani, K.Hattar, J. A.Hinkset al., “Helium bubble formation in ultrafine and nanocrystalline tungsten under different extreme conditions,” J. Nucl. Mater.458, 216 (2015).10.1016/j.jnucmat.2014.12.095 doi: 10.1016/j.jnucmat.2014.12.095
[159]
O.El-Atwani, J. A.Hinks, G.Greaveset al., “In-situ TEM observa tion of the response of ultrafine- and nanocrystalline-grained tungsten to extreme irradiation environments,” Sci. Rep.4, 4716 (2015).10.1038/srep04716 doi: 10.1038/srep04716
[160]
G.Valles, C.González, I.Martin-Bragadoet al., “The influence of high grain boundary density on helium retention in tungsten,” J. Nucl. Mater.457, 80–87 (2015).10.1016/j.jnucmat.2014.10.038 doi: 10.1016/j.jnucmat.2014.10.038
[161]
O.El-Atwani, J. A.Hinks, G.Greaveset al., “Grain size threshold for enhanced irradiation resistance in nanocrystalline and ultrafine tungsten,” Mater. Res. Lett.5, 343–349 (2017).10.1080/21663831.2017.1292326 doi: 10.1080/21663831.2017.1292326
[162]
H.Trinkaus and B. N.Singh, “Helium accumulation in metals during irradiation—Where do we stand?,” J. Nucl. Mater.323, 229–242 (2003).10.1016/j.jnucmat.2003.09.001 doi: 10.1016/j.jnucmat.2003.09.001
[163]
W. S.Cunningham, J. M.Gentile, O.El-Atwaniet al., “Softening due to grain boundary cavity formation and its competition with hardening in helium implanted nanocrystalline tungsten,” Sci. Rep.8, 2897 (2018).10.1038/s41598-018-20990-1 doi: 10.1038/s41598-018-20990-1
[164]
O.El-Atwani, M.Efe, B.Heimet al., “Surface damage in ultrafine and multimodal grained tungsten materials induced by low energy helium irradiation,” J. Nucl. Mater.434, 170–177 (2013).10.1016/j.jnucmat.2012.11.012 doi: 10.1016/j.jnucmat.2012.11.012
[165]
M.-H.Tsai and J.-W.Yeh, “High-entropy alloys: A critical review,” Mater. Res. Lett.2, 107–123 (2014).10.1080/21663831.2014.912690 doi: 10.1080/21663831.2014.912690
[166]
S.Gorsse, M. H.Nguyen, O. N.Senkovet al., “Database on the mechanical properties of high entropy alloys and complex concentrated alloys,” Data Brief21, 2664–2678 (2018).10.1016/j.dib.2018.11.111 doi: 10.1016/j.dib.2018.11.111
[167]
S.-q.Xia, Z.Wang, T.-f.Yanget al., “Irradiation behavior in high entropy alloys,” J. Iron Steel Res. Int.22, 879–884 (2015).10.1016/s1006-706x(15)30084-4 doi: 10.1016/s1006-706x(15)30084-4
[168]
F.Granberg, K.Nordlund, M. W.Ullahet al., “Mechanism of radiation damage reduction in equiatomic multicomponent single phase Alloys,” Phys. Rev. Lett.116, 135504 (2016).10.1103/physrevlett.116.135504 doi: 10.1103/physrevlett.116.135504
N.Gordillo, C.Gómez de Castro, E.Tejadoet al., “On the thermal stability of the nanostructured tungsten coatings,” Surf. Coat. Technol.325, 588–593 (2017).10.1016/j.surfcoat.2017.06.070 doi: 10.1016/j.surfcoat.2017.06.070
[171]
M.Rieth, S. L.Dudarev, S. M.Gonzalez de Vicenteet al., “A brief summary of the progress on the EFDA tungsten materials program,” J. Nucl. Mater.442, S173–S180 (2013).10.1016/j.jnucmat.2013.03.062 doi: 10.1016/j.jnucmat.2013.03.062
[172]
Y.Kim, M.-H.Hong, S. H.Leeet al., “The effect of yttrium oxide on the sintering behavior and hardness of tungsten,” Met. Mater. Int.12, 245–248 (2006).10.1007/bf03027538 doi: 10.1007/bf03027538
[173]
M. A.Yar, S.Wahlberg, H.Bergqvistet al., “Chemically produced nanostructured ODS–lanthanum oxide–tungsten composites sintered by spark plasma,” J. Nucl. Mater.408, 129–135 (2011).10.1016/j.jnucmat.2010.10.060 doi: 10.1016/j.jnucmat.2010.10.060
[174]
L.Veleva, Contribution to the Production and Characterization of W-Y, W-Y2O3 and W-TiC Materials for Fusion Reactors, 10.5075/epfl-thesis-4995, 10.5075/epfl-thesis-4995, 2011.
[175]
T. J.Renk, P. P.Provencio, T. J.Tanakaet al., “Chamber wall materials response to pulsed ions at power-plant level fluences,” J. Nucl. Mater.347, 266–288 (2005).10.1016/j.jnucmat.2005.08.021 doi: 10.1016/j.jnucmat.2005.08.021
[176]
S.Sharafat, N. M.Ghoniem, M.Andersonet al., “Micro-engineered first wall tungsten armor for high average power laser fusion energy systems,” J. Nucl. Mater.347, 217–243 (2005).10.1016/j.jnucmat.2005.08.012 doi: 10.1016/j.jnucmat.2005.08.012
[177]
E. M.Bringa, J. D.Monk, A.Caroet al., “Are nanoporous materials radiation resistant?,” Nano Lett.12, 3351–3355 (2012).10.1021/nl201383u doi: 10.1021/nl201383u
[178]
O. V.Ogorodnikova, K. S.Klimov, A. G.Poskakalovet al., “Deuterium and helium retention in W with and without He-induced W ‘fuzz’ exposed to pulsed high-temperature deuterium plasma,” J. Nucl. Mater.515, 150–159 (2019).10.1016/j.jnucmat.2018.12.023 doi: 10.1016/j.jnucmat.2018.12.023
[179]
S.Kajita, T.Yagi, K.Kobayashiet al., “Measurement of heat diffusion across fuzzy tungsten layer,” Results Phys.6, 877–878 (2016).10.1016/j.rinp.2016.10.025 doi: 10.1016/j.rinp.2016.10.025
[180]
S.Cui, M.Simmonds, W.Qinet al., “Thermal conductivity reduction of tungsten plasma facing material due to helium plasma irradiation in PISCES using the improved 3-omega method,” J. Nucl. Mater.486, 267–273 (2017).10.1016/j.jnucmat.2017.01.023 doi: 10.1016/j.jnucmat.2017.01.023
[181]
T.Karabacak, C. R.Picu, J. J.Senkevichet al., “Stress reduction in tungsten films using nanostructured compliant layers,” J. Appl. Phys.96, 5740–5746 (2004).10.1063/1.1803106 doi: 10.1063/1.1803106
[182]
R.Koch, “The intrinsic stress of polycrystalline and epitaxial thin metal films,” J. Phys.: Condens. Matter6, 9519 (1994).10.1088/0953-8984/6/45/005 doi: 10.1088/0953-8984/6/45/005
Figure 1. (a) Layout of the HiPER reactor. Reprinted with permission from J. M. Perlado et al., Proc. SPIE 8080, 80801Z (2011).18 Copyright 2011 SPIE Digital Library. (b) Schematic view of the chamber designed for the HiPER Prototype and Demo scenarios.
Figure 2. Schematic overview of the most significant species produced in the explosion, together with their time of flight (TOF) and the depth at which they deposit most of their energy.
Figure 3. Heat flux factor (FHF) calculated for the different HiPER scenarios: Experimental (green dot), Prototype (yellow dot), and Demo (red dot). For comparison, FHF values reported by Linke et al.75 and Renk et al.76 for surface modifications are also plotted (blue dots): roughening (R), cracking (C), melting (M), and boiling (B).
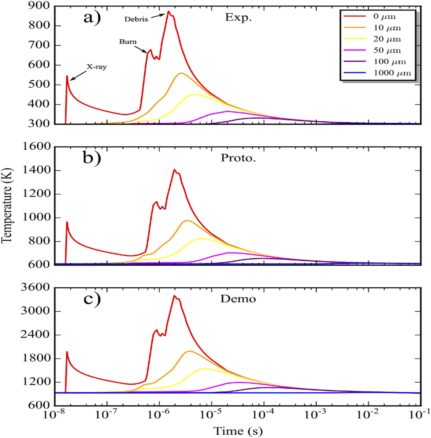
Figure 4. Temperature of W as a function of time at different depths within the PFM for (a) HiPER Experimental scenario (first pulse), (b) HiPER Prototype scenario (steady state), and (c) HiPER Demo scenario (steady state). The steady state was reached ∼6 s and ∼60 s after the beginning of operation for HiPER Prototype and Demo scenarios, respectively. Reprinted with permission from Garoz et al., Nucl. Fusion 56, 126014 (2016). Copyright 2016 IOP Sciences.
Figure 5. Maximum temperature calculated at the W surface and the maximum steady-state temperature. For comparison, the recrystallization and melting temperatures for W are indicated with dashed lines.
Figure 6. Transverse stress (left) and axial strain (right) in W as a function of time for different depths. (a) HiPER Experimental scenario (first pulse). (b) HiPER Prototype scenario (steady state). (c) HiPER Demo scenario (steady state). Reprinted with permission from Garoz et al., Nucl. Fusion 56, 126014 (2016). Copyright 2016 IOP Sciences.
Figure 7. Scanning electron microscopy images of the surface of a W sample after exposure to 1600 pulses of (a) a nitrogen beam and (b) a helium beam. Reprinted with permission from Renk et al., Fusion Sci. Technol. 61, 57–80 (2012). Copyright 2012 Taylor and Francis the American Nuclear Society (http://www.asn.org/).
Figure 8. [(a)–(c)] Ratio of He retained to total implanted He for W samples irradiated with He at 3 keV under different conditions: (a) Continuous irradiation at a dose rate of 2 × 1012 cm−2 s−1. (b) Pulsed irradiation, with 2 × 1012 cm−2 per pulse at a repetition rate of 1 Hz. (c) Comparison of continuous and pulsed irradiation at 1300 K and for different fluxes. In all cases, the number of He ions per cm2 averaged over 1 s is the same (2 × 1012 cm−2 or 2 × 1013 cm−2). [(d)–(f)] Fraction of He retained in trapping sites for W samples irradiated with He at 3 keV under different conditions. (d) Pulsed irradiation at 700 K, with 2 × 1013 cm−2 per pulse at a repetition rate of 1 Hz. (e) Pulsed irradiation at 1300 K, with 2 × 1013 cm−2 per pulse at a repetition rate of 1 Hz. (f) Continuous irradiation at a dose rate of 2 × 1013 cm−2 s−1. Reprinted with permission from Rivera et al., Nucl. Instrum. Methods Phys. Res., Sect. B 303, 81–83 (2013). Copyright 2013 Elsevier.
Figure 9. Top view (a) and cross-sectional (b) scanning electron microscopy images of pure α-phase nanostructured W coatings deposited by sputtering at the Instituto de Fusión Nuclear Guillermo Velarde following the procedure described in Ref. 152. The coating is made of columns with an average diameter of ∼100 nm, which grow perpendicular to the substrate.
Figure 10. Depth distribution of vacancies for nanostructured (NW) and monocrystalline (MW) W samples sequentially irradiated in continuous mode at room temperature by C and H ions at energies of 665 keV and 170 keV, respectively, as calculated by the Object Kinetic Monte Carlo (OKMC) code MMonCa at 300 K (black), and after annealing for 30 min at 473 K (green) or at 573 K (blue). Data taken from Ref. 113.
Figure 11. Implantation profiles of H calculated by the SRIM code for unannealed W: (a) nanostructured and (e) monocrystalline. Experimental (measured) and MMonCa simulated (calculated) depth profiles of H and vacancies for nanostructured W (left) and monocrystalline W (right) samples irradiated in continuous mode sequentially by high-energy C and H ions (665 keV and 170 keV, respectively) both at room temperature and at a fluence of 5 × 10 20 m−2: [(b) and (f)] unannealed, [(c) and (g)] after annealing for 30 min at 473 K, and [(d) and (h)] after annealing for 30 min at 573 K. The shaded region between 0 nm and 150 nm is not considered in the analysis because it is highly influenced by surface contamination. Data taken from Ref. 113.
Figure 12. Cross-sectional transmission electron micrographs of a section of (a) a Mo-coated W needle (a) unirradiated, (b) exposed to 1600 He pulses. (c) Scanning electron microscopy image of a Mo-coated W needle after exposure to 1200 He pulses in RHEPP-1. Reprinted with permission from Renk et al., Fusion Sci. Technol. 61, 57–80 (2012). Copyright 2012 Taylor and Francis the American Nuclear Society (http://www.asn.org/).
Figure 13. Nano-turf-coated tungsten foam. (a) 50×, (b) 200×, and (c) 2500× magnification. The ligaments are coated with single tungsten crystals and have characteristic lengths scales of the order of 5 µm. Reprinted with permission from Sharafat et al., J. Nucl. Mater. 347, 217–243 (2005). Copyright 2005 Elsevier.