Follow us on Wechat

用微信扫码二维码

分享至好友和朋友圈

Volume 5 Issue 5
Sep.  2020
Turn off MathJax
Article Contents
Yang Jing, Deng Wen, Li Qiang, Li Xin, Liang Akun, Su Yuzhu, Guan Shixue, Wang Junpu, He Duanwei. Strength enhancement of nanocrystalline tungsten under high pressure[J]. Matter and Radiation at Extremes, 2020, 5(5): 058401. doi: 10.1063/5.0005395
Citation: Yang Jing, Deng Wen, Li Qiang, Li Xin, Liang Akun, Su Yuzhu, Guan Shixue, Wang Junpu, He Duanwei. Strength enhancement of nanocrystalline tungsten under high pressure[J]. Matter and Radiation at Extremes, 2020, 5(5): 058401. doi: 10.1063/5.0005395

Strength enhancement of nanocrystalline tungsten under high pressure

doi: 10.1063/5.0005395
More Information
  • Corresponding author: a)Author to whom correspondence should be addressed: duanweihe@scu.edu.cn
  • Received Date: 2020-03-06
  • Accepted Date: 2020-08-03
  • Available Online: 2020-09-01
  • Publish Date: 2020-09-15
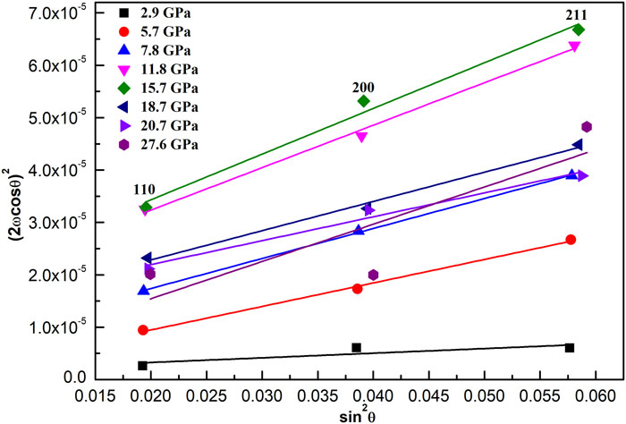
  • Three tungsten powder samples—one coarse grained (c-W; grain size: 1 µm–3 µm) and two nanocrystalline (n-W; average grain sizes: 10 nm and 50 nm)—are investigated under nonhydrostatic compression in a diamond anvil cell in separate experiments, and their in situ X-ray diffraction patterns are recorded. The maximum microscopic deviatoric stress in each tungsten sample, a measure of the yield strength, is determined by analyzing the diffraction line width. Over the entire pressure range, the strength of tungsten increases noticeably as the grain size is decreased from 1 µm–3 µm to 10 nm. The results show that the yield strength of tungsten with an average crystal size of 10 nm is around 3.5 times that of the sample with a grain size of 1 µm–3 µm.
  • loading
  • [1]
    E. O. Hall, “The deformation and ageing of mild steel: III. Discussion of results,” Proc. Phys. Soc. B 64, 747–753 (1951).10.1088/0370-1301/64/9/303 doi: 10.1088/0370-1301/64/9/303
    [2]
    N. J. Petch, “The cleavage strength of polycrystals,” J. Iron Steel Inst. 174, 25–28 (1953).
    [3]
    R. W. Armstrong, “The influence of polycrystal grain size on several mechanical properties of materials,” Metall. Mater. Trans. B 1, 1169–1176 (1970).10.1007/bf02900227 doi: 10.1007/bf02900227
    [4]
    A. H. Chokshi, A. Rosen, J. Karch, and H. Gleiter, “On the validity of the Hall-Petch relationship in nanocrystalline materials,” Scr. Metall. 23(10), 1679–1683 (1989).10.1016/0036-9748(89)90342-6 doi: 10.1016/0036-9748(89)90342-6
    [5]
    J. Narayan, “Size and interface control of novel nanocrystalline materials using pulsed laser deposition,” J. Nanopart. Res. 2, 91–96 (2000).10.1023/A:1010008827415 doi: 10.1023/A:1010008827415
    [6]
    C. A. Schuh, T. G. Nieh, and T. Yamasaki, “Hall–Petch breakdown manifested in abrasive wear resistance of nanocrystalline nickel,” Scr. Metall. 46, 735–740 (2002).10.1016/S1359-6462(02)00062-3 doi: 10.1016/S1359-6462(02)00062-3
    [7]
    J. Schiotz and K. W. Jacobsen, “A maximum in the strength of nanocrystalline copper,” Science 301, 1357–1359 (2003).10.1126/science.1086636 doi: 10.1126/science.1086636
    [8]
    J. A. Knapp and D. M. Follstaedt, “Hall–Petch relationship in pulsed-laser deposited nickel films,” J. Mater. Res. 19, 218–227 (2004).10.1557/jmr.2004.19.1.218 doi: 10.1557/jmr.2004.19.1.218
    [9]
    M. A. Meyers, A. Mishra, and D. J. Benson, “Mechanical properties of nanocrystalline materials,” Prog. Mater. Sci. 51, 427–556 (2006).10.1016/j.pmatsci.2005.08.003 doi: 10.1016/j.pmatsci.2005.08.003
    [10]
    X. Huang, N. Hansen, and N. Tsuji, “Hardening by annealing and softening by deformation in nanostructured metals,” Science 312, 249–251 (2006).10.1126/science.1124268 doi: 10.1126/science.1124268
    [11]
    L. Lu, X. Chen, X. Huang, and K. Lu, “Revealing the maximum strength in nanotwinned copper,” Science 323, 607–610 (2009).10.1126/science.1167641 doi: 10.1126/science.1167641
    [12]
    X. Zhou, Z. Feng, L. Zhu, J. Xu, L. Miyagi, H. Dong et al., “High-pressure strengthening in ultrafine-grained metals,” Nature 579(7797), 67–72 (2020).10.1038/s41586-020-2036-z doi: 10.1038/s41586-020-2036-z
    [13]
    C. C. Koch and J. Narayan, “The inverse Hall-Petch effect—Fact or artifact?,” Mat. Res. Soc. Symp. 634, B5.1.1 (2000).10.1557/proc-634-b5.1.1 doi: 10.1557/proc-634-b5.1.1
    [14]
    D. Jang and M. Atzmon, “Grain-size dependence of plastic deformation in nanocrystalline Fe,” Appl. Phys. 93, 9282–9286 (2003).10.1063/1.1569035 doi: 10.1063/1.1569035
    [15]
    A. D. Westwood, C. E. Murray, and I. C. Noyan, “In-situ study of dynamic structural rearrangements during stress relaxation,” Adv. X-Ray Anal. 38, 243–254 (1995).10.1007/978-1-4615-1797-9_27 doi: 10.1007/978-1-4615-1797-9_27
    [16]
    N. E. Christensen, A. L. Ruoff, and C. O. Rodriguez, “Pressure strengthening: A way to multimegabar static pressures,” Phys. Rev. B 52, 9121–9124 (1995).10.1103/physrevb.52.9121 doi: 10.1103/physrevb.52.9121
    [17]
    R. J. Hemley, H. Mao, G. Shen, J. Badro, P. Gillet, M. Hanfland, and D. Hausermann, “X-ray imaging of stress and strain of diamond, iron, and tungsten at megabar pressures,” Science 276, 1242–1245 (1997).10.1126/science.276.5316.1242 doi: 10.1126/science.276.5316.1242
    [18]
    H. K. Mao, J. Xu, and P. M. Bell, “Calibration of the ruby pressure gauge to 800 kbar under quasi‐hydrostatic conditions,” J. Geophys. Res.: Solid Earth 91(B5), 4673–4676, https://doi.org/10.1029/jb091ib05p04673 (1986).10.1029/jb091ib05p04673 doi: 10.1029/jb091ib05p04673
    [19]
    A. P. Hammersley, S. O. Svensson, M. Hanfland, A. N. Fitch, and D. Hausermann, “Two-dimensional detector software: From real detector to idealised image or two-theta scan,” High Pressure Res. 14, 235–248 (1996).10.1080/08957959608201408 doi: 10.1080/08957959608201408
    [20]
    A. K. Singh, A. Jain, H. P. Liermann, and S. K. Saxena, “Strength of iron under pressure up to 55 GPa from X-ray diffraction line-width analysis,” J. Phys. Chem. Solids 67, 2197–2202 (2006).10.1016/j.jpcs.2006.06.003 doi: 10.1016/j.jpcs.2006.06.003
    [21]
    D. He and T. S. Duffy, “X-ray diffraction study of the static strength of tungsten to 69 GPa,” Phys. Rev. B 73, 134106 (2006).10.1103/physrevb.73.134106 doi: 10.1103/physrevb.73.134106
    [22]
    D. J. Weidner, Y. Wang, and M. T. Vaughan, “Strength of diamond,” Science 266, 419–422 (1994).10.1126/science.266.5184.419 doi: 10.1126/science.266.5184.419
    [23]
    J. I. Langford, “X-ray powder diffraction studies of vitromet samples,” J. Appl. Crystallogr. 4, 164–168 (1971).10.1107/s002188987100654x doi: 10.1107/s002188987100654x
    [24]
    K. W. Katahara, M. H. Manghnani, and E. S. Fisher, “Pressure derivatives of the elastic moduli of BCC Ti-V-Cr, Nb-Mo and Ta-W alloys,” J. Phys. F: Met. Phys. 9, 773–790 (1978).10.1088/0305-4608/9/5/006 doi: 10.1088/0305-4608/9/5/006
    [25]
    L. Xiong, B. Li, Y. Tang, Q. Li, J. Hao, L. Bai et al., “Radial X-ray diffraction study of the static strength and texture of tungsten to 96 GPa,” Solid State Commun. 269, 83–89 (2018).10.1016/j.ssc.2017.10.016 doi: 10.1016/j.ssc.2017.10.016
    [26]
    J. Hu, Y. N. Shi, X. Sauvage, G. Sha, and K. Lu, “Grain boundary stability governs hardening and softening in extremely fine nanograined metals,” Science 355(6331), 1292 (2017).10.1126/science.aal5166 doi: 10.1126/science.aal5166
    [27]
    K. Lu, “Stabilizing nanostructures in metals using grain and twin boundary architectures,” Nat. Rev. Mater. 1(5), 16019 (2016).10.1038/natrevmats.2016.19 doi: 10.1038/natrevmats.2016.19
  • 加载中

Catalog

    通讯作者: 陈斌, bchen63@163.com
    • 1. 

      沈阳化工大学材料科学与工程学院 沈阳 110142

    1. 本站搜索
    2. 百度学术搜索
    3. 万方数据库搜索
    4. CNKI搜索

    Figures(6)

    Article Metrics

    Article views (4016) PDF downloads(36) Cited by()
    Proportional views
    Related

    /

    DownLoad:  Full-Size Img  PowerPoint
    Return
    Return