Follow us on Wechat

用微信扫码二维码

分享至好友和朋友圈

Volume 4 Issue 5
Sep.  2019
Turn off MathJax
Article Contents
Guo Xun, Fu Yanjun, Zhang Xitong, Wang Xinwei, Chen Yan, Xue Jianming. A semi-classical model for the charge exchange and energy loss of slow highly charged ions in ultrathin materials[J]. Matter and Radiation at Extremes, 2019, 4(5): 054401. doi: 10.1063/1.5110931
Citation: Guo Xun, Fu Yanjun, Zhang Xitong, Wang Xinwei, Chen Yan, Xue Jianming. A semi-classical model for the charge exchange and energy loss of slow highly charged ions in ultrathin materials[J]. Matter and Radiation at Extremes, 2019, 4(5): 054401. doi: 10.1063/1.5110931

A semi-classical model for the charge exchange and energy loss of slow highly charged ions in ultrathin materials

doi: 10.1063/1.5110931
  • Received Date: 2019-05-21
  • Accepted Date: 2019-06-10
  • Publish Date: 2019-09-15
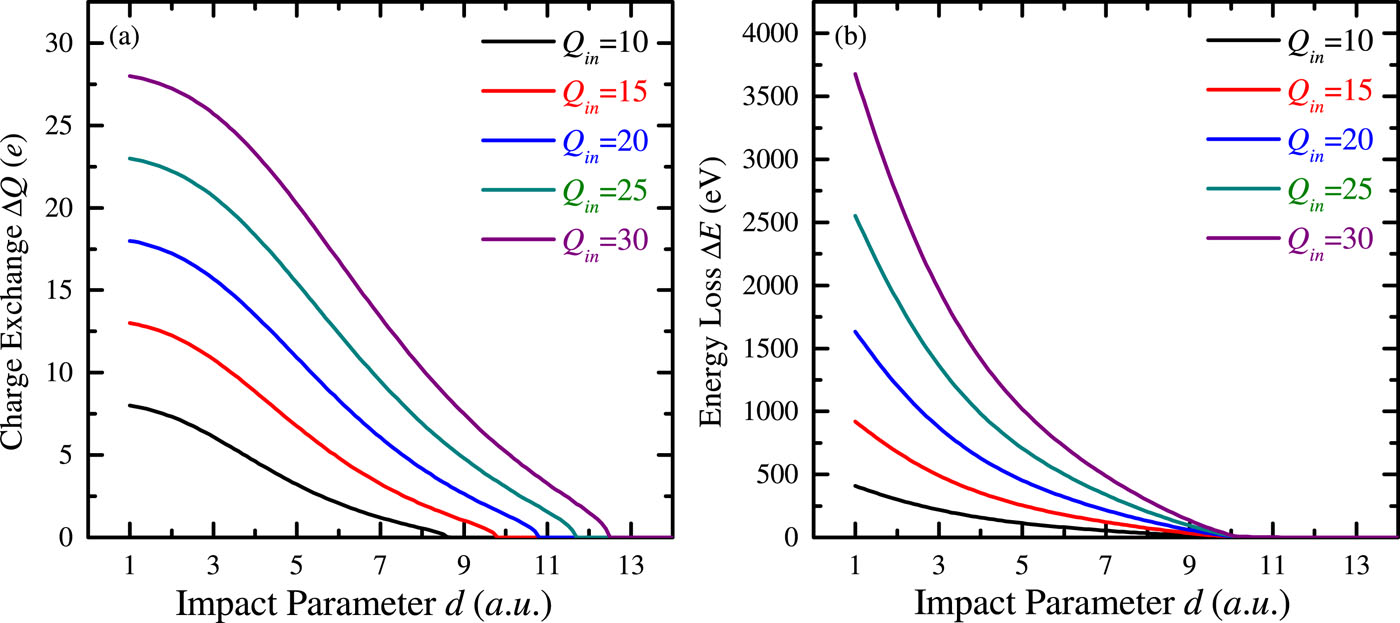
  • We present a simple and reliable method, based on the over-barrier model and Lindhard’s formula, to calculate the energy loss, charge transfer, and normalized intensity of highly charged ions penetrating through 2D ultrathin materials, including graphene and carbon nanomembranes. According to our results, the interaction between the ions and the 2D material can be simplified as an equivalent two-body collision, and we find that full consideration of the charge exchange effect is key to understanding the mechanism of ion energy deposition in an ultrathin target. Not only can this semiclassical model be used to evaluate the ion irradiation effect to a very good level of accuracy, but it also provides important guidance for tailoring the properties of 2D materials using ion beams.
  • loading
  • [1]
    C. A. Amadei and C. D. Vecitis, “How to increase the signal-to-noise ratio of graphene oxide membrane research,” J. Phys. Chem. Lett. 7, 3791–3797 (2016).10.1021/acs.jpclett.6b01829 doi: 10.1021/acs.jpclett.6b01829
    [2]
    J. Schrier, “Helium separation using porous graphene membranes,” J. Phys. Chem. Lett. 1, 2284–2287 (2010).10.1021/jz100748x doi: 10.1021/jz100748x
    [3]
    D. W. Boukhvalov and M. I. Katsnelson, “Chemical functionalization of graphene with defects,” Nano Lett. 8, 4374–4379 (2008).10.1021/nl802234n doi: 10.1021/nl802234n
    [4]
    E. H. Åhlgren, J. Kotakoski, and A. V. Krasheninnikov, “Atomistic simulations of the implantation of low-energy boron and nitrogen ions into graphene,” Phys. Rev. B 83, 115424-1–115424-7 (2011).10.1103/physrevb.83.115424 doi: 10.1103/physrevb.83.115424
    [5]
    W. Li, X. Wang, X. Zhang, S. Zhao, H. Duan, and J. Xue, “Mechanism of the defect formation in supported graphene by energetic heavy ion irradiation: The substrate effect,” Sci. Rep. 5, 9935-1–9935-6 (2015).10.1038/srep09935 doi: 10.1038/srep09935
    [6]
    A. W. Hauser and P. Schwerdtfeger, “Nanoporous graphene membranes for efficient 3He/4He separation,” J. Phys. Chem. Lett. 3, 209–213 (2012).10.1021/jz201504k doi: 10.1021/jz201504k
    [7]
    L. Huang, M. Zhang, C. Li, and G. Shi, “Graphene-based membranes for molecular separation,” J. Phys. Chem. Lett. 6, 2806–2815 (2015).10.1021/acs.jpclett.5b00914 doi: 10.1021/acs.jpclett.5b00914
    [8]
    R. Heller, S. Facsko, R. A. Wilhelm, and W. Möller, “Defect mediated desorption of the KBr(001) surface induced by single highly charged ion impact,” Phys. Rev. Lett. 101, 096102-1–096102-4 (2008).10.1103/physrevlett.101.096102 doi: 10.1103/physrevlett.101.096102
    [9]
    F. Aumayr, A. S. El-Said, and W. Meissl, “Nano-sized surface modifications induced by the impact of slow highly charged ions—A first review,” Nucl. Instrum. Methods Phys. Res., Sect. B 266, 2729–2735 (2008).10.1016/j.nimb.2008.03.106 doi: 10.1016/j.nimb.2008.03.106
    [10]
    F. Aumayr, S. Facsko, A. S. El-Said, C. Trautmann, and M. Schleberger, “Single ion induced surface nanostructures: A comparison between slow highly charged and swift heavy ions,” J. Phys.: Condens. Matter 23, 393001-1–393001-23 (2011).10.1088/0953-8984/23/39/393001 doi: 10.1088/0953-8984/23/39/393001
    [11]
    A. Turchanin, A. Beyer, C. T. Nottbohm, X. Zhang, R. Stosch, A. Sologubenko, J. Mayer, P. Hinze, T. Weimann, and A. Gölzhäuser, “One nanometer thin carbon nanosheets with tunable conductivity and stiffness,” Adv. Mater. 21, 1233–1237 (2009).10.1002/adma.200803078 doi: 10.1002/adma.200803078
    [12]
    A. Turchanin and A. Gölzhäuser, “Carbon nanomembranes from self-assembled monolayers: Functional surfaces without bulk,” Prog. Surf. Sci. 87, 108–162 (2012).10.1016/j.progsurf.2012.05.001 doi: 10.1016/j.progsurf.2012.05.001
    [13]
    U. Bangert, W. Pierce, D. M. Kepaptsoglou, Q. Ramasse, R. Zan, M. H. Gass, J. A. Van den Berg, C. B. Boothroyd, J. Amani, and H. Hofsäss, “Ion implantation of graphene-toward ic compatible technologies,” Nano Lett. 13, 4902–4907 (2013).10.1021/nl402812y doi: 10.1021/nl402812y
    [14]
    C. P. Race, D. R. Mason, M. W. Finnis, W. M. C. Foulkes, A. P. Horsfield, and A. P. Sutton, “The treatment of electronic excitations in atomistic models of radiation damage in metals,” Rep. Prog. Phys. 73, 116501-1–116501-40 (2010).10.1088/0034-4885/73/11/116501 doi: 10.1088/0034-4885/73/11/116501
    [15]
    A. K. Geim, “Graphene: Status and prospects,” Science 324, 1530–1534 (2009).10.1126/science.1158877 doi: 10.1126/science.1158877
    [16]
    B. Guo, Q. Liu, E. Chen, H. Zhu, L. Fang, and J. R. Gong, “Controllable n-doping of graphene,” Nano Lett. 10, 4975–4980 (2010).10.1021/nl103079j doi: 10.1021/nl103079j
    [17]
    D. Kost, S. Facsko, W. Möller, R. Hellhammer, and N. Stolterfoht, “Channels of potential energy dissipation during multiply charged argon-ion bombardment of copper,” Phys. Rev. Lett. 98, 225503-1–225503-4 (2007).10.1103/physrevlett.98.225503 doi: 10.1103/physrevlett.98.225503
    [18]
    F. Aumayr and H. Winter, “Slow highly charged ions -a new tool for surface nanostructuring,” e-J. Surf. Sci. Nanotech. 1, 171–174 (2003).10.1380/ejssnt.2003.171 doi: 10.1380/ejssnt.2003.171
    [19]
    R. A. Wilhelm, A. S. El-Said, F. Krok, R. Heller, E. Gruber, F. Aumayr, and S. Facsko, “Highly charged ion induced nanostructures at surfaces by strong electronic excitations,” Prog. Surf. Sci. 90, 377–395 (2015).10.1016/j.progsurf.2015.06.001 doi: 10.1016/j.progsurf.2015.06.001
    [20]
    A. S. El-Said, R. Heller, W. Meissl, R. Ritter, S. Facsko, C. Lemell, B. Solleder, I. C. Gebeshuber, G. Betz, M. Toulemonde, W. Möller, J. Burgdörfer, and F. Aumayr, “Creation of nanohillocks on CaF2 surfaces by single slow highly charged ions,” Phys. Rev. Lett. 100, 237601-1–237601-4 (2008).10.1103/physrevlett.100.237601 doi: 10.1103/physrevlett.100.237601
    [21]
    W. Brandt and M. Kitagawa, “Effective stopping-power charges of swift ions in condensed matter,” Phys. Rev. B 25, 5631–5637 (1982).10.1103/physrevb.25.5631 doi: 10.1103/physrevb.25.5631
    [22]
    T. Schenkel, M. A. Briere, A. V. Barnes, A. V. Hamza, K. Bethge, H. Schmidt-Böcking, and D. H. Schneider, “Charge state dependent energy loss of slow heavy ions in solids,” Phys. Rev. Lett. 79, 2030–2033 (1997).10.1103/physrevlett.79.2030 doi: 10.1103/physrevlett.79.2030
    [23]
    R. A. Wilhelm, E. Gruber, R. Ritter, R. Heller, S. Facsko, and F. Aumayr, “Charge exchange and energy loss of slow highly charged ions in 1 nm thick carbon nanomembranes,” Phys. Rev. Lett. 112, 153201-1–153201-5 (2014).10.1103/physrevlett.112.153201 doi: 10.1103/physrevlett.112.153201
    [24]
    R. A. Wilhelm, E. Gruber, V. Smejkal, S. Facsko, and F. Aumayr, “Charge-state-dependent energy loss of slow ions. I. Experimental results on the transmission of highly charged ions,” Phys. Rev. A 93, 052708-1–052708-4 (2016).10.1103/physreva.93.052708 doi: 10.1103/physreva.93.052708
    [25]
    E. Gruber, R. A. Wilhelm, R. Pétuya, V. Smejkal, R. Kozubek, A. Hierzenberger, B. C. Bayer, I. Aldazabal, A. K. Kazansky, F. Libisch, A. V. Krasheninnikov, M. Schleberger, S. Facsko, A. G. Borisov, A. Arnau, and F. Aumayr, “Ultrafast electronic response of graphene to a strong and localized electric field,” Nat. Commun. 7, 13948-1–13948-7 (2016).10.1038/ncomms13948 doi: 10.1038/ncomms13948
    [26]
    G. Schiwietz and P. L. Grande, “Introducing electron capture into the unitary-convolution-approximation energy-loss theory at low velocities,” Phys. Rev. A 84, 052703-1–052703-7 (2011).10.1103/physreva.84.052703 doi: 10.1103/physreva.84.052703
    [27]
    J. Lindhard, “On the properties of a gas of charged particles,” Dan. Vid. Selsk Mat.-Fys. Medd. 28(8), 41–43 (1954), available at http://gymarkiv.sdu.dk/MFM/kdvs/mfm%2020-29/mfm-28-8.pdf.
    [28]
    F. Sattin, “A semiclassical over-barrier model for charge exchange between highly charged ions and one-optical-electron atoms,” J. Phys. B: At., Mol. Opt. Phys. 33, 861–867 (2000).10.1088/0953-4075/33/5/302 doi: 10.1088/0953-4075/33/5/302
    [29]
    F. Sattin, “Classical overbarrier model to compute charge exchange and ionization between ions and one-optical-electron atoms,” Phys. Rev. A 62, 042711-1–042711-10 (2000).10.1103/physreva.62.042711 doi: 10.1103/physreva.62.042711
    [30]
    F. Sattin, “Further study of the over-barrier model to compute charge-exchange processes,” Phys. Rev. A 64, 034704-1–034704-4 (2001).10.1103/physreva.64.034704 doi: 10.1103/physreva.64.034704
    [31]
    T. Ohyama-Yamaguchi and A. Ichimura, “A three-center over-barrier model with screening for multiple ionization of rare gas dimers by slow highly charged ions,” Phys. Scr. T144, 014028-1–014028-3 (2011).10.1088/0031-8949/2011/t144/014028 doi: 10.1088/0031-8949/2011/t144/014028
    [32]
    V. N. Ostrovsky, “Rydberg atom-ion collisions: Classical overbarrier model for charge exchange,” J. Phys. B: At., Mol. Opt. Phys. 28, 3901–3914 (1995).10.1088/0953-4075/28/17/025 doi: 10.1088/0953-4075/28/17/025
    [33]
    A. Niehaus, “A classical model for multiple-electron capture in slow collisions of highly charged ions with atoms,” J. Phys. B: At., Mol. Opt. Phys. 19, 2925–2937 (1986).10.1088/0022-3700/19/18/021 doi: 10.1088/0022-3700/19/18/021
    [34]
    J. Lindhard and M. Scharff, “Energy dissipation by ions in the kev region,” Phys. Rev. 124, 128–130 (1961).10.1103/physrev.124.128 doi: 10.1103/physrev.124.128
    [35]
    W. Kohn and L. J. Sham, “Self-consisten equations including exchange and correlation effects,” Phys. Rev. 140, A1133–A1138 (1965).10.1103/physrev.140.a1133 doi: 10.1103/physrev.140.a1133
    [36]
    A. K. Rajagopal and J. Callaway, “Inhomogeneous electron gas,” Phys. Rev. B 7, 1912–1919 (1973).10.1103/physrevb.7.1912 doi: 10.1103/physrevb.7.1912
    [37]
    R. Ritter, R. A. Wilhelm, M. Stögerpollach, R. Heller, A. Mücklich, U. Werner, H. Vieker, A. Beyer, S. Facsko, and A. Gölzhäuser, “Fabrication of nanopores in 1 nm thick carbon nanomembranes with slow highly charged ions,” Appl. Phys. Lett. 102, 770–776 (2013).10.1063/1.4792511 doi: 10.1063/1.4792511
  • 加载中

Catalog

    通讯作者: 陈斌, bchen63@163.com
    • 1. 

      沈阳化工大学材料科学与工程学院 沈阳 110142

    1. 本站搜索
    2. 百度学术搜索
    3. 万方数据库搜索
    4. CNKI搜索

    Figures(5)

    Article Metrics

    Article views (2305) PDF downloads(7) Cited by()
    Proportional views
    Related

    /

    DownLoad:  Full-Size Img  PowerPoint
    Return
    Return