Follow us on Wechat

用微信扫码二维码

分享至好友和朋友圈

Volume 10 Issue 5
Sep.  2025
Turn off MathJax
Article Contents
Liu Yi-Nuo, Hu Zhang-Hu, Lan Jie-Jie, Li Hao-Yuan, Xu Wang-Wen, Wang You-Nian. A photon–photon collider based on synchrotron γ rays in hollow plasma channels[J]. Matter and Radiation at Extremes, 2025, 10(5): 057205. doi: 10.1063/5.0278292
Citation: Liu Yi-Nuo, Hu Zhang-Hu, Lan Jie-Jie, Li Hao-Yuan, Xu Wang-Wen, Wang You-Nian. A photon–photon collider based on synchrotron γ rays in hollow plasma channels[J]. Matter and Radiation at Extremes, 2025, 10(5): 057205. doi: 10.1063/5.0278292

A photon–photon collider based on synchrotron γ rays in hollow plasma channels

doi: 10.1063/5.0278292
More Information
  • Corresponding author: a)Author to whom correspondence should be addressed: zhanghu@dlut.edu.cn
  • Received Date: 2025-04-29
  • Accepted Date: 2025-08-03
  • Available Online: 2025-11-28
  • Publish Date: 2025-09-01
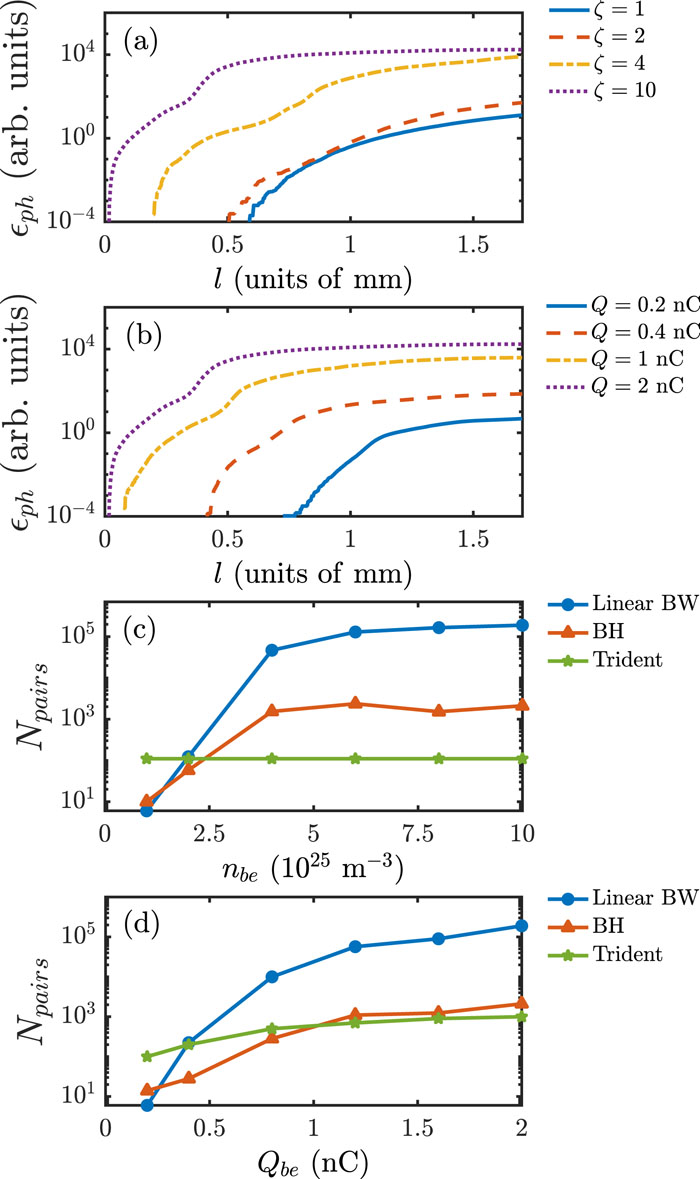
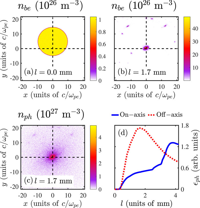
  • We propose a photon–photon collider based on synchrotron gamma sources driven by relativistic electron beams in hollow plasma channels. The collimated (with a divergence angle of ∼1 mrad) and ultrabrilliant (>1028 photons s−1⋅mrad−2⋅mm−2 per 0.1% bandwidth at 0.6 MeV) photon beams are generated by strong electromagnetic fields induced by current filamentation instability, and up to 106 Breit–Wheeler (BW) pairs can be created per shot. Notably, the usage of hollow plasma channels not only enhances synchrotron radiation, but also allows flexible control of the produced photon beams, ensuring the alignment of the two colliding beams and maximizing the two-photon BW process. This setup has the advantage of a clean background by eliminating the yield from the nonlinear BW process, and the signal-to-noise ratio is higher than 102.
  • Conflict of Interest
    The authors have no conflicts to disclose.
    Author Contributions
    Y. N. Liu and Z. H. Hu developed the theoretical work. Y. N. Liu and H. Y. Li conducted the simulations. Y. N. Liu, Z. H. Hu, J. J. Lan, and W. W. Xu analyzed the data and produced the figures. Z. H. Hu, J. J. Lan, W. W. Xu, and H. Y. Li helped review and interpret the data. Y. N. Liu and Z. H. Hu wrote the Article. Z. H. Hu, and Y. N. Wang supervised the work. All authors have reviewed, discussed, and agreed to the complete statement.
    Yi-Nuo Liu: Conceptualization (equal); Investigation (equal); Validation (equal); Writing – original draft (lead); Writing – review & editing (equal). Zhang-Hu Hu: Conceptualization (equal); Validation (equal); Writing – original draft (equal); Writing – review & editing (equal). Jie-Jie Lan: Writing – review & editing (equal). Hao-Yuan Li: Writing – review & editing (equal). Wang-Wen Xu: Writing – review & editing (equal). You-Nian Wang: Writing – review & editing (equal).
    The data that support the findings of this study are available from the corresponding author upon reasonable request.
  • loading
  • [1]
    M. Marklund and P. K. Shukla, “Nonlinear collective effects in photon-photon and photon-plasma interactions,” Rev. Mod. Phys. 78, 591–640 (2006).10.1103/revmodphys.78.591
    [2]
    F. Ehlotzky, K. Krajewska, and J. Z. Kamiński, “Fundamental processes of quantum electrodynamics in laser fields of relativistic power,” Rep. Prog. Phys. 72, 046401 (2009).10.1088/0034-4885/72/4/046401
    [3]
    A. Di Piazza, K. Z. Hatsagortsyan, and C. H. Keitel, “Strong signatures of radiation reaction below the radiation-dominated regime,” Phys. Rev. Lett. 102, 254802 (2009).10.1103/physrevlett.102.254802
    [4]
    G. Breit and J. A. Wheeler, “Collision of two light quanta,” Phys. Rev. 46, 1087–1091 (1934).10.1103/physrev.46.1087
    [5]
    T. Piran, “The physics of gamma-ray bursts,” Rev. Mod. Phys. 76, 1143–1210 (2005).10.1103/revmodphys.76.1143
    [6]
    R. Ruffini, G. Vereshchagin, and S. S. Xue, “Electron–positron pairs in physics and astrophysics: From heavy nuclei to black holes,” Phys. Rep. 487, 1–140 (2010).10.1016/j.physrep.2009.10.004
    [7]
    O. C. De Jager, F. W. Stecker, and M. H. Salamon, “Estimate of the intergalactic infrared radiation field from γ-ray observations of the galaxy Mrk421,” Nature 369, 294–296 (1994).10.1038/369294a0
    [8]
    J. Adam, L. Adamczyk, J. R. Adams, J. K. Adkins, G. Agakishiev et al., “Measurement of e+e− momentum and angular distributions from linearly polarized photon collisions,” Phys. Rev. Lett. 127, 052302 (2021).10.1103/PhysRevLett.127.052302
    [9]
    C. N. Danson, C. Haefner, J. Bromage, T. Butcher, J. C. F. Chanteloup et al., “Petawatt and exawatt class lasers worldwide,” High Power Laser Sci. Eng. 7, e54 (2019).10.1017/hpl.2019.36
    [10]
    K. A. Tanaka, K. M. Spohr, D. L. Balabanski, S. Balascuta, L. Capponi et al., “Current status and highlights of the ELI-NP research program,” Matter Radiat. Extremes 5, 024402 (2020).10.1063/1.5093535
    [11]
    J. W. Yoon, C. Jeon, J. Shin, S. K. Lee, H. W. Lee et al., “Achieving the laser intensity of 5.5 × 1022 W/cm2 with a wavefront-corrected multi-PW laser,” Opt. Express 27, 20412 (2019).10.1364/oe.27.020412
    [12]
    Y. J. Gu, M. Jirka, O. Klimo, and S. Weber, “Gamma photons and electron-positron pairs from ultra-intense laser-matter interaction: A comparative study of proposed configurations,” Matter Radiat. Extremes 4, 064403 (2019).10.1063/1.5098978
    [13]
    O. J. Pike, F. Mackenroth, E. G. Hill, and S. J. Rose, “A photon–photon collider in a vacuum hohlraum,” Nat. Photonics 8, 434–436 (2014).10.1038/nphoton.2014.95
    [14]
    X. Ribeyre, E. d’Humières, O. Jansen, S. Jequier, V. T. Tikhonchuk et al., “Pair creation in collision of γ-ray beams produced with high-intensity lasers,” Phys. Rev. E 93, 013201 (2016).10.1103/PhysRevE.93.013201
    [15]
    J. Q. Yu, H. Y. Lu, T. Takahashi, R. H. Hu, Z. Gong et al., “Creation of electron-positron pairs in photon-photon collisions driven by 10-PW laser pulses,” Phys. Rev. Lett. 122, 014802 (2019).10.1103/physrevlett.122.014802
    [16]
    Y. He, T. G. Blackburn, T. Toncian, and A. V. Arefiev, “Dominance of γ–γ electron–positron pair creation in a plasma driven by high-intensity lasers,” Commun. Phys. 4, 139 (2021).10.1038/s42005-021-00636-x
    [17]
    Y. He, T. G. Blackburn, T. Toncian, and A. Arefiev, “Achieving pair creation via linear and nonlinear Breit–Wheeler processes in dense plasmas irradiated by high-intensity laser pulses,” Phys. Plasmas 29, 053105 (2022).10.1063/5.0086577
    [18]
    K. Sugimoto, Y. He, N. Iwata, I. L. Yeh, K. Tangtartharakul et al., “Positron generation and acceleration in a self-organized photon collider enabled by an ultraintense laser pulse,” Phys. Rev. Lett. 131, 065102 (2023).10.1103/physrevlett.131.065102
    [19]
    A. Benedetti, M. Tamburini, and C. H. Keitel, “Giant collimated gamma-ray flashes,” Nat. Photonics 12, 319–323 (2018).10.1038/s41566-018-0139-y
    [20]
    Z. H. Hu, W. Y. Zhai, J. J. Lan, and Y. N. Wang, “Nonlinear scaling of photon radiation power in relativistic plasma current filamentation instability with beam parameters,” Phys. Plasmas 31, 083103 (2024).10.1063/5.0210348
    [21]
    A. Sampath, X. Davoine, S. Corde, L. Gremillet, M. Gilljohann et al., “Extremely dense gamma-ray pulses in electron beam-multifoil collisions,” Phys. Rev. Lett. 126, 064801 (2021).10.1103/physrevlett.126.064801
    [22]
    E. S. Weibel, “Spontaneously growing transverse waves in a plasma due to an anisotropic velocity distribution,” Phys. Rev. Lett. 2, 83–84 (1959).10.1103/physrevlett.2.83
    [23]
    H. L. Li, Z. H. Hu, Q. T. Zhao, R. Cheng, Y. T. Zhao et al., “Simulation study of coupled two-stream and current filamentation instability excited by accelerator electron beams in plasmas,” Phys. Plasmas 29, 052101 (2022).10.1063/5.0086500
    [24]
    J. J. Lan, Z. H. Hu, X. J. Wang, and Y. N. Wang, “Ion effects on the scaling of magnetic field amplification in plasmas with the system size,” New J. Phys. 25, 053040 (2023).10.1088/1367-2630/acd8e6
    [25]
    Y. N. Liu, Z. H. Hu, W. W. Xu, J. J. Lan, and Y. N. Wang, “Abnormal magnetic field topology in the beam-plasma instability driven by ion dynamics,” Phys. Plasmas 31, 122114 (2024).10.1063/5.0235759
    [26]
    I. M. Vladisavlevici, X. Ribeyre, D. Vizman, and E. d’Humières, “Investigation of γ-photon sources using near-critical density targets towards the optimization of the linear Breit–Wheeler process,” Plasma Phys. Controlled Fusion 66, 035009 (2024).10.1088/1361-6587/ad20f7
    [27]
    J. L. Vay, A. Almgren, J. Bell, L. Ge, D. P. Grote et al., “Warp-X: A new exascale computing platform for beam–plasma simulations,” Nucl. Instrum. Methods Phys. Res., Sect. A 909, 476–479 (2018).10.1016/j.nima.2018.01.035
    [28]
    V. Yakimenko, L. Alsberg, E. Bong, G. Bouchard, C. Clarke et al., “FACET-II facility for advanced accelerator experimental tests,” Phys. Rev. Accel. Beams 22, 101301 (2019).10.1103/physrevaccelbeams.22.101301
    [29]
    C. E. Doss, E. Adli, R. Ariniello, J. Cary, S. Corde et al., “Laser-ionized, beam-driven, underdense, passive thin plasma lens,” Phys. Rev. Accel. Beams 22, 111001 (2019).10.1103/physrevaccelbeams.22.111001
    [30]
    X. J. Wang, Z. H. Hu, and Y. N. Wang, “Enhanced collective stopping and drift of electron beams in fusion plasmas with heavy-ion species,” Phys. Rev. E 101, 043203 (2020).10.1103/physreve.101.043203
    [31]
    I. M. Ternov, “Synchrotron radiation,” Phys.-Usp. 38, 409 (1995).10.1070/pu1995v038n04abeh000082
    [32]
    A. Gonoskov, S. Bastrakov, E. Efimenko, A. Ilderton, M. Marklund et al., “Extended particle-in-cell schemes for physics in ultrastrong laser fields: Review and developments,” Phys. Rev. E 92, 023305 (2015).10.1103/physreve.92.023305
  • 加载中

Catalog

    通讯作者: 陈斌, bchen63@163.com
    • 1. 

      沈阳化工大学材料科学与工程学院 沈阳 110142

    1. 本站搜索
    2. 百度学术搜索
    3. 万方数据库搜索
    4. CNKI搜索

    Figures(7)

    Article Metrics

    Article views (1596) PDF downloads(0) Cited by()
    Proportional views
    Related

    /

    DownLoad:  Full-Size Img  PowerPoint
    Return
    Return