Follow us on Wechat

用微信扫码二维码

分享至好友和朋友圈

Volume 10 Issue 5
Sep.  2025
Turn off MathJax
Article Contents
Huang Z. M., Wang Qing, Cheng R. J., Li X. X., Lv S. Y., Liu D. J., Xu Z. Y., Zhang S. T., Chen Z. J., Wang Qiang, Xiao C. Z., Liu Z. J., Cao L. H., Zheng C. Y., He X. T.. Large-angle stimulated Raman scattering induced by transverse density modulation[J]. Matter and Radiation at Extremes, 2025, 10(5): 057403. doi: 10.1063/5.0278141
Citation: Huang Z. M., Wang Qing, Cheng R. J., Li X. X., Lv S. Y., Liu D. J., Xu Z. Y., Zhang S. T., Chen Z. J., Wang Qiang, Xiao C. Z., Liu Z. J., Cao L. H., Zheng C. Y., He X. T.. Large-angle stimulated Raman scattering induced by transverse density modulation[J]. Matter and Radiation at Extremes, 2025, 10(5): 057403. doi: 10.1063/5.0278141

Large-angle stimulated Raman scattering induced by transverse density modulation

doi: 10.1063/5.0278141
More Information
  • Corresponding author: a)Author to whom correspondence should be addressed: liuzj@iapcm.ac.cn
  • Received Date: 2025-04-28
  • Accepted Date: 2025-08-14
  • Available Online: 2025-11-28
  • Publish Date: 2025-09-01
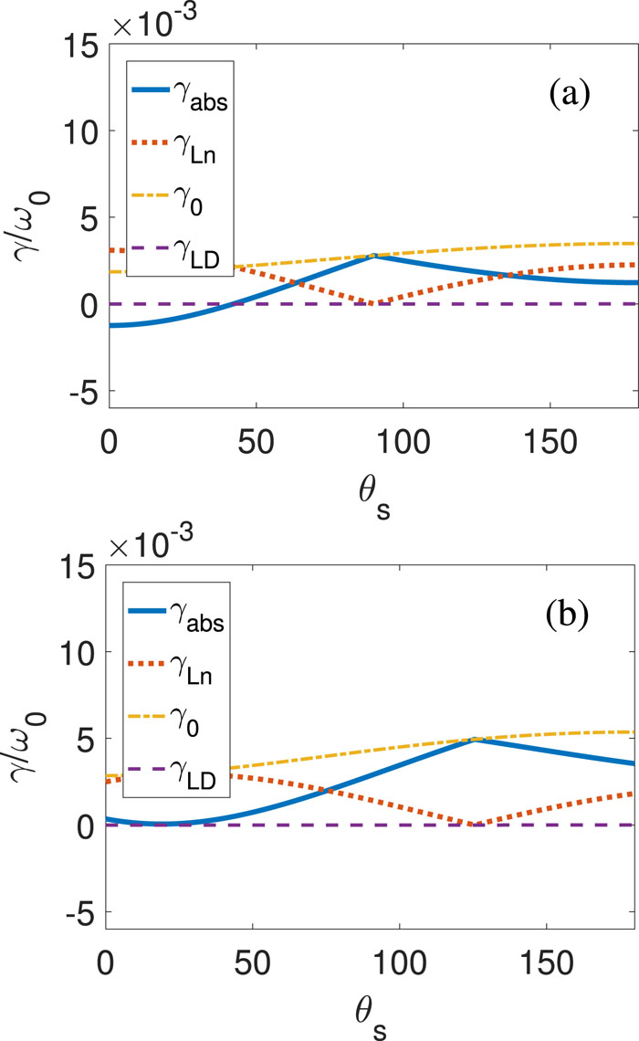
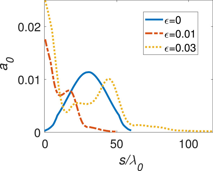
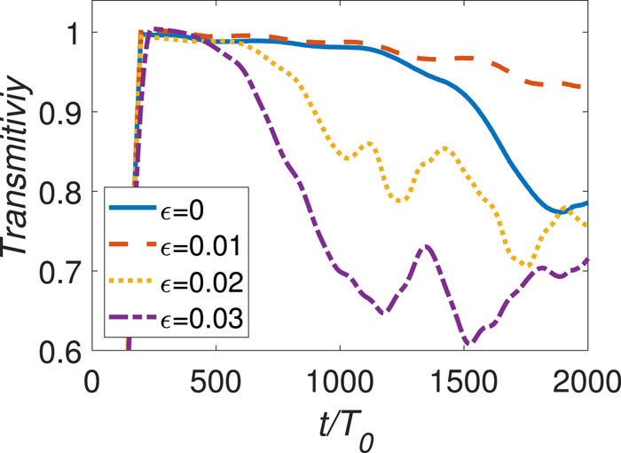
  • Large-angle stimulated Raman scattering (LA-SRS) in a longitudinally inhomogeneous plasma with a transverse density modulation is studied using a three-wave coupled model and numerical simulations. The simulations show that the scattering angle of SRS in a longitudinally inhomogeneous plasma can be significantly affected by transverse density modulation. Under transverse density modulation conditions, the laser focuses into underdense regions, owing to the transversely modulated refractive index. The angle of LA-SRS, neither a purely 90° angle side scattering nor purely backscattering, is almost consistent with the specific angle at which the density inhomogeneity vanishes. In modulated plasmas, the nonuniform distribution of laser intensity shifts the regions of scattering and gain compared with those in uniform plasmas, ultimately affecting the laser transmission. SRS is suppressed in weakly modulated regimes, whereas it is enhanced under strong modulation conditions, and a theoretical criterion distinguishing between strong and weak modulation is established.
  • The authors have no conflicts to disclose.
    Conflict of Interest
    Author Contributions
    Z. M. Huang: Conceptualization (equal); Data curation (equal); Formal analysis (lead); Investigation (equal); Methodology (equal); Validation (equal); Visualization (equal); Writing – original draft (equal); Writing – review & editing (equal). Qing Wang: Conceptualization (equal); Data curation (equal); Formal analysis (equal); Investigation (lead); Writing – review & editing (equal). R. J. Cheng: Conceptualization (lead); Investigation (equal); Methodology (equal); Visualization (equal); Writing – review & editing (equal). X. X. Li: Conceptualization (equal); Investigation (equal); Methodology (equal); Writing – review & editing (equal). S. Y. Lv: Conceptualization (equal); Methodology (equal); Writing – review & editing (equal). D. J. Liu: Methodology (equal); Validation (equal); Writing – review & editing (equal). Z. Y. Xu: Investigation (equal); Methodology (equal); Writing – review & editing (equal). S. T. Zhang: Investigation (equal); Writing – review & editing (equal). Z. J. Chen: Investigation (equal); Methodology (equal); Writing – review & editing (equal). Qiang Wang: Supervision (equal); Validation (equal); Writing – review & editing (equal). C. Z. Xiao: Methodology (equal); Supervision (equal); Visualization (equal); Writing – review & editing (equal). Z. J. Liu: Funding acquisition (equal); Investigation (equal); Methodology (equal); Project administration (equal); Resources (equal); Software (equal); Supervision (equal); Validation (equal); Writing – review & editing (equal). L. H. Cao: Investigation (equal); Supervision (equal); Writing – review & editing (equal). C. Y. Zheng: Investigation (equal); Methodology (equal); Supervision (equal); Visualization (equal); Writing – review & editing (equal). X. T. He: Conceptualization (equal).
    The data that support the findings of this study are available from the corresponding author upon reasonable request.
  • loading
  • [1]
    R. K. Kirkwood, J. D. Moody, J. Kline, E. Dewald, S. Glenzer et al., “A review of laser–plasma interaction physics of indirect-drive fusion,” Plasma Phys. Controlled Fusion 55, 103001 (2013).10.1088/0741-3335/55/10/103001
    [2]
    R. S. Craxton, K. S. Anderson, T. R. Boehly, V. N. Goncharov, D. R. Harding et al., “Direct-drive inertial confinement fusion: A review,” Phys. Plasmas 22, 110501 (2015).10.1063/1.4934714
    [3]
    M. J. Rosenberg, A. A. Solodov, J. F. Myatt, W. Seka, P. Michel et al., “Origins and scaling of hot-electron preheat in ignition-scale direct-drive inertial confinement fusion experiments,” Phys. Rev. Lett. 120, 055001 (2018).10.1103/physrevlett.120.055001
    [4]
    X. F. Li, S. M. Weng, P. Gibbon, H. H. Ma, S. H. Yew et al., “Transition from backward to sideward stimulated Raman scattering with broadband lasers in plasmas,” Matter Radiat. Extremes 8, 065601 (2023).10.1063/5.0152668
    [5]
    S. Depierreux, C. Neuville, C. Baccou, V. Tassin, M. Casanova et al., “Experimental investigation of the collective Raman scattering of multiple laser beams in inhomogeneous plasmas,” Phys. Rev. Lett. 117, 235002 (2016).10.1103/physrevlett.117.235002
    [6]
    B. B. Afeyan and E. A. Williams, “Unified theory of stimulated Raman scattering and two-plasmon decay in inhomogeneous plasmas: High frequency hybrid instability,” Phys. Rev. Lett. 75, 4218 (1995).10.1103/physrevlett.75.4218
    [7]
    M. N. Rosenbluth, “Parametric instabilities in inhomogeneous media,” Phys. Rev. Lett. 29, 565 (1972).10.1103/physrevlett.29.565
    [8]
    T. Chapman, S. Hüller, P. E. Masson-Laborde, W. Rozmus, and D. Pesme, “Spatially autoresonant stimulated Raman scattering in inhomogeneous plasmas in the kinetic regime,” Phys. Plasmas 17, 122317 (2010).10.1063/1.3529362
    [9]
    K. Glize, X. Zhao, Y. H. Zhang, C. W. Lian, S. Tan et al., “Measurement of stimulated Raman side-scattering predominance in directly driven experiment,” Phys. Plasmas 30, 122706 (2023).10.1063/5.0180607
    [10]
    D. N. Gupta, P. Yadav, D. G. Jang, M. S. Hur, H. Suk et al., “Onset of stimulated Raman scattering of a laser in a plasma in the presence of hot drifting electrons,” Phys. Plasmas 22, 052101 (2015).10.1063/1.4919626
    [11]
    C. Z. Xiao, H. B. Zhuo, Y. Yin, Z. J. Liu, C. Y. Zheng et al., “On the stimulated Raman sidescattering in inhomogeneous plasmas: Revisit of linear theory and three-dimensional particle-in-cell simulations,” Plasma Phys. Controlled Fusion 60, 025020 (2018).10.1088/1361-6587/aa9b41
    [12]
    M. A. Mostrom and A. N. Kaufman, “Raman side-scatter instability in nonuniform plasma,” Phys. Rev. Lett. 42, 644 (1979).10.1103/physrevlett.42.644
    [13]
    P. K. Kaw, A. T. Lin, and J. M. Dawson, “Quasiresonant mode coupling of electron plasma waves,” Phys. Fluids 16, 1967–1975 (1973).10.1063/1.1694242
    [14]
    J. Li, R. Yan, and C. Ren, “Density modulation-induced absolute laser-plasma-instabilities: Simulations and theory,” Phys. Plasmas 24, 052705 (2017).10.1063/1.4983143
    [15]
    M. Curtet and G. Bonnaud, “Landau damping of an electron plasma wave in a plasma with modulated density,” Phys. Rev. E 60, R5052 (1999).10.1103/physreve.60.r5052
    [16]
    H. C. Barr and F. F. Chen, “Raman scattering in a nearly resonant density ripple,” Phys. Fluids 30, 1180–1188 (1987).10.1063/1.866318
    [17]
    H. C. Zhang, C. Z. Xiao, Q. Wang, Q. S. Feng, Z. J. Liu et al., “Effect of density modulation on backward stimulated Raman scattering in a laser-irradiated plasma,” Phys. Plasmas 24, 032118 (2017).10.1063/1.4979170
    [18]
    Y. Chen, C. Y. Zheng, Z. J. Liu, L. H. Cao, Q. S. Feng et al., “Influences of sinusoidal density modulation on stimulated Raman scattering in inhomogeneous plasmas,” Plasma Phys. Controlled Fusion 63, 055004 (2021).10.1088/1361-6587/abea2f
    [19]
    Y. X. Wang, Q. S. Feng, H. C. Zhang, Q. Wang, C. Y. Zheng et al., “Transition of backward stimulated Raman scattering from absolute to convective instability via density modulation,” Phys. Plasmas 24, 103122 (2017).10.1063/1.4993304
    [20]
    S. Atzeni, “Sensitivity of ICF reactor targets to long-wavelength drive nonuniformities,” Europhys. Lett. 11, 639 (1990).10.1209/0295-5075/11/7/010
    [21]
    X. T. He, J. W. Li, Z. F. Fan, L. F. Wang, J. Liu et al., “A hybrid-drive nonisobaric-ignition scheme for inertial confinement fusion,” Phys. Plasmas 23, 082706 (2016).10.1063/1.4960973
    [22]
    J. Yan, J. Li, X.-T. He, L. Wang, Y. Chen et al., “Experimental confirmation of driving pressure boosting and smoothing for hybrid-drive inertial fusion at the 100-kJ laser facility,” Nat. Commun. 14, 5782 (2023).10.1038/s41467-023-41477-2
    [23]
    R. Ishizaki and K. Nishihara, “Model of hydrodynamic perturbation growth in the start-up phase of laser implosion,” Phys. Rev. E 58, 3744 (1998).10.1103/physreve.58.3744
    [24]
    R. Ishizaki and K. Nishihara, “Propagation of a rippled shock wave driven by nonuniform laser ablation,” Phys. Rev. Lett. 78, 1920 (1997).10.1103/physrevlett.78.1920
    [25]
    S. E. Bodner, “Rayleigh–Taylor instability and laser-pellet fusion,” Phys. Rev. Lett. 33, 761 (1974).10.1103/physrevlett.33.761
    [26]
    P. B. Radha, V. N. Goncharov, T. J. B. Collins, J. A. Delettrez, Y. Elbaz et al., “Two-dimensional simulations of plastic-shell, direct-drive implosions on omega,” Phys. Plasmas 12, 032702 (2005).10.1063/1.1857530
    [27]
    Y. Kato, K. Mima, N. Miyanaga, S. Arinaga, Y. Kitagawa et al., “Random phasing of high-power lasers for uniform target acceleration and plasma-instability suppression,” Phys. Rev. Lett. 53, 1057 (1984).10.1103/physrevlett.53.1057
    [28]
    Y. Lin, G. N. Lawrence, and T. J. Kessler, “Distributed phase plates for super-Gaussian focal-plane irradiance profiles,” Opt. Lett. 20, 764–766 (1995).10.1364/ol.20.000764
    [29]
    H. C. Barr, T. J. M. Boyd, and G. A. Coutts, “Studies of stimulated Raman scattering in a plasma filament,” Phys. Fluids 31, 641–650 (1988).10.1063/1.866794
    [30]
    R. L. Berger, L. J. Suter, L. Divol, R. A. London, T. Chapman et al., “Beyond the gain exponent: Effect of damping, scale length, and speckle length on stimulated scatter,” Phys. Rev. E 91, 031103 (2015).10.1103/physreve.91.031103
    [31]
    D. E. Hinkel, D. A. Callahan, A. B. Langdon, S. H. Langer, C. H. Still et al., “Analyses of laser-plasma interactions in national ignition facility ignition targets,” Phys. Plasmas 15, 056314 (2008).10.1063/1.2901127
    [32]
    C. G. Durfee and H. M. Milchberg, “Light pipe for high intensity laser pulses,” Phys. Rev. Lett. 71, 2409 (1993).10.1103/physrevlett.71.2409
    [33]
    C. S. Liu and V. K. Tripathi, “Laser guiding in an axially nonuniform plasma channel,” Phys. Plasmas 1, 3100–3103 (1994).10.1063/1.870501
    [34]
    B. B. Afeyan and E. A. Williams, “Stimulated Raman sidescattering with the effects of oblique incidence,” Phys. Fluids 28, 3397–3408 (1985).10.1063/1.865340
    [35]
    C. Z. Xiao, Q. Wang, and J. F. Myatt, “Evaluating the importance of Raman and Brillouin side scattering at ignition conditions,” Phys. Plasmas 30, 072702 (2023).10.1063/5.0152261
    [36]
    Q. Wang, C. Z. Xiao, Y. Xie, H. B. Cai, J. Chen et al., “PIC simulations of the competition between backward and forward stimulated Raman side scatter in ignition-scale direct-drive coronal conditions,” Phys. Plasmas 31, 042710 (2024).10.1063/5.0185184
    [37]
    T. D. Arber, K. Bennett, C. S. Brady, A. Lawrence-Douglas, M. G. Ramsay et al., “Contemporary particle-in-cell approach to laser-plasma modelling,” Plasma Phys. Controlled Fusion 57, 113001 (2015).10.1088/0741-3335/57/11/113001
    [38]
    S. J. Yang, H. B. Zhuo, Y. Yin, Z. J. Liu, C. Y. Zheng et al., “Growth and saturation of stimulated Raman scattering in two overlapping laser beams,” Phys. Rev. E 102, 013205 (2020).10.1103/physreve.102.013205
    [39]
    P. Michel, M. J. Rosenberg, W. Seka, A. A. Solodov, R. W. Short et al., “Theory and measurements of convective Raman side scatter in inertial confinement fusion experiments,” Phys. Rev. E 99, 033203 (2019).10.1103/physreve.99.033203
    [40]
    P. Michel, Introduction to Laser-Plasma Interactions (Springer Nature, 2023), p. 165.
    [41]
    S. Tan, Q. Wang, Y. Chen, W. B. Yao, C. Z. Xiao et al., “Rescattering of stimulated Raman side scattering in nonuniform plasmas,” Matter Radiat. Extremes 9, 057402 (2024).10.1063/5.0206740
    [42]
    A. Friou, D. Bénisti, L. Gremillet, E. Lefebvre, O. Morice et al., “Saturation mechanisms of backward stimulated Raman scattering in a one-dimensional geometry,” Phys. Plasmas 20, 103103 (2013).10.1063/1.4823714
    [43]
    D. A. Russell, D. F. DuBois, and H. A. Rose, “Nonlinear saturation of stimulated Raman scattering in laser hot spots,” Phys. Plasmas 6, 1294–1317 (1999).10.1063/1.873371
    [44]
    Y. X. Wang, Q. Wang, C. Y. Zheng, Z. J. Liu, Q. S. Feng et al., “Saturation of stimulated Raman backscattering due to beam plasma instability induced by trapped electrons,” Plasma Phys. Controlled Fusion 62, 075009 (2020).10.1088/1361-6587/ab8f10
  • 加载中

Catalog

    通讯作者: 陈斌, bchen63@163.com
    • 1. 

      沈阳化工大学材料科学与工程学院 沈阳 110142

    1. 本站搜索
    2. 百度学术搜索
    3. 万方数据库搜索
    4. CNKI搜索

    Figures(10)

    Article Metrics

    Article views (2814) PDF downloads(0) Cited by()
    Proportional views
    Related

    /

    DownLoad:  Full-Size Img  PowerPoint
    Return
    Return