Follow us on Wechat

用微信扫码二维码

分享至好友和朋友圈

Volume 10 Issue 4
Jul.  2025
Turn off MathJax
Article Contents
Liu Letian, Ma Qianyi, Xia Yuhui, Wang Zhenan, Chen Yuekai, Yang Zhiyan, Cai Dongchi, Xu Zewei, Tang Ziyao, Hu Jianghao, An Weiming, Feng Chao, Yan Xueqing, Xu Xinlu. Improvement of photon energy at X-ray free-electron lasers using plasma-based afterburner[J]. Matter and Radiation at Extremes, 2025, 10(4): 047202. doi: 10.1063/5.0272184
Citation: Liu Letian, Ma Qianyi, Xia Yuhui, Wang Zhenan, Chen Yuekai, Yang Zhiyan, Cai Dongchi, Xu Zewei, Tang Ziyao, Hu Jianghao, An Weiming, Feng Chao, Yan Xueqing, Xu Xinlu. Improvement of photon energy at X-ray free-electron lasers using plasma-based afterburner[J]. Matter and Radiation at Extremes, 2025, 10(4): 047202. doi: 10.1063/5.0272184

Improvement of photon energy at X-ray free-electron lasers using plasma-based afterburner

doi: 10.1063/5.0272184
More Information
  • Corresponding author: a)Author to whom correspondence should be addressed: xuxinlu@pku.edu.cn
  • Received Date: 2025-03-22
  • Accepted Date: 2025-06-03
  • Available Online: 2025-11-28
  • Publish Date: 2025-07-01
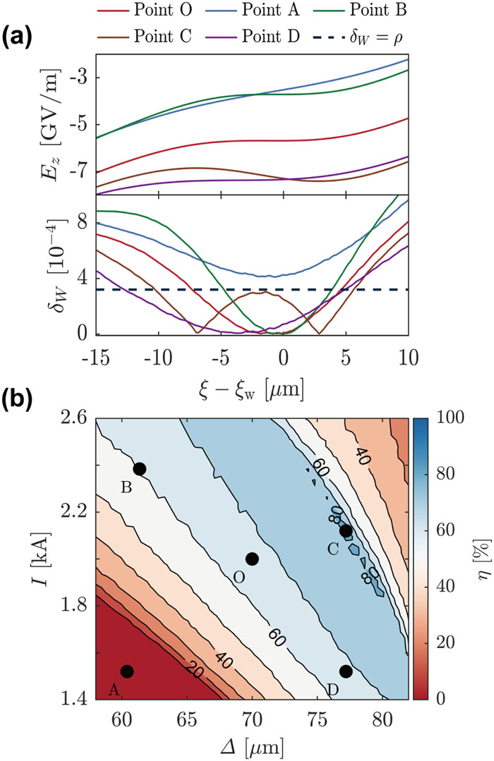
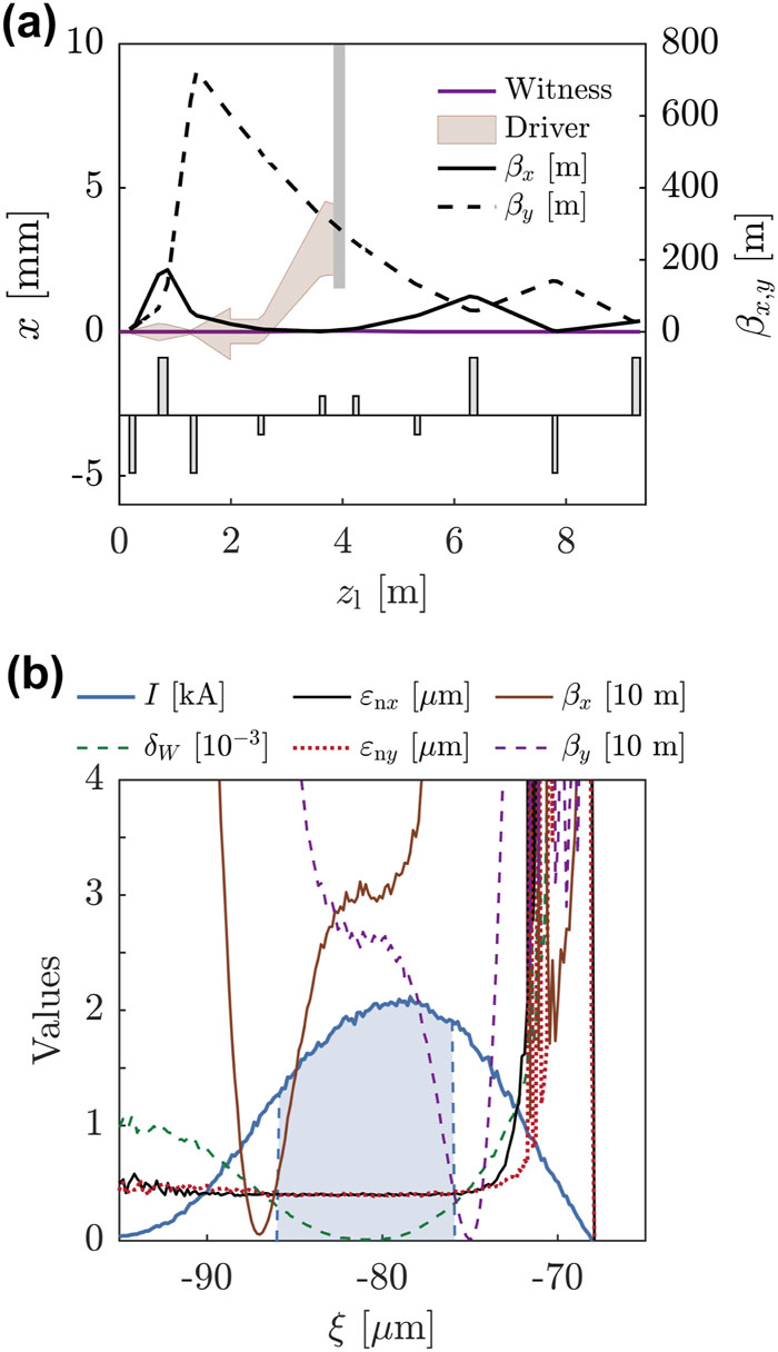
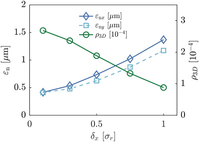
  • X-ray free-electron lasers (XFELs) can generate bright X-ray pulses with short durations and narrow bandwidths, leading to extensive applications in many disciplines such as biology, materials science, and ultrafast science. Recently, there has been a growing demand for X-ray pulses with high photon energy, especially from developments in “diffraction-before-destruction” applications and in dynamic mesoscale materials science. Here, we propose utilizing the electron beams at XFELs to drive a meter-scale two-bunch plasma wakefield accelerator and double the energy of the accelerated beam in a compact and inexpensive way. Particle-in-cell simulations are performed to study the beam quality degradation under different beam loading scenarios and nonideal issues, and the results show that more than half of the accelerated beam can meet the requirements of XFELs. After its transport to the undulator, the accelerated beam can improve the photon energy to 22 keV by a factor of around four while maintaining the peak power, thus offering a promising pathway toward high-photon-energy XFELs.
  • Conflict of Interest
    The authors have no conflicts to disclose.
    Letian Liu: Conceptualization (equal); Data curation (lead); Formal analysis (lead); Investigation (lead); Methodology (lead); Visualization (lead); Writing – original draft (lead); Writing – review & editing (equal). Qianyi Ma: Conceptualization (equal); Investigation (equal). Yuhui Xia: Investigation (equal); Methodology (equal). Zhenan Wang: Investigation (equal). Yuekai Chen: Methodology (equal); Software (supporting). Zhiyan Yang: Investigation (equal); Methodology (equal). Dongchi Cai: Investigation (equal); Methodology (equal). Zewei Xu: Investigation (equal); Writing – review & editing (supporting). Ziyao Tang: Methodology (equal). Jianghao Hu: Investigation (equal). Weiming An: Software (lead); Writing – review & editing (equal). Chao Feng: Writing – review & editing (equal). Xueqing Yan: Funding acquisition (equal); Supervision (equal); Writing – review & editing (equal). Xinlu Xu: Conceptualization (lead); Formal analysis (equal); Funding acquisition (equal); Investigation (equal); Methodology (equal); Resources (lead); Supervision (equal); Writing – review & editing (equal).
    Author Contributions
    The data that support the findings of this study are available from the corresponding author upon reasonable request.
  • loading
  • [1]
    C. Pellegrini, A. Marinelli, and S. Reiche, “The physics of x-ray free-electron lasers,” Rev. Mod. Phys. 88, 015006 (2016).10.1103/revmodphys.88.015006
    [2]
    P. Emma, R. Akre, J. Arthur, R. Bionta, C. Bostedt et al., “First lasing and operation of an ångstrom-wavelength free-electron laser,” Nat. Photonics 4, 641–647 (2010).10.1038/nphoton.2010.176
    [3]
    C. Bostedt, S. Boutet, D. M. Fritz, Z. Huang, H. J. Lee et al., “Linac coherent light source: The first five years,” Rev. Mod. Phys. 88, 015007 (2016).10.1103/revmodphys.88.015007
    [4]
    H. N. Chapman, P. Fromme, A. Barty, T. A. White, R. A. Kirian et al., “Femtosecond x-ray protein nanocrystallography,” Nature 470, 73–77 (2011).10.1038/nature09750
    [5]
    S. Boutet, L. Lomb, G. J. Williams, T. R. M. Barends, A. Aquila et al., “High-resolution protein structure determination by serial femtosecond crystallography,” Science 337, 362–364 (2012).10.1126/science.1217737
    [6]
    T. Ekeberg, M. Svenda, C. Abergel, F. R. N. C. Maia, V. Seltzer et al., “Three-dimensional reconstruction of the giant mimivirus particle with an x-ray free-electron laser,” Phys. Rev. Lett. 114, 098102 (2015).10.1103/physrevlett.114.098102
    [7]
    A. Rudenko, L. Inhester, K. Hanasaki, X. Li, S. J. Robatjazi et al., “Femtosecond response of polyatomic molecules to ultra-intense hard x-rays,” Nature 546, 129–132 (2017).10.1038/nature22373
    [8]
    M. Trigo, M. Fuchs, J. Chen, M. P. Jiang, M. Cammarata et al., “Fourier-transform inelastic X-ray scattering from time- and momentum-dependent phonon–phonon correlations,” Nat. Phys. 9, 790–794 (2013).10.1038/nphys2788
    [9]
    J. Bohon, A. Ortega, J. O’Toole, R. L. Sheffield, and C. W. Barnes, “A survey of current and emerging experimental requirements for dynamic mesoscale materials science at user facilities,” AIP Conf. Proc. 2272, 060003 (2020).10.1063/12.0000833
    [10]
    J. L. Barber, C. W. Barnes, R. L. Sandberg, and R. L. Sheffield, “Diffractive imaging at large Fresnel number: Challenge of dynamic mesoscale imaging with hard x rays,” Phys. Rev. B 89, 184105 (2014).10.1103/physrevb.89.184105
    [11]
    Z. Sun, J. Fan, H. Li, and H. Jiang, “Current status of single particle imaging with x-ray lasers,” Appl. Sci. 8, 132 (2018).10.3390/app8010132
    [12]
    Y. Shvyd’ko, R. Röhlsberger, O. Kocharovskaya, J. Evers, G. A. Geloni et al., “Resonant x-ray excitation of the nuclear clock isomer 45Sc,” Nature 622, 471–475 (2023).10.1038/s41586-023-06491-w
    [13]
    V. Lipp, I. Inoue, and B. Ziaja, “Advantages of using hard x-ray photons for ultrafast diffraction measurements,” Photonics 10, 948 (2023).10.3390/photonics10080948
    [14]
    T. Ishikawa, H. Aoyagi, T. Asaka, Y. Asano, N. Azumi et al., “A compact X-ray free-electron laser emitting in the sub-ångström region,” Nat. Photonics 6, 540–544 (2012).10.1038/nphoton.2012.141
    [15]
    T. Tajima and J. M. Dawson, “Laser electron accelerator,” Phys. Rev. Lett. 43, 267–270 (1979).10.1103/physrevlett.43.267
    [16]
    P. Chen, J. M. Dawson, R. W. Huff, and T. Katsouleas, “Acceleration of electrons by the interaction of a bunched electron beam with a plasma,” Phys. Rev. Lett. 54, 693 (1985).10.1103/physrevlett.54.693
    [17]
    E. Esarey, C. B. Schroeder, and W. P. Leemans, “Physics of laser-driven plasma-based electron accelerators,” Rev. Mod. Phys. 81, 1229–1285 (2009).10.1103/revmodphys.81.1229
    [18]
    W. Wang, K. Feng, L. Ke, C. Yu, Y. Xu et al., “Free-electron lasing at 27 nanometres based on a laser wakefield accelerator,” Nature 595, 516–520 (2021).10.1038/s41586-021-03678-x
    [19]
    M. Labat, J. C. Cabadağ, A. Ghaith, A. Irman, A. Berlioux et al., “Seeded free-electron laser driven by a compact laser plasma accelerator,” Nat. Photonics 17, 150–156 (2023).10.1038/s41566-022-01104-w
    [20]
    R. Pompili, D. Alesini, M. P. Anania, S. Arjmand, M. Behtouei et al., “Free-electron lasing with compact beam-driven plasma wakefield accelerator,” Nature 605, 659–662 (2022).10.1038/s41586-022-04589-1
    [21]
    S. Lee, T. Katsouleas, P. Muggli, W. B. Mori, C. Joshi et al., “Energy doubler for a linear collider,” Phys. Rev. Spec. Top. Accel. Beams 5, 011001 (2002).10.1103/physrevstab.5.011001
    [22]
    I. Blumenfeld, C. E. Clayton, F.-J. Decker, M. J. Hogan, C. Huang et al., “Energy doubling of 42 GeV electrons in a metre-scale plasma wakefield accelerator,” Nature 445, 741–744 (2007).10.1038/nature05538
    [23]
    M. Litos, E. Adli, W. An, C. I. Clarke, C. E. Clayton et al., “High-efficiency acceleration of an electron beam in a plasma wakefield accelerator,” Nature 515, 92–95 (2014).10.1038/nature13882
    [24]
    [25]
    [26]
    C. Pellegrini, “Free electron lasers: Development and applications,” Part. Accel. 33, 159–170 (1990).
    [27]
    S.-y. Lee, Accelerator Physics, 4th ed. (World Scientific Publishing Company, 2018), p. 47.
    [28]
    X. L. Xu, J. F. Hua, Y. P. Wu, C. J. Zhang, F. Li et al., “Physics of phase space matching for staging plasma and traditional accelerator components using longitudinally tailored plasma profiles,” Phys. Rev. Lett. 116, 124801 (2016).10.1103/physrevlett.116.124801
    [29]
    Y. Zhao, W. An, X. Xu, F. Li, L. Hildebrand et al., “Emittance preservation through density ramp matching sections in a plasma wakefield accelerator,” Phys. Rev. Accel. Beams 23, 011302 (2020).10.1103/physrevaccelbeams.23.011302
    [30]
    S. Z. Green, E. Adli, C. I. Clarke, S. Corde, S. A. Edstrom et al., “Laser ionized preformed plasma at FACET,” Plasma Phys. Controlled Fusion 56, 084011 (2014).10.1088/0741-3335/56/8/084011
    [31]
    A. Doche, C. Beekman, S. Corde, J. M. Allen, C. I. Clarke et al., “Acceleration of a trailing positron bunch in a plasma wakefield accelerator,” Sci. Rep. 7, 14180 (2017).10.1038/s41598-017-14524-4
    [32]
    C. Huang, V. K. Decyk, C. Ren, M. Zhou, W. Lu et al., “QUICKPIC: A highly efficient particle-in-cell code for modeling wakefield acceleration in plasmas,” J. Comput. Phys. 217, 658–679 (2006).10.1016/j.jcp.2006.01.039
    [33]
    W. An, V. K. Decyk, W. B. Mori, and T. M. Antonsen, “An improved iteration loop for the three dimensional quasi-static particle-in-cell algorithm: QuickPIC,” J. Comput. Phys. 250, 165–177 (2013).10.1016/j.jcp.2013.05.020
    [34]
    W. Lu, C. Huang, M. Zhou, W. B. Mori, and T. Katsouleas, “Nonlinear theory for relativistic plasma wakefields in the blowout regime,” Phys. Rev. Lett. 96, 165002 (2006).10.1103/physrevlett.96.165002
    [35]
    M. Tzoufras, W. Lu, F. S. Tsung, C. Huang, W. B. Mori et al., “Beam loading in the nonlinear regime of plasma-based acceleration,” Phys. Rev. Lett. 101, 145002 (2008).10.1103/physrevlett.101.145002
    [36]
    X. L. Xu, J. F. Hua, F. Li, C. J. Zhang, L. X. Yan et al., “Phase-space dynamics of ionization injection in plasma-based accelerators,” Phys. Rev. Lett. 112, 035003 (2014).10.1103/physrevlett.112.035003
    [37]
    [38]
    [39]
    G. V. Stupakov, “Effect of centrifugal transverse wakefield for microbunch in bend,” AIP Conf. Proc. 468, 334–347 (1999).10.1063/1.58423
    [40]
    [41]
    C. B. Schroeder, C. Pellegrini, and P. Chen, “Quantum effects in high-gain free-electron lasers,” Phys. Rev. E 64, 056502 (2001).10.1103/physreve.64.056502
    [42]
    Z. Huang and K.-J. Kim, “Review of x-ray free-electron laser theory,” Phys. Rev. Spec. Top. Accel. Beams 10, 034801 (2007).10.1103/physrevstab.10.034801
    [43]
    E. L. Saldin, E. A. Schneidmiller, and M. V. Yurkov, “Calculation of energy diffusion in an electron beam due to quantum fluctuations of undulator radiation,” Nucl. Instrum. Methods Phys. Res., Sect. A 381, 545–547 (1996).10.1016/s0168-9002(96)00708-5
    [44]
    N. Kroll, P. Morton, and M. Rosenbluth, “Free-electron lasers with variable parameter wigglers,” IEEE J. Quantum Electron. 17, 1436–1468 (1981).10.1109/jqe.1981.1071285
    [45]
    S. Reiche, “GENESIS 1.3: A fully 3D time-dependent FEL simulation code,” Nucl. Instrum. Methods Phys. Res., Sect. A 429, 243–248 (1999).10.1016/s0168-9002(99)00114-x
    [46]
    A. Ghaith, M.-E. Couprie, D. Oumbarek-Espinos, I. A. Andriyash, F. Massimo et al., “Undulator design for a laser-plasma-based free-electron-laser,” Phys. Rep. 937, 1–73 (2021).10.1016/j.physrep.2021.09.001
    [47]
    R. Bonifacio, L. De Salvo, P. Pierini, N. Piovella, and C. Pellegrini, “Spectrum, temporal structure, and fluctuations in a high-gain free-electron laser starting from noise,” Phys. Rev. Lett. 73, 70–73 (1994).10.1103/physrevlett.73.70
    [48]
    I. Agapov, G. Geloni, S. Tomin, and I. Zagorodnov, “OCELOT: A software framework for synchrotron light source and FEL studies,” Nucl. Instrum. Methods Phys. Res., Sect. A 768, 151–156 (2014).10.1016/j.nima.2014.09.057
    [49]
    J. B. Rosenzweig, A. M. Cook, A. Scott, M. C. Thompson, and R. B. Yoder, “Effects of ion motion in intense beam-driven plasma wakefield accelerators,” Phys. Rev. Lett. 95, 195002 (2005).10.1103/physrevlett.95.195002
    [50]
    W. An, W. Lu, C. Huang, X. Xu, M. J. Hogan et al., “Ion motion induced emittance growth of matched electron beams in plasma wakefields,” Phys. Rev. Lett. 118, 244801 (2017).10.1103/physrevlett.118.244801
    [51]
    D. H. Whittum, W. M. Sharp, S. S. Yu, M. Lampe, and G. Joyce, “Electron-hose instability in the ion-focused regime,” Phys. Rev. Lett. 67, 991–994 (1991).10.1103/physrevlett.67.991
    [52]
  • 加载中

Catalog

    通讯作者: 陈斌, bchen63@163.com
    • 1. 

      沈阳化工大学材料科学与工程学院 沈阳 110142

    1. 本站搜索
    2. 百度学术搜索
    3. 万方数据库搜索
    4. CNKI搜索

    Figures(6)  / Tables(1)

    Article Metrics

    Article views (3520) PDF downloads(0) Cited by()
    Proportional views
    Related

    /

    DownLoad:  Full-Size Img  PowerPoint
    Return
    Return