Follow us on Wechat

用微信扫码二维码

分享至好友和朋友圈

Volume 10 Issue 5
Sep.  2025
Turn off MathJax
Article Contents
Chen Tao, Liu Qianrui, Gao Chang, Chen Mohan. First-principles prediction of shock Hugoniot curves of boron, aluminum, and silicon from stochastic density functional theory[J]. Matter and Radiation at Extremes, 2025, 10(5): 057601. doi: 10.1063/5.0266082
Citation: Chen Tao, Liu Qianrui, Gao Chang, Chen Mohan. First-principles prediction of shock Hugoniot curves of boron, aluminum, and silicon from stochastic density functional theory[J]. Matter and Radiation at Extremes, 2025, 10(5): 057601. doi: 10.1063/5.0266082

First-principles prediction of shock Hugoniot curves of boron, aluminum, and silicon from stochastic density functional theory

doi: 10.1063/5.0266082
More Information
  • Corresponding author: a)Author to whom correspondence should be addressed: mohanchen@pku.edu.cn
  • Received Date: 2025-02-17
  • Accepted Date: 2025-07-01
  • Available Online: 2025-11-28
  • Publish Date: 2025-09-01
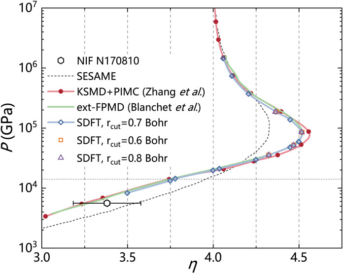
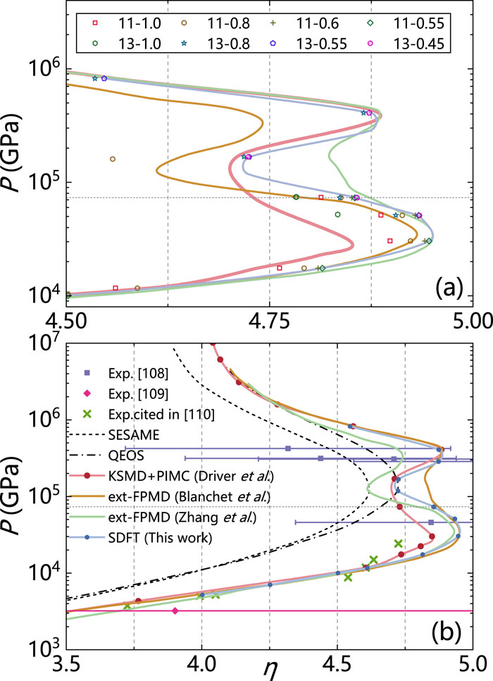
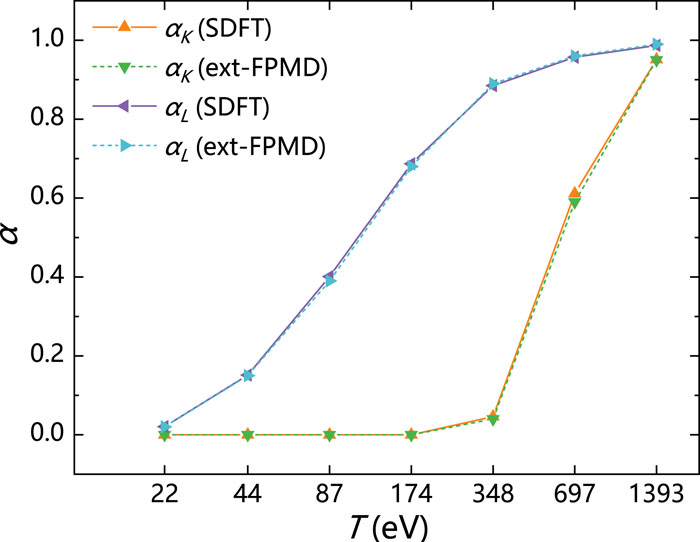
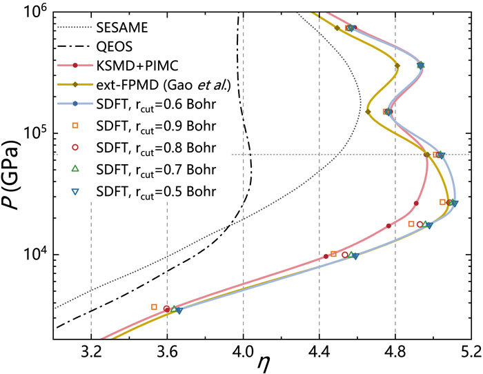
  • By adopting stochastic density functional theory (SDFT) and mixed stochastic–deterministic density functional theory (MDFT) methods, we perform first-principles calculations to predict the shock Hugoniot curves of boron (pressure P = 7.9 × 103–1.6 × 106 GPa and temperature T = 25–2800 eV), silicon (P = 2.6 × 103–7.9 × 105 GPa and T = 21.5–1393 eV), and aluminum (P = 5.2 × 103–9.0 × 105 GPa and T = 25–1393 eV) over wide ranges of pressure and temperature. In particular, we systematically investigate the impact of different cutoff radii in norm-conserving pseudopotentials on the calculated properties at elevated temperatures, such as pressure, ionization energy, and equation of state. By comparing the SDFT and MDFT results with those of other first-principles methods, such as extended first-principles molecular dynamics and path integral Monte Carlo methods, we find that the SDFT and MDFT methods show satisfactory precision, which advances our understanding of first-principles methods when applied to studies of matter at extremely high pressures and temperatures.
  • The authors have no conflicts to disclose.
    Conflict of Interest
    Tao Chen: Conceptualization (equal); Data curation (equal); Formal analysis (equal); Investigation (equal); Methodology (equal); Software (equal); Validation (equal); Visualization (equal); Writing – original draft (equal); Writing – review & editing (equal). Qianrui Liu: Formal analysis (equal); Software (equal); Writing – review & editing (equal). Chang Gao: Formal analysis (equal); Funding acquisition (equal); Methodology (equal); Writing – review & editing (equal). Mohan Chen: Conceptualization (equal); Data curation (equal); Formal analysis (equal); Funding acquisition (equal); Investigation (equal); Methodology (equal); Project administration (equal); Resources (equal); Software (equal); Supervision (equal); Writing – review & editing (equal).
    Author Contributions
    The data supporting this study's findings are available from the corresponding author upon reasonable request.
  • loading
  • [1]
    F. Wesemael, H. M. van Horn, M. P. Savedoff, and L. H. Auer, “Atmospheres for hot, high-gravity stars. I - Pure hydrogen models,” Astrophys. J., Suppl. Ser. 43, 159–303 (1980).10.1086/190668
    [2]
    T. Guillot, “Interiors of giant planets inside and outside the solar system,” Science 286, 72–77 (1999).10.1126/science.286.5437.72
    [3]
    J. Lindl, “Development of the indirect-drive approach to inertial confinement fusion and the target physics basis for ignition and gain,” Phys. Plasmas 2, 3933–4024 (1995).10.1063/1.871025
    [4]
    E. M. Campbell, V. N. Goncharov, T. C. Sangster, S. P. Regan, P. B. Radha et al., “Laser-direct-drive program: Promise, challenge, and path forward,” Matter Radiat. Extremes 2, 37–54 (2017).10.1016/j.mre.2017.03.001
    [5]
    P. Wang, C. Zhang, S. Jiang, X. Duan, H. Zhang et al., “Density-dependent shock Hugoniot of polycrystalline diamond at pressures relevant to ICF,” Matter Radiat. Extremes 6, 035902 (2021).10.1063/5.0039062
    [6]
    H.-K. Mao, X.-J. Chen, Y. Ding, B. Li, and L. Wang, “Solids, liquids, and gases under high pressure,” Rev. Mod. Phys. 90, 015007 (2018).10.1103/revmodphys.90.015007
    [7]
    A. Loveridge-Smith, A. Allen, J. Belak, T. Boehly, A. Hauer et al., “Anomalous elastic response of silicon to uniaxial shock compression on nanosecond time scales,” Phys. Rev. Lett. 86, 2349–2352 (2001).10.1103/physrevlett.86.2349
    [8]
    R. F. Smith, J. H. Eggert, R. Jeanloz, T. S. Duffy, D. G. Braun et al., “Ramp compression of diamond to five terapascals,” Nature 511, 330–333 (2014).10.1038/nature13526
    [9]
    S. Zhang, B. Militzer, M. C. Gregor, K. Caspersen, L. H. Yang et al., “Theoretical and experimental investigation of the equation of state of boron plasmas,” Phys. Rev. E 98, 023205 (2018).10.1103/physreve.98.023205
    [10]
    W. R. Johnson and J. Nilsen, “Opacity of shock-heated boron plasmas,” High Energy Density Phys. 31, 92–98 (2019).10.1016/j.hedp.2019.01.008
    [11]
    J. Nilsen, D. Åberg, H. D. Whitley, B. G. Wilson, L. H. Yang et al., “Role of opacity at the 9 keV back lighter energy used in measuring the equation of state of boron at pressures up to a Gbar,” High Energy Density Phys. 37, 100880 (2020).10.1016/j.hedp.2020.100880
    [12]
    B. J. Henderson, M. C. Marshall, T. R. Boehly, R. Paul, C. A. McCoy et al., “Shock-compressed silicon: Hugoniot and sound speed up to 2100 Gpa,” Phys. Rev. B 103, 094115 (2021).10.1103/physrevb.103.094115
    [13]
    H. Zhang, Y. Yang, W. Yang, Z. Guan, X. Duan et al., “Equation of state for boron nitride along the principal Hugoniot to 16 Mbar,” Matter Radiat. Extremes 9, 057403 (2024).10.1063/5.0206889
    [14]
    Y. Zel’dovich and Y. Raizer, Physics of Shock Waves and High-Temperature Hydrodynamic Phenomena, Dover Books on Physics (Dover Publications, 2002).
    [15]
    M. D. Knudson, R. W. Lemke, D. B. Hayes, C. A. Hall, C. Deeney et al., “Near-absolute Hugoniot measurements in aluminum to 500 GPa using a magnetically accelerated flyer plate technique,” J. Appl. Phys. 94, 4420–4431 (2003).10.1063/1.1604967
    [16]
    S. P. Marsh, LASL Shock Hugoniot Data (University of California Press, Berkeley, 1980).
    [17]
    S. L. Pape, A. A. Correa, C. Fortmann, P. Neumayer, T. Döppner et al., “Structure measurements of compressed liquid boron at megabar pressures,” New J. Phys. 15, 085011 (2013).10.1088/1367-2630/15/8/085011
    [18]
    L. Li, L. Zhang, S. Jiang, L. Guo, B. Qing et al., “The m-band transmission flux of the plastic foil with a coated layer of silicon or germanium,” Appl. Phys. Lett. 104, 054106 (2014).10.1063/1.4864157
    [19]
    K. Du, M. Liu, T. Wang, X. He, Z. Wang et al., “Recent progress in ICF target fabrication at RCLF,” Matter Radiat. Extremes 3, 135–144 (2018).10.1016/j.mre.2017.12.005
    [20]
    O. Ciricosta, S. M. Vinko, H.-K. Chung, B.-I. Cho, C. R. D. Brown et al., “Direct measurements of the ionization potential depression in a dense plasma,” Phys. Rev. Lett. 109, 065002 (2012).10.1103/physrevlett.109.065002
    [21]
    D. J. Hoarty, P. Allan, S. F. James, C. R. D. Brown, L. M. R. Hobbs et al., “Observations of the effect of ionization-potential depression in hot dense plasma,” Phys. Rev. Lett. 110, 265003 (2013).10.1103/physrevlett.110.265003
    [22]
    P. Hohenberg and W. Kohn, “Inhomogeneous electron gas,” Phys. Rev. 136, B864–B871 (1964).10.1103/physrev.136.b864
    [23]
    W. Kohn and L. J. Sham, “Self-consistent equations including exchange and correlation effects,” Phys. Rev. 140, A1133–A1138 (1965).10.1103/physrev.140.a1133
    [24]
    N. D. Mermin, “Thermal properties of the inhomogeneous electron gas,” Phys. Rev. 137, A1441–A1443 (1965).10.1103/physrev.137.a1441
    [25]
    T. J. Lenosky, S. R. Bickham, J. D. Kress, and L. A. Collins, “Density-functional calculation of the Hugoniot of shocked liquid deuterium,” Phys. Rev. B 61, 1–4 (2000).10.1103/physrevb.61.1
    [26]
    C. Wang, Y. Long, M.-F. Tian, X.-T. He, and P. Zhang, “Equations of state and transport properties of warm dense beryllium: A quantum molecular dynamics study,” Phys. Rev. E 87, 043105 (2013).10.1103/physreve.87.043105
    [27]
    S. X. Hu, V. N. Goncharov, T. R. Boehly, R. L. McCrory, S. Skupsky et al., “Impact of first-principles properties of deuterium–tritium on inertial confinement fusion target designs,” Phys. Plasmas 22, 056304 (2015).10.1063/1.4917477
    [28]
    Y. H. Ding and S. X. Hu, “First-principles equation-of-state table of beryllium based on density-functional theory calculations,” Phys. Plasmas 24, 062702 (2017).10.1063/1.4984780
    [29]
    M. Surh, T. Barbee, and L. Yang, “First principles molecular dynamics of dense plasmas,” Phys. Rev. Lett. 86, 5958–5961 (2001).10.1103/physrevlett.86.5958
    [30]
    C. Wang and P. Zhang, “Wide range equation of state for fluid hydrogen from density functional theory,” Phys. Plasmas 20, 092703 (2013).10.1063/1.4821839
    [31]
    T. Sjostrom and J. Daligault, “Fast and accurate quantum molecular dynamics of dense plasmas across temperature regimes,” Phys. Rev. Lett. 113, 155006 (2014).10.1103/physrevlett.113.155006
    [32]
    L. Fiedler, Z. A. Moldabekov, X. Shao, K. Jiang, T. Dornheim et al., “Accelerating equilibration in first-principles molecular dynamics with orbital-free density functional theory,” Phys. Rev. Res. 4, 043033 (2022).10.1103/physrevresearch.4.043033
    [33]
    Y. Cytter, E. Rabani, D. Neuhauser, and R. Baer, “Stochastic density functional theory at finite temperatures,” Phys. Rev. B 97, 115207 (2018).10.1103/physrevb.97.115207
    [34]
    F. Lambert, J. Clérouin, and G. Zérah, “Very-high-temperature molecular dynamics,” Phys. Rev. E 73, 016403 (2006).10.1103/physreve.73.016403
    [35]
    C. Wang, X.-T. He, and P. Zhang, “Ab initio simulations of dense Helium Plasmas,” Phys. Rev. Lett. 106, 145002 (2011).10.1103/physrevlett.106.145002
    [36]
    T. G. White, S. Richardson, B. J. B. Crowley, L. K. Pattison, J. W. O. Harris et al., “Orbital-free density-functional theory simulations of the dynamic structure factor of warm dense aluminum,” Phys. Rev. Lett. 111, 175002 (2013).10.1103/physrevlett.111.175002
    [37]
    M. Chen, J. Xia, C. Huang, J. M. Dieterich, L. Hung et al., “Introducing profess 3.0: An advanced program for orbital-free density functional theory molecular dynamics simulations,” Comput. Phys. Commun. 190, 228–230 (2015).10.1016/j.cpc.2014.12.021
    [38]
    M. Chen, X.-W. Jiang, H. Zhuang, L.-W. Wang, and E. A. Carter, “Petascale orbital-free density functional theory enabled by small-box algorithms,” J. Chem. Theor. Comput. 12, 2950–2963 (2016).10.1021/acs.jctc.6b00326
    [39]
    C. Gao, S. Zhang, W. Kang, C. Wang, P. Zhang et al., “Validity boundary of orbital-free molecular dynamics method corresponding to thermal ionization of shell structure,” Phys. Rev. B 94, 205115 (2016).10.1103/physrevb.94.205115
    [40]
    B. G. del Rio, M. Chen, L. E. González, and E. A. Carter, “Orbital-free density functional theory simulation of collective dynamics coupling in liquid Sn,” J. Chem. Phys. 149, 094504 (2018).10.1063/1.5040697
    [41]
    D. Kang, K. Luo, K. Runge, and S. B. Trickey, “Two-temperature warm dense hydrogen as a test of quantum protons driven by orbital-free density functional theory electronic forces,” Matter Radiat. Extremes 5, 064403 (2020).10.1063/5.0025164
    [42]
    Q. Liu, D. Lu, and M. Chen, “Structure and dynamics of warm dense aluminum: a molecular dynamics study with density functional theory and deep potential,” J. Phys.: Condens. Matter 32, 144002 (2020).10.1088/1361-648x/ab5890
    [43]
    S. X. Hu, B. Militzer, L. A. Collins, K. P. Driver, and J. D. Kress, “First-principles prediction of the softening of the silicon shock Hugoniot curve,” Phys. Rev. B 94, 094109 (2016).10.1103/physrevb.94.094109
    [44]
    S. X. Hu, R. Gao, Y. Ding, L. A. Collins, and J. D. Kress, “First-principles equation-of-state table of silicon and its effects on high-energy-density plasma simulations,” Phys. Rev. E 95, 043210 (2017).10.1103/physreve.95.043210
    [45]
    K. Luo, V. V. Karasiev, and S. B. Trickey, “A simple generalized gradient approximation for the noninteracting kinetic energy density functional,” Phys. Rev. B 98, 041111 (2018).10.1103/physrevb.98.041111
    [46]
    E. L. Pollock and D. M. Ceperley, “Simulation of quantum many-body systems by path-integral methods,” Phys. Rev. B 30, 2555–2568 (1984).10.1103/physrevb.30.2555
    [47]
    D. M. Ceperley and E. L. Pollock, “Path-integral computation of the low-temperature properties of liquid 4He,” Phys. Rev. Lett. 56, 351–354 (1986).10.1103/physrevlett.56.351
    [48]
    B. Militzer and D. M. Ceperley, “Path integral Monte Carlo calculation of the deuterium Hugoniot,” Phys. Rev. Lett. 85, 1890–1893 (2000).10.1103/physrevlett.85.1890
    [49]
    B. Militzer, D. M. Ceperley, J. D. Kress, J. D. Johnson, L. A. Collins et al., “Calculation of a deuterium double shock Hugoniot from ab initio simulations,” Phys. Rev. Lett. 87, 275502 (2001).10.1103/physrevlett.87.275502
    [50]
    B. Militzer, “First principles calculations of shock compressed fluid helium,” Phys. Rev. Lett. 97, 175501 (2006).10.1103/physrevlett.97.175501
    [51]
    S. X. Hu, B. Militzer, V. N. Goncharov, and S. Skupsky, “Strong coupling and degeneracy effects in inertial confinement fusion implosions,” Phys. Rev. Lett. 104, 235003 (2010).10.1103/physrevlett.104.235003
    [52]
    E. W. Brown, B. K. Clark, J. L. DuBois, and D. M. Ceperley, “Path-integral Monte Carlo simulation of the warm dense homogeneous electron gas,” Phys. Rev. Lett. 110, 146405 (2013).10.1103/physrevlett.110.146405
    [53]
    T. Dornheim, “Fermion sign problem in path integral Monte Carlo simulations: Quantum dots, ultracold atoms, and warm dense matter,” Phys. Rev. E 100, 023307 (2019).10.1103/physreve.100.023307
    [54]
    K. P. Driver and B. Militzer, “All-electron path integral Monte Carlo simulations of warm dense matter: Application to water and carbon plasmas,” Phys. Rev. Lett. 108, 115502 (2012).10.1103/physrevlett.108.115502
    [55]
    B. Militzer and K. P. Driver, “Development of path integral Monte Carlo simulations with localized nodal surfaces for second-row elements,” Phys. Rev. Lett. 115, 176403 (2015).10.1103/physrevlett.115.176403
    [56]
    K. P. Driver, F. Soubiran, and B. Militzer, “Path integral Monte Carlo simulations of warm dense aluminum,” Phys. Rev. E 97, 063207 (2018).10.1103/physreve.97.063207
    [57]
    B. Militzer, F. González-Cataldo, S. Zhang, K. P. Driver, and F. Soubiran, “First-principles equation of state database for warm dense matter computation,” Phys. Rev. E 103, 013203 (2021).10.1103/physreve.103.013203
    [58]
    S. Zhang, H. Wang, W. Kang, P. Zhang, and X. T. He, “Extended application of Kohn-Sham first-principles molecular dynamics method with plane wave approximation at high energy—from cold materials to hot dense plasmas,” Phys. Plasmas 23, 042707 (2016).10.1063/1.4947212
    [59]
    P. Hollebon and T. Sjostrom, “Hybrid Kohn-Sham + Thomas-Fermi scheme for high-temperature density functional theory,” Phys. Rev. B 105, 235114 (2022).10.1103/physrevb.105.235114
    [60]
    J. Clérouin, A. Blanchet, C. Blancard, G. Faussurier, F. Soubiran et al., “Equivalence between pressure- and structure-defined ionization in hot dense carbon,” Phys. Rev. E 106, 045204 (2022).10.1103/physreve.106.045204
    [61]
    Y. Zhang, C. Gao, Q. Liu, L. Zhang, H. Wang et al., “Warm dense matter simulation via electron temperature dependent deep potential molecular dynamics,” Phys. Plasmas 27, 122704 (2020).10.1063/5.0023265
    [62]
    X. Liu, X. Zhang, C. Gao, S. Zhang, C. Wang et al., “Equations of state of poly-α-methylstyrene and polystyrene: First-principles calculations versus precision measurements,” Phys. Rev. B 103, 174111 (2021).10.1103/physrevb.103.174111
    [63]
    C. Gao, X. Liu, S. Zhang, W. Kang, P. Zhang et al., “Consistent wide-range equation of state of silicon by a unified first-principles method,” Phys. Rev. B 107, 165150 (2023).10.1103/physrevb.107.165150
    [64]
    A. Blanchet, M. Torrent, and J. Clérouin, “Requirements for very high temperature Kohn–Sham DFT simulations and how to bypass them,” Phys. Plasmas 27, 122706 (2020).10.1063/5.0016538
    [65]
    A. Blanchet, J. Clérouin, M. Torrent, and F. Soubiran, “Extended first-principles molecular dynamics model for high temperature simulations in the Abinit code: Application to warm dense aluminum,” Comput. Phys. Commun. 271, 108215 (2022).10.1016/j.cpc.2021.108215
    [66]
    A. Blanchet, F. Soubiran, M. Torrent, and J. Clérouin, “Extended first-principles molecular dynamics simulations of hot dense boron: equation of state and ionization,” Contrib. Plasma Phys. 62, e202100234 (2022).10.1002/ctpp.202100234
    [67]
    A. Blanchet, F. Soubiran, M. Torrent, and J. Clérouin, “First-principles molecular-dynamics equation of state of liquid to dense plasma iron,” Phys. Rev. E 111, 015206 (2025).10.1103/physreve.111.015206
    [68]
    P. Suryanarayana, P. P. Pratapa, A. Sharma, and J. E. Pask, “SQDFT: Spectral quadrature method for large-scale parallel O(N) Kohn–Sham calculations at high temperature,” Comput. Phys. Commun. 224, 288–298 (2018).10.1016/j.cpc.2017.12.003
    [69]
    M. Bethkenhagen, A. Sharma, P. Suryanarayana, J. E. Pask, B. Sadigh et al., “Properties of carbon up to 10 million kelvin from Kohn-Sham density functional theory molecular dynamics,” Phys. Rev. E 107, 015306 (2023).10.1103/physreve.107.015306
    [70]
    C. E. Starrett, J. Daligault, and D. Saumon, “Pseudoatom molecular dynamics,” Phys. Rev. E 91, 013104 (2015).10.1103/physreve.91.013104
    [71]
    R. A. Heinonen, D. Saumon, J. Daligault, C. E. Starrett, S. D. Baalrud et al., “Diffusion coefficients in the envelopes of white dwarfs,” Astrophys. J. 896, 2 (2020).10.3847/1538-4357/ab91ad
    [72]
    D. Saumon and C. E. Starrett, “Pseudo-atom molecular dynamics: A model for warm and hot dense matter,” AIP Conf. Proc. 2272, 090002 (2020).10.1063/12.0000803
    [73]
    A. L. Falkov, P. A. Loboda, A. A. Ovechkin, and S. V. Ivliev, “Pseudoatom molecular dynamics method for calculating the coefficients of viscosity and ion self-diffusion in a dense plasma,” J. Exp. Theor. Phys. 134, 371–383 (2022).10.1134/s1063776122030049
    [74]
    C.-C. Chen, R. J. Appleton, K. Nykiel, S. Mishra, S. Yao et al., “How accurate is density functional theory at high pressures?,” Comput. Mater. Sci. 247, 113458 (2025).10.1016/j.commatsci.2024.113458
    [75]
    G. A. de Wijs, G. Kresse, L. Vočadlo, D. Dobson, D. Alfè et al., “The viscosity of liquid iron at the physical conditions of the earth’s core,” Nature 392, 805–807 (1998).10.1038/33905
    [76]
    D. Alfè, M. J. Gillan, and G. D. Price, “The melting curve of iron at the pressures of the earth’s core from ab initio calculations,” Nature 401, 462–464 (1999).10.1038/46758
    [77]
    R. Baer, D. Neuhauser, and E. Rabani, “Self-averaging stochastic Kohn-Sham density-functional theory,” Phys. Rev. Lett. 111, 106402 (2013).10.1103/physrevlett.111.106402
    [78]
    A. J. White and L. A. Collins, “Fast and universal Kohn-Sham density functional theory algorithm for warm dense matter to hot dense plasma,” Phys. Rev. Lett. 125, 055002 (2020).10.1103/physrevlett.125.055002
    [79]
    Q. Liu and M. Chen, “Plane-wave-based stochastic-deterministic density functional theory for extended systems,” Phys. Rev. B 106, 125132 (2022).10.1103/physrevb.106.125132
    [80]
    T. Chen, Q. Liu, Y. Liu, L. Sun, and M. Chen, “Combining stochastic density functional theory with deep potential molecular dynamics to study warm dense matter,” Matter Radiat. Extremes 9, 015604 (2024).10.1063/5.0163303
    [81]
    M. D. Fabian, B. Shpiro, E. Rabani, D. Neuhauser, and R. Baer, “Stochastic density functional theory,” Wiley Interdiscip. Rev.: Comput. Mol. Sci. 9, e1412 (2019).10.1002/wcms.1412
    [82]
    R. Baer, D. Neuhauser, and E. Rabani, “Stochastic vector techniques in ground-state electronic structure,” Annu. Rev. Phys. Chem. 73, 255–272 (2022).10.1146/annurev-physchem-090519-045916
    [83]
    V. Sharma, L. A. Collins, and A. J. White, “Stochastic and mixed density functional theory within the projector augmented wave formalism for simulation of warm dense matter,” Phys. Rev. E 108, L023201 (2023).10.1103/physreve.108.l023201
    [84]
    M. Chen, G.-C. Guo, and L. He, “Systematically improvable optimized atomic basis sets for ab initio calculations,” J. Phys.: Condens. Matter 22, 445501 (2010).10.1088/0953-8984/22/44/445501
    [85]
    P. Li, X. Liu, M. Chen, P. Lin, X. Ren et al., “Large-scale ab initio simulations based on systematically improvable atomic basis,” Comput. Mater. Sci. 112, 503–517 (2016).10.1016/j.commatsci.2015.07.004
    [86]
    [87]
    R. Baer and M. Head-Gordon, “Sparsity of the density matrix in Kohn-Sham density functional theory and an assessment of linear system-size scaling methods,” Phys. Rev. Lett. 79, 3962–3965 (1997).10.1103/physrevlett.79.3962
    [88]
    I. B. Zel’dovich, Y. P. Raizer, and W. D. Hayes, Physics of Shock Waves and High-Temperature Hydrodynamic Phenomena (Academic Press New York, 1966), Vol. 1.
    [89]
    H. J. Monkhorst and J. D. Pack, “Special points for Brillouin-zone integrations,” Phys. Rev. B 13, 5188–5192 (1976).10.1103/physrevb.13.5188
    [90]
    D. R. Hamann, M. Schlüter, and C. Chiang, “Norm-conserving pseudopotentials,” Phys. Rev. Lett. 43, 1494–1497 (1979).10.1103/physrevlett.43.1494
    [91]
    L. Kleinman and D. M. Bylander, “Efficacious form for model pseudopotentials,” Phys. Rev. Lett. 48, 1425–1428 (1982).10.1103/physrevlett.48.1425
    [92]
    M. Schlipf and F. Gygi, “Optimization algorithm for the generation of ONCV pseudopotentials,” Comput. Phys. Commun. 196, 36–44 (2015).10.1016/j.cpc.2015.05.011
    [93]
    D. R. Hamann, “Optimized norm-conserving vanderbilt pseudopotentials,” Phys. Rev. B 88, 085117 (2013).10.1103/physrevb.88.085117
    [94]
    D. R. Hamann, “Erratum: Optimized norm-conserving Vanderbilt pseudopotentials [Phys. Rev. B 88, 085117 (2013)],” Phys. Rev. B 95, 239906 (2017).10.1103/physrevb.95.239906
    [95]
    L. V. Woodcock, “Isothermal molecular dynamics calculations for liquid salts,” Chem. Phys. Lett. 10, 257–261 (1971).10.1016/0009-2614(71)80281-6
    [96]
    D. J. Evans, “Computer ‘experiment’ for nonlinear thermodynamics of Couette flow,” J. Chem. Phys. 78, 3297–3302 (1983).10.1063/1.445195
    [97]
    J. P. Perdew and A. Zunger, “Self-interaction correction to density-functional approximations for many-electron systems,” Phys. Rev. B 23, 5048–5079 (1981).10.1103/physrevb.23.5048
    [98]
    J. P. Perdew, K. Burke, and M. Ernzerhof, “Generalized gradient approximation made simple,” Phys. Rev. Lett. 77, 3865–3868 (1996).10.1103/physrevlett.77.3865
    [99]
    A. R. Oganov and V. L. Solozhenko, “Boron: A hunt for superhard polymorphs,” J. Superhard Mater. 31, 285–291 (2009).10.3103/s1063457609050013
    [100]
    G. B. Bachelet, D. R. Hamann, and M. Schlüter, “Pseudopotentials that work: From H to Pu,” Phys. Rev. B 26, 4199–4228 (1982).10.1103/physrevb.26.4199
    [101]
    D. Vanderbilt, “Soft self-consistent pseudopotentials in a generalized eigenvalue formalism,” Phys. Rev. B 41, 7892–7895 (1990).10.1103/physrevb.41.7892
    [102]
    P. E. Blöchl, “Projector augmented-wave method,” Phys. Rev. B 50, 17953–17979 (1994).10.1103/physrevb.50.17953
    [103]
    J. Shen and W. Kang, “Minimum model for the main feature of shock Hugoniot near its maximum compression ratio,” Phys. Rev. B 107, 035102 (2023).10.1103/physrevb.107.035102
    [104]
    [105]
    R. M. More, K. H. Warren, D. A. Young, and G. B. Zimmerman, “A new quotidian equation of state (QEOS) for hot dense matter,” Phys. Fluids 31, 3059–3078 (1988).10.1063/1.866963
    [106]
    A. Vladimirov, N. Voloshin, V. Nogin, A. Petrovtsev, and V. Simonenko, “Shock compressibility of aluminum at p ≳ 1 Gbar,” JETP Lett. 39, 82 (1984).
    [107]
    V. Sirnonenko, N. Voloshin, S. Vladirnirov, P. Nagibin, and V. Nogin, “Absolute measurements of shock compressibility of aluminum at pressures p ≳ 1 Tpa,” Zh. Eksp. Teor. Fiz. 88, 1452–1459 (1985).
    [108]
    B. F. Rozsnyai, J. R. Albritton, D. A. Young, V. N. Sonnad, and D. A. Liberman, “Theory and experiment for ultrahigh pressure shock Hugoniots,” Phys. Lett. A 291, 226–231 (2001).10.1016/s0375-9601(01)00661-2.
  • 加载中

Catalog

    通讯作者: 陈斌, bchen63@163.com
    • 1. 

      沈阳化工大学材料科学与工程学院 沈阳 110142

    1. 本站搜索
    2. 百度学术搜索
    3. 万方数据库搜索
    4. CNKI搜索

    Figures(8)  / Tables(1)

    Article Metrics

    Article views (3248) PDF downloads(3) Cited by()
    Proportional views
    Related

    /

    DownLoad:  Full-Size Img  PowerPoint
    Return
    Return