Follow us on Wechat

用微信扫码二维码

分享至好友和朋友圈

Volume 10 Issue 4
Jul.  2025
Turn off MathJax
Article Contents
Moldabekov Zhandos A., Schwalbe Sebastian, Gawne Thomas, Preston Thomas R., Vorberger Jan, Dornheim Tobias. Applying the Liouville–Lanczos method of time-dependent density-functional theory to warm dense matter[J]. Matter and Radiation at Extremes, 2025, 10(4): 047601. doi: 10.1063/5.0263947
Citation: Moldabekov Zhandos A., Schwalbe Sebastian, Gawne Thomas, Preston Thomas R., Vorberger Jan, Dornheim Tobias. Applying the Liouville–Lanczos method of time-dependent density-functional theory to warm dense matter[J]. Matter and Radiation at Extremes, 2025, 10(4): 047601. doi: 10.1063/5.0263947

Applying the Liouville–Lanczos method of time-dependent density-functional theory to warm dense matter

doi: 10.1063/5.0263947
More Information
  • Corresponding author: a)Author to whom correspondence should be addressed: z.moldabekov@hzdr.de
  • Received Date: 2025-02-07
  • Accepted Date: 2025-04-09
  • Available Online: 2025-11-28
  • Publish Date: 2025-07-01
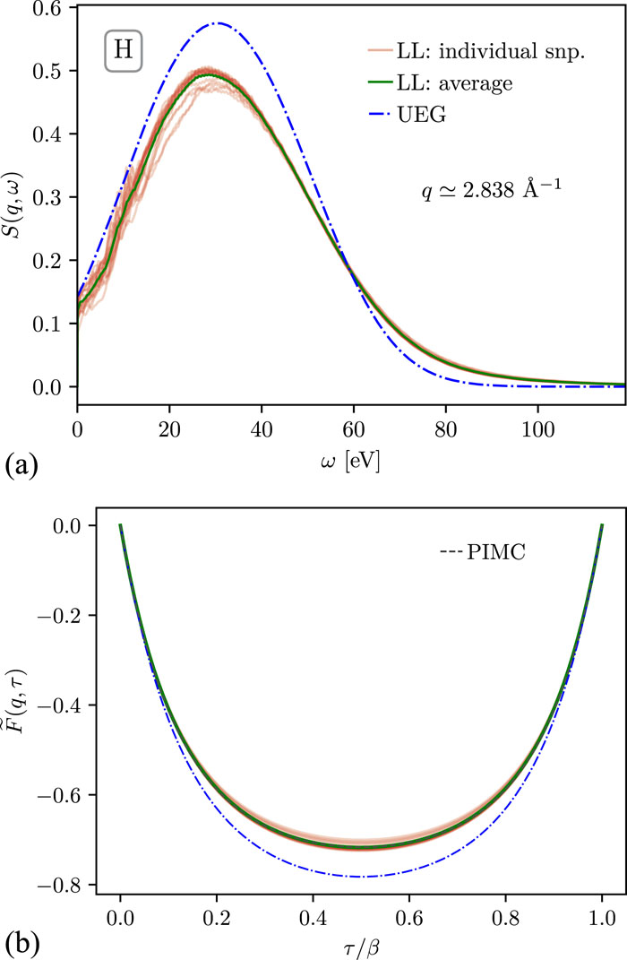
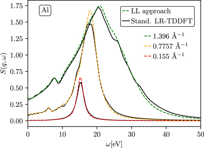
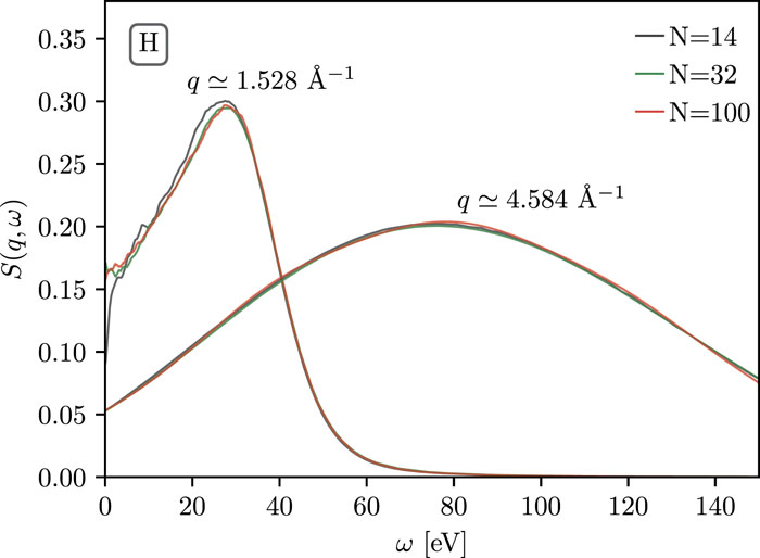
  • Ab initio modeling of dynamic structure factors (DSF) and related density response properties in the warm dense matter (WDM) regime is a challenging computational task. The DSF, convolved with a probing X-ray beam and instrument function, is measured in X-ray Thomson scattering (XRTS) experiments, which allow the study of electronic structure properties at the microscopic level. Among the various ab initio methods, linear-response time-dependent density-functional theory (LR-TDDFT) is a key framework for simulating the DSF. The standard approach in LR-TDDFT for computing the DSF relies on the orbital representation. A significant drawback of this method is the unfavorable scaling of the number of required empty bands as the wavenumber increases, making LR-TDDFT impractical for modeling XRTS measurements over large energy scales, such as in backward scattering geometry. In this work, we consider and test an alternative approach to LR-TDDFT that employs the Liouville–Lanczos (LL) method for simulating the DSF of WDM. This approach does not require empty states and allows the DSF at large momentum transfer values and over a broad frequency range to be accessed. We compare the results obtained from the LL method with those from the solution of Dyson’s equation using the standard LR-TDDFT within the projector augmented-wave formalism for isochorically heated aluminum and warm dense hydrogen. Additionally, we utilize exact path integral Monte Carlo results for the imaginary-time density-density correlation function (ITCF) of warm dense hydrogen to rigorously benchmark the LL approach. We discuss the application of the LL method for calculating DSFs and ITCFs at different wavenumbers, the effects of pseudopotentials, and the role of Lorentzian smearing. The successful validation of the LL method under WDM conditions makes it a valuable addition to the ab initio simulation landscape, supporting experimental efforts and advancing WDM theory.
  • Conflict of Interest
    The authors have no conflicts to disclose.
    Zhandos A. Moldabekov: Conceptualization (lead); Data curation (lead); Formal analysis (lead); Investigation (lead); Methodology (lead); Validation (lead); Visualization (lead); Writing – original draft (lead). Sebastian Schwalbe: Formal analysis (equal); Investigation (equal); Methodology (equal); Writing – original draft (equal). Thomas Gawne: Formal analysis (equal); Investigation (equal); Methodology (equal); Writing – original draft (equal). Thomas R. Preston: Formal analysis (equal); Investigation (equal); Methodology (equal); Writing – original draft (equal). Jan Vorberger: Formal analysis (equal); Investigation (equal); Methodology (equal); Writing – original draft (equal). Tobias Dornheim: Conceptualization (equal); Data curation (equal); Formal analysis (equal); Funding acquisition (lead); Investigation (equal); Methodology (equal); Project administration (equal); Validation (equal); Writing – original draft (equal).
    Author Contributions
    The data that support the findings of this study are available within the article.
  • loading
  • [1]
    V. E. Fortov, “Extreme states of matter on earth and in space,” Phys.-Usp. 52, 615–647 (2009).10.3367/ufne.0179.200906h.0653
    [2]
    D. Kraus, A. Ravasio, M. Gauthier, D. O. Gericke, J. Vorberger et al., “Nanosecond formation of diamond and lonsdaleite by shock compression of graphite,” Nat. Commun. 7, 10970 (2016).10.1038/ncomms10970
    [3]
    K. Batani, D. Batani, X. T. He, and K. Shigemori, “Recent progress in matter in extreme states created by laser,” Matter Radiat. Extremes 7, 013001 (2021).10.1063/5.0078895
    [4]
    R. Betti, “A milestone in fusion research is reached,” Nat. Rev. Phys. 5, 6–8 (2023).10.1038/s42254-022-00547-y
    [5]
    R. Drake, High-Energy-Density Physics: Foundation of Inertial Fusion and Experimental Astrophysics, Graduate Texts in Physics (Springer International Publishing, 2018).
    [6]
    Frontiers and Challenges in Warm Dense Matter, edited by F. Graziani, M. P. Desjarlais, R. Redmer, and S. B. Trickey (Springer International Publishing, 2014).
    [7]
    M. Bonitz, J. Vorberger, M. Bethkenhagen, M. P. Böhme, D. M. Ceperley et al., “Toward first principles-based simulations of dense hydrogen,” Phys. Plasmas 31, 110501 (2024).10.1063/5.0219405
    [8]
    Z. Moldabekov, J. Vorberger, and T. Dornheim, “From density response to energy functionals and back: An ab initio perspective on matter under extreme conditions,” Prog. Part. Nucl. Phys. 140, 104144 (2025).10.1016/j.ppnp.2024.104144
    [9]
    U. Zastrau, K. Appel, C. Baehtz, O. Baehr, L. Batchelor et al., “The high energy density scientific instrument at the European XFEL,” J. Synchrotron Radiat. 28, 1393–1416 (2021).10.1107/s1600577521007335
    [10]
    D. Ranjan, K. Ramakrishna, K. Voigt, O. S. Humphries, B. Heuser et al., “Toward using collective X-ray Thomson scattering to study C–H demixing and hydrogen metallization in warm dense matter conditions,” Phys. Plasmas 30, 052702 (2023).10.1063/5.0146416
    [11]
    L. B. Fletcher, H. J. Lee, T. Döppner, E. Galtier, B. Nagler et al., “Ultrabright X-ray laser scattering for dynamic warm dense matter physics,” Nat. Photonics 9, 274–279 (2015).10.1038/nphoton.2015.41
    [12]
    T. Hara, Y. Inubushi, T. Katayama, T. Sato, H. Tanaka et al., “Two-colour hard X-ray free-electron laser with wide tunability,” Nat. Commun. 4, 2919 (2013).10.1038/ncomms3919
    [13]
    A. Lees, R. Betti, J. P. Knauer, V. Gopalaswamy, D. Patel et al., “Experimentally inferred fusion yield dependencies of omega inertial confinement fusion implosions,” Phys. Rev. Lett. 127, 105001 (2021).10.1103/physrevlett.127.105001
    [14]
    M. D. Knudson, M. P. Desjarlais, A. Becker, R. W. Lemke, K. R. Cochrane et al., “Direct observation of an abrupt insulator-to-metal transition in dense liquid deuterium,” Science 348, 1455–1460 (2015).10.1126/science.aaa7471
    [15]
    T. Döppner, M. Bethkenhagen, D. Kraus, P. Neumayer, D. A. Chapman et al., “Observing the onset of pressure-driven K-shell delocalization,” Nature 618, 270 (2023).10.1038/s41586-023-05996-8
    [16]
    T. Dornheim, Z. A. Moldabekov, K. Ramakrishna, P. Tolias, A. D. Baczewski et al., “Electronic density response of warm dense matter,” Phys. Plasmas 30, 032705 (2023).10.1063/5.0138955
    [17]
    S. H. Glenzer, O. L. Landen, P. Neumayer, R. W. Lee, K. Widmann et al., “Observations of plasmons in warm dense matter,” Phys. Rev. Lett. 98, 065002 (2007).10.1103/physrevlett.98.065002
    [18]
    E. García Saiz, G. Gregori, D. O. Gericke, J. Vorberger, B. Barbrel et al., “Probing warm dense lithium by inelastic X-ray scattering,” Nat. Phys. 4, 940–944 (2008).10.1038/nphys1103
    [19]
    H. M. Bellenbaum, B. Bachmann, D. Kraus, T. Gawne, M. P. Böhme et al., “Toward model-free temperature diagnostics of warm dense matter from multiple scattering angles,” Appl. Phys. Lett. 126, 044104 (2025).10.1063/5.0248230
    [20]
    T. Gawne, H. Bellenbaum, L. B. Fletcher, K. Appel, C. Baehtz et al., “Effects of mosaic crystal instrument functions on X-ray Thomson scattering diagnostics,” J. Appl. Phys. 136, 105902 (2024).10.1063/5.0222072
    [21]
    T. Dornheim, M. Böhme, D. Kraus, T. Döppner, T. R. Preston et al., “Accurate temperature diagnostics for matter under extreme conditions,” Nat. Commun. 13, 7911 (2022).10.1038/s41467-022-35578-7
    [22]
    T. Döppner, O. L. Landen, H. J. Lee, P. Neumayer, S. P. Regan et al., “Temperature measurement through detailed balance in X-ray Thomson scattering,” High Energy Density Phys. 5, 182–186 (2009).10.1016/j.hedp.2009.05.012
    [23]
    [24]
    [25]
    G. Gregori, S. H. Glenzer, W. Rozmus, R. W. Lee, and O. L. Landen, “Theoretical model of X-ray scattering as a dense matter probe,” Phys. Rev. E 67, 026412 (2003).10.1103/physreve.67.026412
    [26]
    [27]
    M. F. Kasim, T. P. Galligan, J. Topp-Mugglestone, G. Gregori, and S. M. Vinko, “Inverse problem instabilities in large-scale modeling of matter in extreme conditions,” Phys. Plasmas 26, 112706 (2019).10.1063/1.5125979
    [28]
    M. Marques, N. Maitra, F. Nogueira, E. Gross, and A. Rubio, in Fundamentals of Time-Dependent Density Functional Theory, Lecture Notes in Physics (Springer, Berlin Heidelberg, 2012).
    [29]
    A. D. Baczewski, L. Shulenburger, M. P. Desjarlais, S. B. Hansen, and R. J. Magyar, “X-ray Thomson scattering in warm dense matter without the Chihara decomposition,” Phys. Rev. Lett. 116, 115004 (2016).10.1103/physrevlett.116.115004
    [30]
    A. J. White, “Dynamical structure factors of warm dense matter from time-dependent orbital-free and mixed-stochastic-deterministic density functional theory,” Electron. Struct. 7, 014001 (2025).10.1088/2516-1075/adad24
    [31]
    C. Mo, Z. Fu, W. Kang, P. Zhang, and X. T. He, “First-principles estimation of electronic temperature from X-ray Thomson scattering spectrum of isochorically heated warm dense matter,” Phys. Rev. Lett. 120, 205002 (2018).10.1103/physrevlett.120.205002
    [32]
    C. Mo, Z.-G. Fu, P. Zhang, W. Kang, W. Zhang et al., “First-principles method for X-ray Thomson scattering including both elastic and inelastic features in warm dense matter,” Phys. Rev. B 102, 195127 (2020).10.1103/physrevb.102.195127
    [33]
    Z. A. Moldabekov, M. Pavanello, M. P. Böhme, J. Vorberger, and T. Dornheim, “Linear-response time-dependent density functional theory approach to warm dense matter with adiabatic exchange-correlation kernels,” Phys. Rev. Res. 5, 023089 (2023).10.1103/PhysRevResearch.5.023089
    [34]
    M. Schörner, M. Bethkenhagen, T. Döppner, D. Kraus, L. B. Fletcher et al., “X-ray Thomson scattering spectra from density functional theory molecular dynamics simulations based on a modified Chihara formula,” Phys. Rev. E 107, 065207 (2023).10.1103/physreve.107.065207
    [35]
    J. Yan, J. J. Mortensen, K. W. Jacobsen, and K. S. Thygesen, “Linear density response function in the projector augmented wave method: Applications to solids, surfaces, and interfaces,” Phys. Rev. B 83, 245122 (2011).10.1103/physrevb.83.245122
    [36]
    B. Walker, A. M. Saitta, R. Gebauer, and S. Baroni, “Efficient approach to time-dependent density-functional perturbation theory for optical spectroscopy,” Phys. Rev. Lett. 96, 113001 (2006).10.1103/physrevlett.96.113001
    [37]
    D. Rocca, R. Gebauer, Y. Saad, and S. Baroni, “Turbo charging time-dependent density-functional theory with lanczos chains,” J. Chem. Phys. 128, 154105 (2008).10.1063/1.2899649
    [38]
    O. B. Malcıoğlu, R. Gebauer, D. Rocca, and S. Baroni, “turboTDDFT–A code for the simulation of molecular spectra using the Liouville–Lanczos approach to time-dependent density-functional perturbation theory,” Comput. Phys. Commun. 182, 1744–1754 (2011).10.1016/j.cpc.2011.04.020
    [39]
    I. Timrov, N. Vast, R. Gebauer, and S. Baroni, “turboEELS—A code for the simulation of the electron energy loss and inelastic X-ray scattering spectra using the Liouville–Lanczos approach to time-dependent density-functional perturbation theory,” Comput. Phys. Commun. 196, 460–469 (2015).10.1016/j.cpc.2015.05.021
    [40]
    I. Carnimeo, F. Affinito, S. Baroni, O. Baseggio, L. Bellentani et al., “Quantum ESPRESSO: One further step toward the exascale,” J. Chem. Theor. Comput. 19, 6992–7006 (2023).10.1021/acs.jctc.3c00249
    [41]
    O. Motornyi, N. Vast, I. Timrov, O. Baseggio, S. Baroni et al., “Electron energy loss spectroscopy of bulk gold with ultrasoft pseudopotentials and the Liouville–Lanczos method,” Phys. Rev. B 102, 035156 (2020).10.1103/physrevb.102.035156
    [42]
    I. Timrov, M. Markov, T. Gorni, M. Raynaud, O. Motornyi et al., “Ab initio study of electron energy loss spectra of bulk bismuth up to 100 eV,” Phys. Rev. B 95, 094301 (2017).10.1103/physrevb.95.094301
    [43]
    I. Timrov, N. Vast, R. Gebauer, and S. Baroni, “Electron energy loss and inelastic X-ray scattering cross sections from time-dependent density-functional perturbation theory,” Phys. Rev. B 88, 064301 (2013).10.1103/physrevb.88.064301
    [44]
    T. Dornheim, S. Schwalbe, P. Tolias, M. P. Böhme, Z. A. Moldabekov et al., “Ab initio density response and local field factor of warm dense hydrogen,” Matter Radiat. Extremes 9, 057401 (2024).10.1063/5.0211407
    [45]
    A. Ng, P. Celliers, G. Xu, and A. Forsman, “Electron-ion equilibration in a strongly coupled plasma,” Phys. Rev. E 52, 4299–4310 (1995).10.1103/physreve.52.4299
    [46]
    M. Nicoul, U. Shymanovich, A. Tarasevitch, D. von der Linde, and K. Sokolowski-Tinten, “Picosecond acoustic response of a laser-heated gold-film studied with time-resolved X-ray diffraction,” Appl. Phys. Lett. 98, 191902 (2011).10.1063/1.3584864
    [47]
    T. G. White, P. Mabey, D. O. Gericke, N. J. Hartley, H. W. Doyle et al., “Electron-phonon equilibration in laser-heated gold films,” Phys. Rev. B 90, 014305 (2014).10.1103/physrevb.90.014305
    [48]
    Z. A. Moldabekov, T. D. Gawne, S. Schwalbe, T. R. Preston, J. Vorberger et al., “Excitation signatures of isochorically heated electrons in solids at finite wave number explored from first principles,” Phys. Rev. Res. 6, 023219 (2024).10.1103/physrevresearch.6.023219
    [49]
    P. E. Blöchl, “Projector augmented-wave method,” Phys. Rev. B 50, 17953–17979 (1994).10.1103/physrevb.50.17953
    [50]
    L. B. Fletcher, J. Vorberger, W. Schumaker, C. Ruyer, S. Goede et al., “Electron-ion temperature relaxation in warm dense hydrogen observed with picosecond resolved X-ray scattering,” Front. Phys. 10, 838524 (2022).10.3389/fphy.2022.838524
    [51]
    U. Zastrau, P. Sperling, M. Harmand, A. Becker, T. Bornath et al., “Resolving ultrafast heating of dense cryogenic hydrogen,” Phys. Rev. Lett. 112, 105002 (2014).10.1103/physrevlett.112.105002
    [52]
    M. Jarrell and J. E. Gubernatis, “Bayesian inference and the analytic continuation of imaginary-time quantum Monte Carlo data,” Phys. Rep. 269, 133–195 (1996).10.1016/0370-1573(95)00074-7
    [53]
    T. Dornheim, S. Groth, J. Vorberger, and M. Bonitz, “Ab initio path integral Monte Carlo results for the dynamic structure factor of correlated electrons: From the electron liquid to warm dense matter,” Phys. Rev. Lett. 121, 255001 (2018).10.1103/physrevlett.121.255001
    [54]
    S. H. Glenzer and R. Redmer, “X-ray Thomson scattering in high energy density plasmas,” Rev. Mod. Phys. 81, 1625 (2009).10.1103/revmodphys.81.1625
    [55]
    D. Kraus, B. Bachmann, B. Barbrel, R. W. Falcone, L. B. Fletcher et al., “Characterizing the ionization potential depression in dense carbon plasmas with high-precision spectrally resolved X-ray scattering,” Plasma Phys. Control Fusion 61, 014015 (2019).10.1088/1361-6587/aadd6c
    [56]
    J. Vorberger and D. O. Gericke, “Ab initio approach to model X-ray diffraction in warm dense matter,” Phys. Rev. E 91, 033112 (2015).10.1103/physreve.91.033112
    [57]
    J. Chihara, “Difference in X-ray scattering between metallic and non-metallic liquids due to conduction electrons,” J. Phys. F: Met. Phys. 17, 295–304 (1987).10.1088/0305-4608/17/2/002
    [58]
    J. Chihara, “Interaction of photons with plasmas and liquid metals-photoabsorption and scattering,” J. Phys. Condens. Matter 12, 231 (2000).10.1088/0953-8984/12/3/303
    [59]
    G. Giuliani and G. Vignale, Quantum Theory of the Electron Liquid (Cambridge University Press, Cambridge, 2008).
    [60]
    I. G. Gurtubay, J. M. Pitarke, W. Ku, A. G. Eguiluz, B. C. Larson et al., “Electron-hole and plasmon excitations in 3d transition metals: Ab initio calculations and inelastic X-ray scattering measurements,” Phys. Rev. B 72, 125117 (2005).10.1103/physrevb.72.125117
    [61]
    R. M. Martin, L. Reining, and D. M. Ceperley, Interacting Electrons: Theory and Computational Approaches (Cambridge University Press, 2016).
    [62]
    Y.-M. Byun, J. Sun, and C. A. Ullrich, “Time-dependent density-functional theory for periodic solids: Assessment of excitonic exchange–correlation kernels,” Electron. Struct. 2, 023002 (2020).10.1088/2516-1075/ab7b12
    [63]
    M. S. Hybertsen and S. G. Louie, “Ab initio static dielectric matrices from the density-functional approach. I. Formulation and application to semiconductors and insulators,” Phys. Rev. B 35, 5585–5601 (1987).10.1103/physrevb.35.5585
    [64]
    E. K. U. Gross and W. Kohn, “Local density-functional theory of frequency-dependent linear response,” Phys. Rev. Lett. 55, 2850–2852 (1985).10.1103/physrevlett.55.2850
    [65]
    X. Ge, S. J. Binnie, D. Rocca, R. Gebauer, and S. Baroni, “Turbotddft 2.0—Hybrid functionals and new algorithms within time-dependent density-functional perturbation theory,” Comput. Phys. Commun. 185, 2080–2089 (2014).10.1016/j.cpc.2014.03.005
    [66]
    Y. Saad, Iterative Methods for Sparse Linear Systems, 2nd ed. (Society for Industrial and Applied Mathematics, 2003).
    [67]
    E. Vitali, M. Rossi, L. Reatto, and D. E. Galli, “Ab initio low-energy dynamics of superfluid and solid 4He,” Phys. Rev. B 82, 174510 (2010).10.1103/physrevb.82.174510
    [68]
    A. Filinov and M. Bonitz, “Collective and single-particle excitations in two-dimensional dipolar bose gases,” Phys. Rev. A. 86, 043628 (2012).10.1103/physreva.86.043628
    [69]
    Y. Kora and M. Boninsegni, “Dynamic structure factor of superfluid 4He from quantum Monte Carlo: Maximum entropy revisited,” Phys. Rev. B 98, 134509 (2018).10.1103/physrevb.98.134509
    [70]
    G. Ferré and J. Boronat, “Dynamic structure factor of liquid 4He across the normal-superfluid transition,” Phys. Rev. B 93, 104510 (2016).10.1103/PhysRevB.93.104510
    [71]
    M. Motta, D. E. Galli, S. Moroni, and E. Vitali, “Imaginary time density-density correlations for two-dimensional electron gases at high density,” J. Chem. Phys. 143, 164108 (2015).10.1063/1.4934666
    [72]
    A. Filinov, “Correlation effects and collective excitations in bosonic bilayers: Role of quantum statistics, superfluidity, and the dimerization transition,” Phys. Rev. A. 94, 013603 (2016).10.1103/physreva.94.013603
    [73]
    T. Dornheim, Z. A. Moldabekov, J. Vorberger, and B. Militzer, “Path integral Monte Carlo approach to the structural properties and collective excitations of liquid 3He without fixed nodes,” Sci. Rep. 12, 708 (2022).10.1038/s41598-021-04355-9
    [74]
    T. Dornheim, Z. A. Moldabekov, P. Tolias, M. Böhme, and J. Vorberger, “Physical insights from imaginary-time density–density correlation functions,” Matter Radiat. Extremes 8, 056601 (2023).10.1063/5.0149638
    [75]
    T. Dornheim, D. C. Wicaksono, J. E. Suarez-Cardona, P. Tolias, M. P. Böhme et al., “Extraction of the frequency moments of spectral densities from imaginary-time correlation function data,” Phys. Rev. B 107, 155148 (2023).10.1103/physrevb.107.155148
    [76]
    [77]
    O. Goulko, A. S. Mishchenko, L. Pollet, N. Prokof’ev, and B. Svistunov, “Numerical analytic continuation: Answers to well-posed questions,” Phys. Rev. B 95, 014102 (2017).10.1103/physrevb.95.014102
    [78]
    T. Dornheim, J. Vorberger, Z. A. Moldabekov, and M. Böhme, “Analysing the dynamic structure of warm dense matter in the imaginary-time domain: Theoretical models and simulations,” Phil. Trans. R. Soc. A. 381, 20220217 (2023).10.1098/rsta.2022.0217
    [79]
    T. Dornheim, M. P. Böhme, D. A. Chapman, D. Kraus, T. R. Preston et al., “Imaginary-time correlation function thermometry: A new, high-accuracy and model-free temperature analysis technique for X-ray Thomson scattering data,” Phys. Plasmas 30, 042707 (2023).10.1063/5.0139560
    [80]
    J. J. Mortensen, L. B. Hansen, and K. W. Jacobsen, “Real-space grid implementation of the projector augmented wave method,” Phys. Rev. B 71, 035109 (2005).10.1103/physrevb.71.035109
    [81]
    J. Enkovaara, C. Rostgaard, J. J. Mortensen, J. Chen, M. Dułak et al., “Electronic structure calculations with GPAW: A real-space implementation of the projector augmented-wave method,” J. Phys. Condens. Matter 22, 253202 (2010).10.1088/0953-8984/22/25/253202
    [82]
    M. Walter, H. Häkkinen, L. Lehtovaara, M. Puska, J. Enkovaara et al., “Time-dependent density-functional theory in the projector augmented-wave method,” J. Chem. Phys. 128, 244101 (2008).10.1063/1.2943138
    [83]
    A. Hjorth Larsen, J. Jørgen Mortensen, J. Blomqvist, I. E. Castelli, R. Christensen et al., “The atomic simulation environment—A Python library for working with atoms,” J. Phys. Condens. Matter 29, 273002 (2017).10.1088/1361-648x/aa680e
    [84]
    S. R. Bahn and K. W. Jacobsen, “An object-oriented scripting interface to a legacy electronic structure code,” Comput. Sci. Eng. 4, 56–66 (2002).10.1109/5992.998641
    [85]
    P. Giannozzi, S. Baroni, N. Bonini, M. Calandra, R. Car et al., “Quantum ESPRESSO: A modular and open-source software project for quantum simulations of materials,” J. Phys. Condens. Matter 21, 395502 (2009).10.1088/0953-8984/21/39/395502
    [86]
    P. Giannozzi, O. Andreussi, T. Brumme, O. Bunau, M. Buongiorno Nardelli et al., “Advanced capabilities for materials modelling with quantum ESPRESSO,” J. Phys. Condens. Matter 29, 465901 (2017).10.1088/1361-648x/aa8f79
    [87]
    P. Giannozzi, O. Baseggio, P. Bonfà, D. Brunato, R. Car et al., “Quantum ESPRESSO toward the exascale,” J. Chem. Phys. 152, 154105 (2020).10.1063/5.0005082
    [88]
    R. W. G. Wyckoff, Crystal Structures (Interscience Publishers, New York, 1948).
    [89]
    J. P. Perdew and Y. Wang, “Accurate and simple analytic representation of the electron-gas correlation energy,” Phys. Rev. B 45, 13244–13249 (1992).10.1103/physrevb.45.13244
    [90]
    J. P. Perdew, K. Burke, and M. Ernzerhof, “Generalized gradient approximation made simple,” Phys. Rev. Lett. 77, 3865–3868 (1996).10.1103/physrevlett.77.3865
    [91]
    J. P. Perdew and A. Zunger, “Self-interaction correction to density-functional approximations for many-electron systems,” Phys. Rev. B 23, 5048–5079 (1981).10.1103/physrevb.23.5048
    [92]
    [93]
    K. F. Garrity, J. W. Bennett, K. M. Rabe, and D. Vanderbilt, “Pseudopotentials for high-throughput dft calculations,” Comput. Mater. Sci. 81, 446–452 (2014).10.1016/j.commatsci.2013.08.053
    [94]
    T. Ott, H. Thomsen, J. W. Abraham, T. Dornheim, and M. Bonitz, “Recent progress in the theory and simulation of strongly correlated plasmas: Phase transitions, transport, quantum, and magnetic field effects,” The Eur. Phys. J. D 72, 84 (2018).10.1140/epjd/e2018-80385-7
    [95]
    A. Descamps, B. K. Ofori-Okai, O. Bistoni, Z. Chen, E. Cunningham et al., “Evidence for phonon hardening in laser-excited gold using X-ray diffraction at a hard X-ray free electron laser,” Sci. Adv. 10, eadh5272 (2024).10.1126/sciadv.adh5272
    [96]
    A. Descamps, B. K. Ofori-Okai, K. Appel, V. Cerantola, A. Comley et al., “An approach for the measurement of the bulk temperature of single crystal diamond using an X-ray free electron laser,” Sci. Rep. 10, 14564 (2020).10.1038/s41598-020-71350-x
    [97]
    T. Gawne, Z. A. Moldabekov, O. S. Humphries, K. Appel, C. Baehtz et al., “Ultrahigh resolution X-ray Thomson scattering measurements at the european X-ray free electron laser,” Phys. Rev. B 109, L241112 (2024).10.1103/physrevb.109.l241112
    [98]
    L. D. Landau, “On the vibrations of the electronic plasma,” Acad. Sci. USSR. J. Phys. 10, 25–34 (1946).
    [99]
    P. Hamann, J. Vorberger, T. Dornheim, Z. A. Moldabekov, and M. Bonitz, “Ab initio results for the plasmon dispersion and damping of the warm dense electron gas,” Contrib. Plasma Phys. 60, e202000147 (2020).10.1002/ctpp.202000147
    [100]
    B. c. Larson, J. Z. Tischler, A. Fleszar, and A. G. Eguiluz, “Correlation and band structure effects in the electronic energy loss spectra of Al: An experimental perspective,” J. Phys. Chem. Solid. 61, 391–396 (2000).10.1016/s0022-3697(99)00323-6
    [101]
    Z. Moldabekov, S. Schwalbe, M. P. Böhme, J. Vorberger, X. Shao et al., “Bound-state breaking and the importance of thermal exchange–correlation effects in warm dense hydrogen,” J. Chem. Theory. Comput. 20, 68–78 (2024).10.1021/acs.jctc.3c00934
    [102]
    J. A. Bearden and A. F. Burr, “Reevaluation of X-ray atomic energy levels,” Rev. Mod. Phys. 39, 125–142 (1967).10.1103/revmodphys.39.125
    [103]
    Photoemission in Solids I: General Principles, edited by M. Cardona and L. Ley (Springer, Berlin, Heidelberg, 1978).
    [104]
    N. R. Arista and W. Brandt, “Dielectric response of quantum plasmas in thermal equilibrium,” Phys. Rev. A. 29, 1471–1480 (1984).10.1103/physreva.29.1471
    [105]
    Z. A. Moldabekov, M. Bonitz, and T. S. Ramazanov, “Theoretical foundations of quantum hydrodynamics for plasmas,” Phys. Plasmas 25, 031903 (2018).10.1063/1.5003910
    [106]
    T. Dornheim, Z. Moldabekov, J. Vorberger, H. Kählert, and M. Bonitz, “Electronic pair alignment and roton feature in the warm dense electron gas,” Commun. Phys. 5, 304 (2022).10.1038/s42005-022-01078-9
    [107]
    T. Dornheim, A. Cangi, K. Ramakrishna, M. Böhme, S. Tanaka et al., “Effective static approximation: A fast and reliable tool for warm-dense matter theory,” Phys. Rev. Lett. 125, 235001 (2020).10.1103/physrevlett.125.235001
    [108]
    T. Dornheim, Z. A. Moldabekov, and P. Tolias, “Analytical representation of the local field correction of the uniform electron gas within the effective static approximation,” Phys. Rev. B 103, 165102 (2021).10.1103/physrevb.103.165102
    [109]
    T. Dornheim, T. Döppner, A. D. Baczewski, P. Tolias, M. P. Böhme et al., “X-ray Thomson scattering absolute intensity from the f-sum rule in the imaginary-time domain,” Sci. Rep. 14, 14377 (2024).10.1038/s41598-024-64182-6
    [110]
    T. Dornheim, S. Schwalbe, M. P. Böhme, Z. A. Moldabekov, J. Vorberger et al., “Ab initio path integral Monte Carlo simulations of warm dense two-component systems without fixed nodes: Structural properties,” J. Chem. Phys. 160, 164111 (2024).10.1063/5.0206787
    [111]
    T. Dornheim, M. P. Böhme, Z. A. Moldabekov, and J. Vorberger, “Electronic density response of warm dense hydrogen on the nanoscale,” Phys. Rev. E 108, 035204 (2023).10.1103/physreve.108.035204
    [112]
    D. Y. Smith and B. Segall, “Intraband and interband processes in the infrared spectrum of metallic aluminum,” Phys. Rev. B 34, 5191–5198 (1986).10.1103/physrevb.34.5191
    [113]
    W. Schülke, J. R. Schmitz, H. Schulte-Schrepping, and A. Kaprolat, “Dynamic and static structure factor of electrons in Si: Inelastic X-ray scattering results,” Phys. Rev. B 52, 11721–11732 (1995).10.1103/physrevb.52.11721
    [114]
    W. Schülke, H. Schulte-Schrepping, and J. R. Schmitz, “Dynamic structure of electrons in al metal studied by inelastic X-ray scattering,” Phys. Rev. B 47, 12426–12436 (1993).10.1103/physrevb.47.12426
    [115]
    H.-C. Weissker, J. Serrano, S. Huotari, E. Luppi, M. Cazzaniga et al., “Dynamic structure factor and dielectric function of silicon for finite momentum transfer: Inelastic X-ray scattering experiments and ab initio calculations,” Phys. Rev. B 81, 085104 (2010).10.1103/physrevb.81.085104
    [116]
    T. W. Hentschel, A. Kononov, A. D. Baczewski, and S. B. Hansen, “Statistical inference of collision frequencies from X-ray Thomson scattering spectra,” Phys. Plasmas 32, 013906 (2025).10.1063/5.0235628
    [117]
    [118]
    H. Poole, D. Cao, R. Epstein, I. Golovkin, T. Walton et al., “A case study of using X-ray Thomson scattering to diagnose the in-flight plasma conditions of DT cryogenic implosions,” Phys. Plasmas 29, 072703 (2022).10.1063/5.0072790
    [119]
    J. A. Leveillee and A. J. White, “Mixed resolution-of-the-identity compressed exchange for hybrid mixed deterministic-stochastic density functional theory from low to extreme temperatures,” J. Chem. Theor. Comput. 21, 629–642 (2025).10.1021/acs.jctc.4c00971
    [120]
    K. Jiang and M. Pavanello, “Time-dependent orbital-free density functional theory: Background and Pauli Kernel approximations,” Phys. Rev. B 103, 245102 (2021).10.1103/physrevb.103.245102
    [121]
    K. Jiang, X. Shao, and M. Pavanello, “Efficient time-dependent orbital-free density functional theory: Semilocal adiabatic response,” Phys. Rev. B 106, 115153 (2022).10.1103/physrevb.106.115153
  • 加载中

Catalog

    通讯作者: 陈斌, bchen63@163.com
    • 1. 

      沈阳化工大学材料科学与工程学院 沈阳 110142

    1. 本站搜索
    2. 百度学术搜索
    3. 万方数据库搜索
    4. CNKI搜索

    Figures(12)

    Article Metrics

    Article views (2072) PDF downloads(0) Cited by()
    Proportional views
    Related

    /

    DownLoad:  Full-Size Img  PowerPoint
    Return
    Return