Follow us on Wechat

用微信扫码二维码

分享至好友和朋友圈

Volume 10 Issue 5
Sep.  2025
Turn off MathJax
Article Contents
Samsonov Alexander, Pukhov Alexander. Production and magnetic self-confinement of e−e+ plasma by an extremely intense laser pulse incident on a structured solid target[J]. Matter and Radiation at Extremes, 2025, 10(5): 057202. doi: 10.1063/5.0260941
Citation: Samsonov Alexander, Pukhov Alexander. Production and magnetic self-confinement of ee+ plasma by an extremely intense laser pulse incident on a structured solid target[J]. Matter and Radiation at Extremes, 2025, 10(5): 057202. doi: 10.1063/5.0260941

Production and magnetic self-confinement of ee+ plasma by an extremely intense laser pulse incident on a structured solid target

doi: 10.1063/5.0260941
More Information
  • Corresponding author: a)Author to whom correspondence should be addressed: aleksandr.samsonov@hhu.de
  • Received Date: 2025-01-28
  • Accepted Date: 2025-07-17
  • Available Online: 2025-11-28
  • Publish Date: 2025-09-01
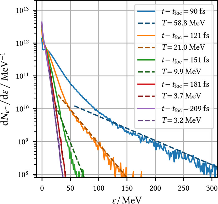
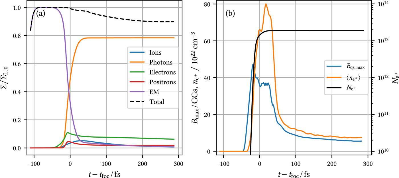
  • We propose an all-optical, single-laser-pulse scheme for generating a dense relativistic strongly magnetized electron–positron pair plasma. The scheme involves the interaction of an extremely intense (I ≳ 1024 W/cm2) circularly polarized laser pulse with a solid-density target containing a conical cavity. Through full-scale three-dimensional particle-in-cell simulations that account for quantum electrodynamic effects, it is shown that this interaction results in two significant outcomes: first, the generation of quasi-static magnetic fields reaching tens of gigagauss, and, second, the production of large quantities of electron–positron pairs (up to 1013) via the Breit–Wheeler process. The ee+ plasma becomes trapped in the magnetic field and remains confined in a small volume for hundreds of femtoseconds, far exceeding the laser timescale. The dependence of pair plasma parameters, as well as the efficiency of plasma production and confinement, is discussed in relation to the properties of the laser pulse and the target. Realizing this scheme experimentally would enable the investigation of physical processes relevant to extreme astrophysical environments.
  • Conflict of Interest
    The authors have no conflicts to disclose.
    Author Contributions
    Alexander Samsonov: Conceptualization (equal); Investigation (equal); Visualization (lead); Writing – original draft (lead); Writing – review & editing (equal). Alexander Pukhov: Conceptualization (equal); Investigation (equal); Writing – review & editing (equal).
    The data that support the findings of this study are available from the corresponding author upon reasonable request.
  • loading
  • [1]
    C. Cherubini, A. Geralico, J. A. Rueda, and R. Ruffini, “e−e+ pair creation by vacuum polarization around electromagnetic black holes,” Phys. Rev. D 79, 124002 (2009).10.1103/PhysRevD.79.124002
    [2]
    F. C. Michel, “Theory of pulsar magnetospheres,” Rev. Mod. Phys. 54, 1–66 (1982).10.1103/revmodphys.54.1
    [3]
    J. F. C. Wardle, D. C. Homan, R. Ojha, and D. H. Roberts, “Electron–positron jets associated with the quasar 3C279,” Nature 395, 457–461 (1998).10.1038/26675
    [4]
    E. V. Stenson, J. Horn-Stanja, M. R. Stoneking, and T. S. Pedersen, “Debye length and plasma skin depth: Two length scales of interest in the creation and diagnosis of laboratory pair plasmas,” J. Plasma Phys. 83, 595830106 (2017).10.1017/s0022377817000022
    [5]
    M. R. Stoneking, T. S. Pedersen, P. Helander, H. Chen, U. Hergenhahn et al., “A new frontier in laboratory physics: Magnetized electron–positron plasmas,” J. Plasma Phys. 86, 155860601 (2020).10.1017/s0022377820001385
    [6]
    H. Chen and F. Fiuza, “Perspectives on relativistic electron–positron pair plasma experiments of astrophysical relevance using high-power lasers,” Phys. Plasmas 30, 020601 (2023).10.1063/5.0134819
    [7]
    Y.-S. Tsai, “Pair production and bremsstrahlung of charged leptons,” Rev. Mod. Phys. 46, 815–851 (1974).10.1103/revmodphys.46.815
    [8]
    H. Bethe and W. Heitler, “On the stopping of fast particles and on the creation of positive electrons,” Proc. R. Soc. London, Ser. A 146, 83–112 (1934).10.1098/rspa.1934.0140
    [9]
    V. N. Baier, V. M. Katkov, and V. M. Strakhovenko, Electromagnetic Processes at High Energies in Oriented Single Crystals (World Scientific, 1998).
    [10]
    C. D. Arrowsmith, P. Simon, P. J. Bilbao, A. F. A. Bott, S. Burger et al., “Laboratory realization of relativistic pair-plasma beams,” Nat. Commun. 15, 5029 (2024).10.1038/s41467-024-49346-2
    [11]
    [12]
    J. P. Zou, C. Le Blanc, D. N. Papadopoulos, G. Chériaux, P. Georges et al., “Design and current progress of the Apollon 10 PW project,” High Power Laser Sci. Eng. 3, e2 (2015).10.1017/hpl.2014.41
    [13]
    E. Khazanov, A. Shaykin, I. Kostyukov, V. Ginzburg, I. Mukhin et al., “eXawatt center for extreme light studies (XCELS),” High Power Laser Sci. Eng. 11, e78 (2023).10.1017/hpl.2023.69
    [14]
    B. Shao, Y. Li, Y. Peng, P. Wang, J. Qian et al., “Broad-bandwidth high-temporal-contrast carrier-envelope-phase-stabilized laser seed for 100 PW lasers,” Opt Lett. 45, 2215–2218 (2020).10.1364/ol.390110
    [15]
    F. Wu, J. Hu, X. Liu, Z. Zhang, P. Bai et al., “Dispersion management for a 100 PW level laser using a mismatched-grating compressor,” High Power Laser Sci. Eng. 10, e38 (2022).10.1017/hpl.2022.29
    [16]
    Z. Gan, L. Yu, C. Wang, Y. Liu, Y. Xu et al., “The Shanghai superintense ultrafast laser facility (SULF) project,” in Progress in Ultrafast Intense Laser Science XVI, edited by K. Yamanouchi, K. Midorikawa and L. Roso (Springer International Publishing, Cham, 2021), Vol. 141, pp. 199–217.
    [17]
    V. I. Veksler, “The principle of coherent acceleration of charged particles,” Soviet J. At. Energy 2, 525–528 (1957).10.1007/bf01491001
    [18]
    T. Tajima and J. M. Dawson, “Laser electron accelerator,” Phys. Rev. Lett. 43, 267 (1979).10.1103/physrevlett.43.267
    [19]
    A. Pukhov and J. Meyer-ter-Vehn, “Laser wake field acceleration: The highly non-linear broken-wave regime,” Appl. Phys. B 74, 355–361 (2002).10.1007/s003400200795
    [20]
    J. Faure, Y. Glinec, A. Pukhov, S. Kiselev, S. Gordienko et al., “A laser–plasma accelerator producing monoenergetic electron beams,” Nature 431, 541–544 (2004).10.1038/nature02963
    [21]
    E. Esarey, C. B. Schroeder, and W. P. Leemans, “Physics of laser-driven plasma-based electron accelerators,” Rev. Mod. Phys. 81, 1229 (2009).10.1103/revmodphys.81.1229
    [22]
    C. E. Clayton, J. E. Ralph, F. Albert, R. A. Fonseca, S. H. Glenzer et al., “Self-guided laser wakefield acceleration beyond 1 GeV using ionuzation-induced injionization,” Phys. Rev. Lett. 105, 105003 (2010).10.1103/physrevlett.105.105003
    [23]
    I. Y. Kostyukov and A. M. Pukhov, “Plasma-based methods for electron acceleration: Current status and prospects,” Phys.-Usp. 58, 81 (2015).10.3367/ufne.0185.201501g.0089
    [24]
    M. Wen, M. Tamburini, and C. H. Keitel, “Polarized laser-wakefield-accelerated kiloampere electron beams,” Phys. Rev. Lett. 122, 214801 (2019).10.1103/physrevlett.122.214801
    [25]
    J. P. Palastro, J. L. Shaw, P. Franke, D. Ramsey, T. T. Simpson et al., “Dephasingless laser wakefield acceleration,” Phys. Rev. Lett. 124, 134802 (2020).10.1103/physrevlett.124.134802
    [26]
    T. Tajima, X. Q. Yan, and T. Ebisuzaki, “Wakefield acceleration,” Rev. Mod. Plasma Phys. 4, 7–72 (2020).10.1007/s41614-020-0043-z
    [27]
    G. Sarri, K. Poder, J. M. Cole, W. Schumaker, A. Di Piazza et al., “Generation of neutral and high-density electron–positron pair plasmas in the laboratory,” Nat. Commun. 6, 6747 (2015).10.1038/ncomms7747
    [28]
    G. Sarri, M. E. Dieckmann, I. Kourakis, A. Di Piazza, B. Reville et al., “Overview of laser-driven generation of electron–positron beams,” J. Plasma Phys. 81, 455810401 (2015).10.1017/s002237781500046x
    [29]
    N. V. Elkina, A. M. Fedotov, I. Yu. Kostyukov, M. V. Legkov, N. B. Narozhny et al., “QED cascades induced by circularly polarized laser fields,” Phys. Rev. Spec. Top.--Accel. Beams 14, 054401 (2011).10.1103/physrevstab.14.054401
    [30]
    E. Nerush and I. Kostyukov, “Radiation emission by extreme relativistic electrons and pair production by hard photons in a strong plasma wakefield,” Phys. Rev. E 75, 057401 (2007).10.1103/physreve.75.057401
    [31]
    A. R. Bell and J. G. Kirk, “Possibility of prolific pair production with high-power lasers,” Phys. Rev. Lett. 101, 200403 (2008).10.1103/physrevlett.101.200403
    [32]
    E. N. Nerush, I. Yu. Kostyukov, A. M. Fedotov, N. B. Narozhny, N. V. Elkina et al., “Laser field absorption in self-generated electron-positron pair plasma,” Phys. Rev. Lett. 106, 035001 (2011).10.1103/physrevlett.106.035001
    [33]
    C. P. Ridgers, C. S. Brady, R. Duclous, J. G. Kirk, K. Bennett et al., “Dense electron-positron plasmas and ultra-intense bursts of gamma-rays from laser-irradiated solids,” Phys. Rev. Lett. 108, 165006 (2012).10.1103/physrevlett.108.165006
    [34]
    J. G. Kirk, A. R. Bell, and C. P. Ridgers, “Pair plasma cushions in the hole-boring scenario,” Plasma Phys. Controlled Fusion 55, 095016 (2013).10.1088/0741-3335/55/9/095016
    [35]
    N. B. Narozhny and A. M. Fedotov, “Quantum-electrodynamic cascades in intense laser fields,” Phys.-Usp. 58, 95 (2015).10.3367/ufne.0185.201501i.0103
    [36]
    X.-L. Zhu, T.-P. Yu, Z.-M. Sheng, Y. Yin, I. C. E. Turcu et al., “Dense GeV electron–positron pairs generated by lasers in near-critical-density plasmas,” Nat. Commun. 7, 13686 (2016).10.1038/ncomms13686
    [37]
    I. Yu. Kostyukov and E. N. Nerush, “Production and dynamics of positrons in ultrahigh intensity laser-foil interactions,” Phys. Plasmas 23, 093119 (2016).10.1063/1.4962567
    [38]
    T. Grismayer, M. Vranic, J. L. Martins, R. A. Fonseca, and L. O. Silva, “Seeded QED cascades in counterpropagating laser pulses,” Phys. Rev. E 95, 023210 (2017).10.1103/physreve.95.023210
    [39]
    M. Jirka, O. Klimo, M. Vranic, S. Weber, and G. Korn, “QED cascade with 10 PW-class lasers,” Sci. Rep. 7, 15302 (2017).10.1038/s41598-017-15747-1
    [40]
    W. Luo, W.-Y. Liu, T. Yuan, M. Chen, J.-Y. Yu et al., “QED cascade saturation in extreme high fields,” Sci. Rep. 8, 8400 (2018).10.1038/s41598-018-26785-8
    [41]
    T. Yuan, J. Y. Yu, W. Y. Liu, S. M. Weng, X. H. Yuan et al., “Spatiotemporal distributions of pair production and cascade in solid targets irradiated by ultra-relativistic lasers with different polarizations,” Plasma Phys. Controlled Fusion 60, 065003 (2018).10.1088/1361-6587/aab3ba
    [42]
    D. Del Sorbo, D. R. Blackman, R. Capdessus, K. Small, C. Slade-Lowther et al., “Efficient ion acceleration and dense electron–positron plasma creation in ultra-high intensity laser-solid interactions,” New J. Phys. 20, 033014 (2018).10.1088/1367-2630/aaae61
    [43]
    Y. Lu, T.-P. Yu, L.-X. Hu, Z.-Y. Ge, W.-Q. Wang et al., “Enhanced copious electron–positron pair production via electron injection from a mass-limited foil,” Plasma Phys. Controlled Fusion 60, 125008 (2018).10.1088/1361-6587/aae819
    [44]
    A. S. Samsonov, E. N. Nerush, and I. Yu. Kostyukov, “Laser-driven vacuum breakdown waves,” Sci. Rep. 9, 11133 (2019).10.1038/s41598-019-47355-6
    [45]
    E. S. Efimenko, A. V. Bashinov, A. A. Gonoskov, S. I. Bastrakov, A. A. Muraviev et al., “Laser-driven plasma pinching in e−e+ cascade,” Phys. Rev. E 99, 031201 (2019).10.1103/physreve.99.031201
    [46]
    A. Mercuri-Baron, A. A. Mironov, C. Riconda, A. Grassi, and M. Grech, “Growth rate of self-sustained QED cascades induced by intense lasers,” Phys. Rev. X 15, 011062 (2025).10.1103/physrevx.15.011062
    [47]
    A. Pukhov, “Particle-in-cell codes for plasma-based particle acceleration,” CERN Yellow Rep. 1, 181 (2016).10.5170/CERN-2016-001.181
    [48]
    V. Volokitin, J. Magnusson, A. Bashinov, E. Efimenko, A. Muraviev et al., “Optimized event generator for strong-field QED simulations within the hi-χ framework,” J. Comput. Sci. 74, 102170 (2023).10.1016/j.jocs.2023.102170
    [49]
    D. A. Serebryakov, E. N. Nerush, and I. Yu. Kostyukov, “Near-surface electron acceleration during intense laser–solid interaction in the grazing incidence regime,” Phys. Plasmas 24, 123115 (2017).10.1063/1.5002671
    [50]
    X. Shen, A. Pukhov, and B. Qiao, “High-flux bright x-ray source from femtosecond laser-irradiated microtapes,” Commun. Phys. 7, 84 (2024).10.1038/s42005-024-01575-z
    [51]
    M. Filipovic and A. Pukhov, “QED effects at grazing incidence on solid-state targets,” Eur. Phys. J. D 76, 187 (2022).10.1140/epjd/s10053-022-00494-4
    [52]
    A. S. Samsonov, I. Yu. Kostyukov, M. Filipovic, and A. M. Pukhov, “Generation of Electron–Positron pairs upon grazing incidence of a laser pulse on a foil,” Bull. Lebedev Phys. Inst. 50, S693–S699 (2023).10.3103/s1068335623180112
    [53]
    L. Pitaevskii, “Electric forces in a transparent dispersive medium,” Sov. Phys. JETP-USSR 12, 1008–1013 (1961).
    [54]
    Z. M. Sheng and J. Meyer-ter-Vehn, “Inverse Faraday effect and propagation of circularly polarized intense laser beams in plasmas,” Phys. Rev. E 54, 1833–1842 (1996).10.1103/physreve.54.1833
    [55]
    M. G. Haines, “Generation of an axial magnetic field from photon spin,” Phys. Rev. Lett. 87, 135005 (2001).10.1103/physrevlett.87.135005
    [56]
    G. Shvets, N. J. Fisch, and J.-M. Rax, “Magnetic field generation through angular momentum exchange between circularly polarized radiation and charged particles,” Phys. Rev. E 65, 046403 (2002).10.1103/physreve.65.046403
    [57]
    I. Yu. Kostyukov, G. Shvets, N. J. Fisch, and J. M. Rax, “Magnetic-field generation and electron acceleration in relativistic laser channel,” Phys. Plasmas 9, 636–648 (2002).10.1063/1.1430436
    [58]
    R. Nuter, Ph. Korneev, E. Dmitriev, I. Thiele, and V. T. Tikhonchuk, “Gain of electron orbital angular momentum in a direct laser acceleration process,” Phys. Rev. E 101, 053202 (2020).10.1103/physreve.101.053202
    [59]
    A. Longman and R. Fedosejevs, “Kilo-Tesla axial magnetic field generation with high intensity spin and orbital angular momentum beams,” Phys. Rev. Res. 3, 043180 (2021).10.1103/physrevresearch.3.043180
    [60]
    K. Jiang, A. Pukhov, and C. T. Zhou, “Magnetic field amplification to gigagauss scale via hydrodynamic flows and dynamos driven by femtosecond lasers,” New J. Phys. 23, 063054 (2021).10.1088/1367-2630/ac0573
    [61]
    T. V. Liseykina, S. V. Popruzhenko, and A. Macchi, “Inverse Faraday effect driven by radiation friction,” New J. Phys. 18, 072001 (2016).10.1088/1367-2630/18/7/072001
    [62]
    T. V. Liseykina, A. Macchi, and S. V. Popruzhenko, “Quantum effects on radiation friction driven magnetic field generation,” Eur. Phys. J. Plus 136, 170 (2021).10.1140/epjp/s13360-020-01030-2
    [63]
    T. V. Liseykina, E. E. Peganov, and S. V. Popruzhenko, “The inverse Faraday effect induced by radiation friction during irradiation of dense plasma with crossed multipetawatt laser beams,” Bull. Lebedev Phys. Inst. 50, S700–S705 (2023).10.3103/s1068335623180082
    [64]
    A. S. Samsonov, E. N. Nerush, and I. Yu. Kostyukov, “Effect of electron–positron plasma production on the generation of a magnetic field in laser-plasma interactions,” Quant. Electron. 51, 861–865 (2021).10.1070/qel17601
    [65]
    T. Grismayer, M. Vranic, J. L. Martins, R. A. Fonseca, and L. O. Silva, “Laser absorption via quantum electrodynamics cascades in counter propagating laser pulses,” Phys. Plasmas 23, 056706 (2016).10.1063/1.4950841
    [66]
    M. A. Serebryakov, A. S. Samsonov, E. N. Nerush, and I. Yu. Kostyukov, “Abnormal absorption of extremely intense laser pulses in relativistically underdense plasmas,” Phys. Plasmas 30, 113303 (2023).10.1063/5.0173380
    [67]
    S. R. De Groot, in W. A. Van Leeuwen and C. G. Van Weert (Eds.) Relativistic Kinetic Theory. Principles and Applications (North-Holland, 1980).
    [68]
    Y. N. Istomin and V. I. Pariev, “Stability of a relativistic rotating electron–positron jet,” Mon. Not. R. Astron. Soc. 267, 629–636 (1994).10.1093/mnras/267.3.629
    [69]
    Ya. N. Istomin and V. I. Pariev, “Stability of a relativistic rotating electron-positron jet: Non-axisymmetric perturbations,” Mon. Not. R. Astron. Soc. 281, 1–26 (1996).10.1093/mnras/281.1.1
    [70]
    P. Helander and J. W. Connor, “Gyrokinetic stability theory of electron–positron plasmas,” J. Plasma Phys. 82, 905820301 (2016).10.1017/s0022377816000490
    [71]
    A. Wei-Ke, Q. Xi-Jun, S. Chun-Hua, and Z. Zhi-Yuan, “Dependence of the average Lorentz factor on temperature in relativistic plasmas,” Chin. Phys. Lett. 22, 1176 (2005).10.1088/0256-307x/22/5/042
    [72]
    S. Gordienko and A. Pukhov, “Scalings for ultrarelativistic laser plasmas and quasimonoenergetic electrons,” Phys. Plasmas 12, 043109 (2005).10.1063/1.1884126
    [73]
    E. S. Efimenko, A. V. Bashinov, A. A. Muraviev, V. D. Volokitin, I. B. Meyerov et al., “Vacuum breakdown in magnetic dipole wave by 10-PW class lasers,” Phys. Rev. E 106, 015201 (2022).10.1103/physreve.106.015201
    [74]
  • 加载中

Catalog

    通讯作者: 陈斌, bchen63@163.com
    • 1. 

      沈阳化工大学材料科学与工程学院 沈阳 110142

    1. 本站搜索
    2. 百度学术搜索
    3. 万方数据库搜索
    4. CNKI搜索

    Figures(8)  / Tables(1)

    Article Metrics

    Article views (3040) PDF downloads(1) Cited by()
    Proportional views
    Related

    /

    DownLoad:  Full-Size Img  PowerPoint
    Return
    Return