Follow us on Wechat

用微信扫码二维码

分享至好友和朋友圈

Volume 10 Issue 5
Sep.  2025
Turn off MathJax
Article Contents
Wang X. J., Peng H., Huang T. W., Hu Z. H., Li R., Jiang K., Li D. K., Yu J., Ye H. X., Yu M. Y., Cao L. F., Zhou C. T., Ruan S. C.. Three-dimensional nanoscale microbunching of relativistic electron beam via plasma wakefield for coherent EUV radiation[J]. Matter and Radiation at Extremes, 2025, 10(5): 057203. doi: 10.1063/5.0254131
Citation: Wang X. J., Peng H., Huang T. W., Hu Z. H., Li R., Jiang K., Li D. K., Yu J., Ye H. X., Yu M. Y., Cao L. F., Zhou C. T., Ruan S. C.. Three-dimensional nanoscale microbunching of relativistic electron beam via plasma wakefield for coherent EUV radiation[J]. Matter and Radiation at Extremes, 2025, 10(5): 057203. doi: 10.1063/5.0254131

Three-dimensional nanoscale microbunching of relativistic electron beam via plasma wakefield for coherent EUV radiation

doi: 10.1063/5.0254131
More Information
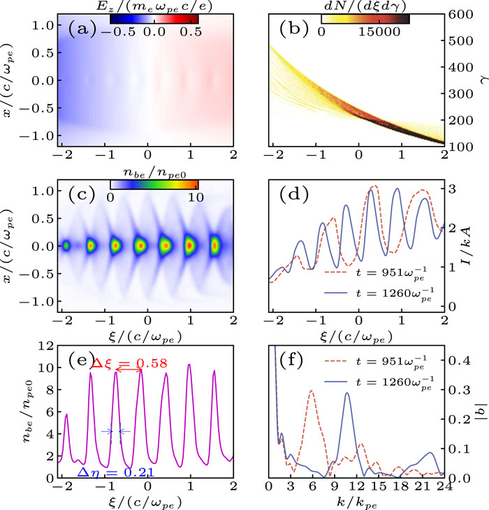
  • We propose a compact scheme to modulate a relativistic electron beam (REB) into three-dimensional (3D) nanoscale bunches by injecting a rarefied REB into an underdense plasma. This scheme self-consistently integrates the lateral focusing and axial modulation of the REB in its self-driven plasma wakefield. The REB first expels the plasma electrons in its path to form a wake, where the lateral force of the charge-separation field compresses it to higher density, so that more plasma electrons are expelled as it propagates. The positive feedback loop is repeated until the REB becomes a thin electron filament of density a hundred times that of the original. As it continues to propagate in the elongated electron-free wake bubble, the axial electric field induces an energy chirp on the electron filament, and longitudinally modulates it into 3D nanoscale bunches by asynchronous envelope oscillations. The excitation conditions of this scheme with respect to the beam and plasma parameters, as well as the spatial scale of the obtained electron bunches, are analyzed analytically and agree well with particle-in-cell simulations. In addition, our radiation simulations show that coherent extreme ultraviolet radiation can be generated with such 3D nanoscale bunches.
  • The authors have no conflicts to disclose.
    Conflict of Interest
    X.J.W., H.P., and T.W.H. developed the theoretical work. X.J.W. conducted the simulations. X.J.W., H.P., and T.W.H. analyzed the data and produced the figures. Z.H.H., R.L., D.K.L., J.Y., and H.X.Y. helped review and interpret the data. X.J.W., H.P., T.W.H., and M.Y.Y. wrote the article. T.W.H., L.F.C., C.T.Z., and S.C.R. supervised the work. All authors have reviewed, discussed, and agreed to the complete statement.
    Author Contributions
    X. J. Wang: Conceptualization (equal); Data curation (equal); Formal analysis (equal); Investigation (equal); Methodology (equal); Software (equal); Validation (equal); Visualization (equal); Writing – original draft (equal); Writing – review & editing (equal). H. Peng: Conceptualization (equal); Data curation (equal); Formal analysis (equal); Funding acquisition (equal); Methodology (equal); Software (equal); Writing – original draft (equal); Writing – review & editing (equal). T. W. Huang: Conceptualization (equal); Formal analysis (equal); Funding acquisition (equal); Resources (equal); Supervision (equal); Writing – original draft (equal); Writing – review & editing (equal). Z. H. Hu: Formal analysis (equal). R. Li: Formal analysis (equal); Resources (equal). K. Jiang: Methodology (equal); Resources (equal); Visualization (equal). D. K. Li: Resources (equal). J. Yu: Resources (equal). H. X. Ye: Resources (equal). M. Y. Yu: Writing – original draft (equal); Writing – review & editing (equal). L. F. Cao: Conceptualization (equal); Funding acquisition (equal); Supervision (equal); Writing – review & editing (equal). C. T. Zhou: Supervision (equal). S. C. Ruan: Supervision (equal).
    The data that support the findings of this study are available from the corresponding authors upon reasonable request.
  • loading
  • [1]
    Y. Morimoto and P. Baum, “Diffraction and microscopy with attosecond electron pulse trains,” Nat. Phys. 14(3), 252–256 (2018).10.1038/s41567-017-0007-6
    [2]
    D. Nabben, J. Kuttruff, L. Stolz, A. Ryabov, and P. Baum, “Attosecond electron microscopy of sub-cycle optical dynamics,” Nature 619(7968), 63–67 (2023).10.1038/s41586-023-06074-9
    [3]
    E. Kallos, P. Muggli, T. Katsouleas, V. Yakimenko, D. Stolyarov et al., “Resonant plasma Wakefield experiment: Plasma simulations and multibunched electron beam diagnostics,” AIP Conf. Proc. 877(1), 520–526 (2006).10.1063/1.2409178
    [4]
    P. Manwani, N. Majernik, M. Yadav, C. Hansel, and J. B. Rosenzweig, “Resonant excitation of very high gradient plasma wakefield accelerators by optical-period bunch trains,” Phys. Rev. Accel. Beams 24, 051302 (2021).10.1103/physrevaccelbeams.24.051302
    [5]
    W. S. Graves, F. X. Kärtner, D. E. Moncton, and P. Piot, “Intense superradiant x rays from a compact source using a nanocathode array and emittance exchange,” Phys. Rev. Lett. 108, 263904 (2012).10.1103/physrevlett.108.263904
    [6]
    A. Gover, R. Ianconescu, A. Friedman, C. Emma, N. Sudar et al., “Superradiant and stimulated-superradiant emission of bunched electron beams,” Rev. Mod. Phys. 91, 035003 (2019).10.1103/revmodphys.91.035003
    [7]
    B. H. Schaap, T. D. C. de Vos, P. W. Smorenburg, and O. J. Luiten, “Photon yield of superradiant inverse compton scattering from microbunched electrons,” New J. Phys. 24(3), 033040 (2022).10.1088/1367-2630/ac59eb
    [8]
    B. H. Schaap, C. W. Sweers, P. W. Smorenburg, and O. J. Luiten, “Ponderomotive bunching of a relativistic electron beam for a superradiant Thomson source,” Phys. Rev. Accel. Beams 26, 074401 (2023).10.1103/physrevaccelbeams.26.074401
    [9]
    J. M. J. Madey, H. A. Schwettman, and W. M. Fairbank, “A free electron laser,” IEEE Trans. Nucl. Sci. 20, 980–983 (1973).10.1109/tns.1973.4327304
    [10]
    T. Tanaka, Y. Kida, S. Hashimoto, S. Miyamoto, T. Togashi et al., “Experimental demonstration to control the pulse length of coherent undulator radiation by chirped microbunching,” Phys. Rev. Lett. 131, 145001 (2023).10.1103/physrevlett.131.145001
    [11]
    E. Hemsing, G. Stupakov, D. Xiang, and A. Zholents, “Beam by design: Laser manipulation of electrons in modern accelerators,” Rev. Mod. Phys. 86, 897–941 (2014).10.1103/revmodphys.86.897
    [12]
    E. A. Nanni, W. S. Graves, and D. E. Moncton, “Nanomodulated electron beams via electron diffraction and emittance exchange for coherent x-ray generation,” Phys. Rev. Accel. Beams 21, 014401 (2018).10.1103/physrevaccelbeams.21.014401
    [13]
    W. Wang, K. Feng, L. Ke, C. Yu, Y. Xu et al., “Free-electron lasing at 27 nanometres based on a laser wakefield accelerator,” Nature 595(7868), 516–520 (2021).10.1038/s41586-021-03678-x
    [14]
    M. Galletti, D. Alesini, M. P. Anania, S. Arjmand, M. Behtouei et al., “Stable operation of a free-electron laser driven by a plasma accelerator,” Phys. Rev. Lett. 129, 234801 (2022).10.1103/physrevlett.129.234801
    [15]
    R. Pompili, D. Alesini, M. P. Anania, S. Arjmand, M. Behtouei et al., “Free-electron lasing with compact beam-driven plasma wakefield accelerator,” Nature 605(7911), 659–662 (2022).10.1038/s41586-022-04589-1
    [16]
    M. Galletti, R. Assmann, M. E. Couprie, M. Ferrario, L. Giannessi et al., “Prospects for free-electron lasers powered by plasma-wakefield-accelerated beams,” Nat. Photonics 18(8), 780–791 (2024).10.1038/s41566-024-01474-3
    [17]
    X. L. Xu, C.-H. Pai, C. J. Zhang, F. Li, Y. Wan et al., “Nanoscale electron bunching in laser-triggered ionization injection in plasma accelerators,” Phys. Rev. Lett. 117, 034801 (2016).10.1103/physrevlett.117.034801
    [18]
    X. Xu, F. Li, F. S. Tsung, K. Miller, V. Yakimenko et al., “Generation of ultrahigh-brightness pre-bunched beams from a plasma cathode for X-ray free-electron lasers,” Nat. Commun. 13(1), 3364 (2022).10.1038/s41467-022-30806-6
    [19]
    A. Deng, X. Li, Z. Luo, Y. Li, and J. Zeng, “Generation of attosecond micro bunched beam using ionization injection in laser wakefield acceleration,” Opt. Express 31(12), 19958–19967 (2023).10.1364/oe.492468
    [20]
    X. Xu, J. Liu, T. Dalichaouch, F. S. Tsung, Z. Zhang et al., “Attosecond x-ray free-electron lasers utilizing an optical undulator in a self-selection regime,” Phys. Rev. Accel. Beams 27, 011301 (2024).10.1103/physrevaccelbeams.27.011301
    [21]
    I. Y. Dodin and N. J. Fisch, “Stochastic extraction of periodic attosecond bunches from relativistic electron beams,” Phys. Rev. Lett. 98, 234801 (2007).10.1103/physrevlett.98.234801
    [22]
    H. C. Wu, T. Tajima, D. Habs, A. W. Chao, and J. Meyer-ter Vehn, “Collective deceleration: Toward a compact beam dump,” Phys. Rev. ST Accel. Beams 13, 101303 (2010).10.1103/physrevstab.13.101303
    [23]
    Z. H. Hu, X. J. Wang, D. X. Hui, Q. T. Zhao, R. Cheng et al., “Gamma-ray beam produced by a plasma lens focused electron bunch,” Phys. Plasmas 27(2), 023103 (2020).10.1063/1.5126256
    [24]
    X. J. Wang, Z. H. Hu, and Y. N. Wang, “Multi-layer structure formation of relativistic electron beams in plasmas,” Plasma Sci. Technol. 24(2), 025001 (2022).10.1088/2058-6272/ac4155
    [25]
    P. Sprangle, C.-M. Tang, and E. Esarey, “Relativistic self-focusing of short-pulse radiation beams in plasmas,” IEEE Trans. Plasma Sci. 15(2), 145–153 (1987).10.1109/tps.1987.4316677
    [26]
    H. Nakanishi, Y. Yoshida, T. Ueda, T. Kozawa, H. Shibata et al., “Direct observation of plasma-lens effect,” Phys. Rev. Lett. 66, 1870–1873 (1991).10.1103/physrevlett.66.1870
    [27]
    J. S. T. Ng, P. Chen, H. Baldis, P. Bolton, D. Cline et al., “Observation of plasma focusing of a 28.5 GeV positron beam,” Phys. Rev. Lett. 87, 244801 (2001).10.1103/physrevlett.87.244801
    [28]
    R. Lehe, M. Kirchen, I. A. Andriyash, B. B. Godfrey, and J.-L. Vay, “A spectral, quasi-cylindrical and dispersion-free particle-in-cell algorithm,” Comput. Phys. Commun. 203, 66–82 (2016).10.1016/j.cpc.2016.02.007
    [29]
    M. Kirchen, S. Jalas, P. Messner, P. Winkler, T. Eichner et al., “Optimal beam loading in a laser-plasma accelerator,” Phys. Rev. Lett. 126, 174801 (2021).10.1103/physrevlett.126.174801
    [30]
    L. T. Ke, K. Feng, W. T. Wang, Z. Y. Qin, C. H. Yu et al., “Near-GeV electron beams at a few per-mille level from a laser Wakefield accelerator via density-tailored plasma,” Phys. Rev. Lett. 126, 214801 (2021).10.1103/physrevlett.126.214801
    [31]
    W. Lu, C. Huang, M. Zhou, W. B. Mori, and T. Katsouleas, “Nonlinear theory for relativistic plasma wakefields in the blowout regime,” Phys. Rev. Lett. 96, 165002 (2006).10.1103/physrevlett.96.165002
    [32]
    A. Golovanov, I. Y. Kostyukov, A. Pukhov, and V. Malka, “Energy-conserving theory of the blowout regime of plasma Wakefield,” Phys. Rev. Lett. 130, 105001 (2023).10.1103/physrevlett.130.105001
    [33]
    C. E. Clayton, E. Adli, J. Allen, W. An, C. I. Clarke et al., “Self-mapping the longitudinal field structure of a nonlinear plasma accelerator cavity,” Nat. Commun. 7(1), 12483 (2016).10.1038/ncomms12483
    [34]
    A. G. Khachatryan, “Trapping, compression, and acceleration of an electron bunch in the nonlinear laser wakefield,” Phys. Rev. E 65, 046504 (2002).10.1103/physreve.65.046504
    [35]
    C. E. Clayton, B. E. Blue, E. S. Dodd, C. Joshi, K. A. Marsh et al., “Transverse envelope dynamics of a 28.5-GeV electron beam in a long plasma,” Phys. Rev. Lett. 88, 154801 (2002).10.1103/physrevlett.88.154801
    [36]
    A. G. Khachatryan, A. Irman, F. A. van Goor, and K.-J. Boller, “Femtosecond electron-bunch dynamics in laser wakefields and vacuum,” Phys. Rev. ST Accel. Beams 10, 121301 (2007).10.1103/physrevstab.10.121301
    [37]
    M. J. H. Luttikhof, A. G. Khachatryan, F. A. Van Goor, and K.-J. Boller, “Generating ultrarelativistic attosecond electron bunches with laser Wakefield accelerators,” Phys. Rev. Lett. 105(12), 124801 (2010).10.1103/physrevlett.105.124801
    [38]
    S. V. Bulanov, G. Mourou, and T. Tajima, “Relativistic electron beam slicing by wakefield in plasmas,” Phys. Lett. 372(27–28), 4813–4816 (2008).10.1016/j.physleta.2008.05.017
    [39]
    E. G. Gelfer, A. M. Fedotov, O. Klimo, and S. Weber, “Collective coherent emission of electrons in strong laser fields and perspective for hard x-ray lasers,” Matter Radiat. Extremes 9(2), 024201 (2024).10.1063/5.0174508
    [40]
    E. G. Gelfer, A. M. Fedotov, O. Klimo, and S. Weber, “Coherent radiation of an electron bunch colliding with an intense laser pulse,” Phys. Rev. Res. 6, L032013 (2024).10.1103/physrevresearch.6.l032013
    [41]
    Q. Jia, “Enhanced high-gain harmonic generation for x-ray free-electron laser,” Appl. Phys. Lett. 93(14), 141102 (2008).10.1063/1.2993179
    [42]
    Z. Xiang, C. Yu, Z. Qin, X. Jiao, J. Cheng et al., “Ultrahigh-brightness 50 MeV electron beam generation from laser wakefield acceleration in a weakly nonlinear regime,” Matter Radiat. Extremes 9(3), 035201 (2024).10.1063/5.0189460
    [43]
    H. Peng, T. W. Huang, K. Jiang, R. Li, C. N. Wu et al., “Coherent subcycle optical shock from a superluminal plasma wake,” Phys. Rev. Lett. 131, 145003 (2023).10.1103/physrevlett.131.145003
    [44]
    R. H. Dicke, “Coherence in spontaneous radiation processes,” Phys. Rev. 93, 99–110 (1954).10.1103/physrev.93.99
    [45]
    S. Corde, K. Ta Phuoc, G. Lambert, R. Fitour, V. Malka et al., “Femtosecond x rays from laser-plasma accelerators,” Rev. Mod. Phys. 85(1), 1–48 (2013).10.1103/revmodphys.85.1
    [46]
    V. Horný, M. T. KrůsůFülöp, W. Yan, and T. Fülöp, “Attosecond betatron radiation pulse train,” Sci. Rep. 10(1), 15074 (2020).10.1038/s41598-020-72053-z
    [47]
    Y. Liang, Y. Du, D. Wang, L. Yan, Q. Tian et al., “Selective excitation and control of coherent terahertz Smith–Purcell radiation by high-intensity period-tunable train of electron micro-bunches,” Appl. Phys. Lett. 113(17), 171104 (2018).10.1063/1.5054583
    [48]
    Y. P. Wu, J. F. Hua, Z. Zhou, J. Zhang, S. Liu et al., “Phase space dynamics of a plasma Wakefield dechirper for energy spread reduction,” Phys. Rev. Lett. 122, 204804 (2019).10.1103/physrevlett.122.204804
    [49]
    Y. P. Wu, J. F. Hua, C.-H. Pai, W. An, Z. Zhou et al., “Near-ideal dechirper for plasma-based electron and positron acceleration using a hollow channel plasma,” Phys. Rev. Appl. 12, 064011 (2019).10.1103/physrevapplied.12.064011
    [50]
    S. Liu, F. Li, Y. Du, B. Peng, Y. Fang et al., “Experimental demonstration of an emittance-preserving beam energy dechirper using a hollow channel plasma,” Phys. Rev. Lett. 133, 175001 (2024).10.1103/physrevlett.133.175001
    [51]
    K. Nakajima, “Conceptual designs of a laser plasma accelerator-based EUV-FEL and an all-optical Gamma-beam source,” High Power Laser Sci. Eng. 2, e31 (2014).10.1017/hpl.2014.37
  • 加载中

Catalog

    通讯作者: 陈斌, bchen63@163.com
    • 1. 

      沈阳化工大学材料科学与工程学院 沈阳 110142

    1. 本站搜索
    2. 百度学术搜索
    3. 万方数据库搜索
    4. CNKI搜索

    Figures(6)

    Article Metrics

    Article views (3367) PDF downloads(6) Cited by()
    Proportional views
    Related

    /

    DownLoad:  Full-Size Img  PowerPoint
    Return
    Return