Follow us on Wechat

用微信扫码二维码

分享至好友和朋友圈

Volume 10 Issue 4
Jul.  2025
Turn off MathJax
Article Contents
Kleinschmidt Uwe, Redmer Ronald. A conductivity model for hydrogen based on ab initio simulations[J]. Matter and Radiation at Extremes, 2025, 10(4): 047602. doi: 10.1063/5.0250970
Citation: Kleinschmidt Uwe, Redmer Ronald. A conductivity model for hydrogen based on ab initio simulations[J]. Matter and Radiation at Extremes, 2025, 10(4): 047602. doi: 10.1063/5.0250970

A conductivity model for hydrogen based on ab initio simulations

doi: 10.1063/5.0250970
More Information
  • Corresponding author: a)Author to whom correspondence should be addressed: uwe.kleinschmidt@uni-rostock.de
  • Received Date: 2024-11-28
  • Accepted Date: 2025-04-13
  • Available Online: 2025-11-28
  • Publish Date: 2025-07-01
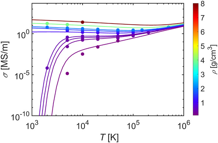
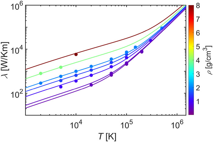
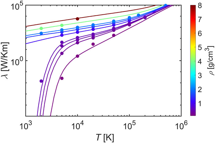
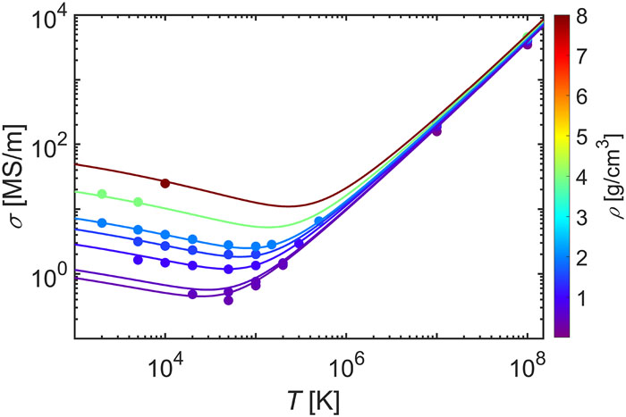
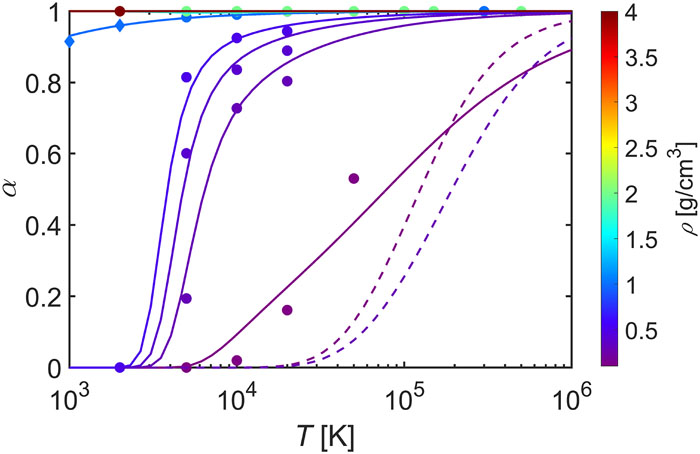
  • We calculate the electrical and thermal conductivity of hydrogen for a wide range of densities and temperatures by using molecular dynamics simulations informed by density functional theory. On the basis of the corresponding extended ab initio data set, we construct interpolation formulas covering the range from low-density, high-temperature to high-density, low-temperature plasmas. Our conductivity model reproduces the well-known limits of the Spitzer and Ziman theory. We compare with available experimental data and find very good agreement. The new conductivity model can be applied, for example, in dynamo simulations for magnetic field generation in gas giant planets, brown dwarfs, and stellar envelopes.
  • Conflict of Interest
    The authors have no conflicts to disclose.
    Uwe Kleinschmidt: Conceptualization (equal); Formal analysis (lead); Investigation (equal); Visualization (lead); Writing – original draft (equal). Ronald Redmer: Conceptualization (equal); Investigation (equal); Supervision (lead); Writing – original draft (equal).
    Author Contributions
    The data that support the findings of this study are available within the article or from the corresponding author upon reasonable request.
  • loading
  • [1]
    T. Guillot, L. N. Fletcher, R. Helled, M. Ikoma, M. R. Line et al., “Giant planets from the inside-out,” in Protostars and Planets VII, edited by S. Inutsuka, Y. Aikawa, T. Muto, K. Tomida, and M. Tamura (Astronomical Society of the Pacific Conference Series, San Francisco, 2023), pp. 947–991.
    [2]
    M. French, A. Becker, W. Lorenzen, N. Nettelmann, M. Bethkenhagen et al., “Ab initio simulations for material properties along the Jupiter adiabat,” Astrophys. J., Suppl. Ser. 202, 5 (2012).10.1088/0067-0049/202/1/5
    [3]
    M. Preising, M. French, C. Mankovich, F. Soubiran, and R. Redmer, “Material properties of Saturn’s interior from ab initio simulations,” Astrophys. J., Suppl. Ser. 269, 47 (2023).10.3847/1538-4365/ad0293
    [4]
    A. Becker, M. Bethkenhagen, C. Kellermann, J. Wicht, and R. Redmer, “Material properties for the interiors of massive giant planets and brown dwarfs,” Astron. J. 156, 149 (2018).10.3847/1538-3881/aad735
    [5]
    S. X. Hu, B. Militzer, V. N. Goncharov, and S. Skupsky, “First-principles equation-of-state table of deuterium for inertial confinement fusion applications,” Phys. Rev. B 84, 224109 (2011).10.1103/physrevb.84.224109
    [6]
    B. Militzer, F. González-Cataldo, S. Zhang, K. P. Driver, and F. Soubiran, “First-principles equation of state database for warm dense matter computation,” Phys. Rev. E 103, 013203 (2021).10.1103/physreve.103.013203
    [7]
    D. Durante, M. Parisi, D. Serra, M. Zannoni, V. Notaro et al., “Jupiter’s gravity field halfway through the Juno mission,” Geophys. Res. Lett. 47, e2019GL086572, (2020).10.1029/2019gl086572
    [8]
    A. P. Ingersoll, “Cassini exploration of the planet Saturn: A comprehensive review,” Space Sci. Rev. 216, 122 (2020).10.1007/s11214-020-00751-1
    [9]
    J. E. P. Connerney, A. Adriani, F. Allegrini, F. Bagenal, S. J. Bolton et al., “Jupiter’s magnetosphere and aurorae observed by the Juno spacecraft during its first polar orbits,” Science 356, 826–832 (2017).10.1126/science.aam5928
    [10]
    Y. Kaspi, E. Galanti, A. P. Showman, D. J. Stevenson, T. Guillot et al., “Comparison of the deep atmospheric dynamics of Jupiter and Saturn in light of the Juno and Cassini gravity measurements,” Space Sci. Rev. 216, 84 (2020).10.1007/s11214-020-00705-7
    [11]
    F. Bagenal, A. Adriani, F. Allegrini, S. J. Bolton, B. Bonfond et al., “Magnetospheric science objectives of the Juno mission,” Space Sci. Rev. 213, 219–287 (2017).10.1007/s11214-014-0036-8
    [12]
    S. J. Bolton, A. Adriani, V. Adumitroaie, M. Allison, J. Anderson et al., “Jupiter’s interior and deep atmosphere: The initial pole-to-pole passes with the Juno spacecraft,” Science 356, 821–825 (2017).10.1126/science.aal2108
    [13]
    S. M. Wahl, W. B. Hubbard, B. Militzer, T. Guillot, Y. Miguel et al., “Comparing Jupiter interior structure models to Juno gravity measurements and the role of a dilute core,” Geophys. Res. Lett. 44, 4649–4659, (2017).10.1002/2017gl073160
    [14]
    U. R. Christensen and J. Wicht, “Models of magnetic field generation in partly stable planetary cores: Applications to Mercury and Saturn,” Icarus 196, 16 (2008).10.1016/j.icarus.2008.02.013
    [15]
    G. Schubert and K. M. Soderlund, “Planetary magnetic fields: Observations and models,” Phys. Earth Planet. Inter. 187, 92 (2011).10.1016/j.pepi.2011.05.013
    [16]
    C. A. Jones, “A dynamo model of Jupiter’s magnetic field,” Icarus 241, 148–159 (2014).10.1016/j.icarus.2014.06.020
    [17]
    J. Wicht and U. R. Christensen, “Contributions of Jupiter’s deep-reaching surface winds to magnetic field structure and secular variation,” J. Geophys. Res.: Planets 129, e2023JE007890, (2024).10.1029/2023je007890
    [18]
    S. Kumar, A. J. Poser, M. Schöttler, U. Kleinschmidt, W. Dietrich et al., “Ionization and transport in partially ionized multicomponent plasmas: Application to atmospheres of hot Jupiters,” Phys. Rev. E 103, 063203 (2021).10.1103/physreve.103.063203
    [19]
    W. Dietrich, S. Kumar, A. J. Poser, M. French, N. Nettelmann et al., “Magnetic induction processes in hot Jupiters, application to KELT-9b,” Mon. Not. R. Astron. Soc. 517, 3113 (2022).10.1093/mnras/stac2849
    [20]
    P. Wulff, U. R. Christensen, W. Dietrich, and J. Wicht, “The effects of a stably stratified region with radially varying electrical conductivity on the formation of zonal winds on gas planets,” J. Geophys. Res.: Planets 129, e2023JE008042, (2024).10.1029/2023je008042
    [21]
    B. Holst, M. French, and R. Redmer, “Electronic transport coefficients from ab initio simulations and application to dense liquid hydrogen,” Phys. Rev. B 83, 235120 (2011).10.1103/physrevb.83.235120
    [22]
    M. French and R. Redmer, “Electronic transport in partially ionized water plasmas,” Phys. Plasmas 24, 092306 (2017).10.1063/1.4998753
    [23]
    M. French, G. Röpke, M. Schörner, M. Bethkenhagen, M. P. Desjarlais et al., “Electronic transport coefficients from density functional theory across the plasma plane,” Phys. Rev. E 105, 065204 (2022).10.1103/physreve.105.065204
    [24]
    C. E. Starrett, N. R. Shaffer, D. Saumon, R. Perriot, T. Nelson et al., “Model for the electrical conductivity in dense plasma mixtures,” High Energy Density Phys. 36, 100752 (2020).10.1016/j.hedp.2020.100752
    [25]
    J. M. McMahon, M. A. Morales, C. Pierleoni, and D. M. Ceperley, “The properties of hydrogen and helium under extreme conditions,” Rev. Mod. Phys. 84, 1607–1653 (2012).10.1103/revmodphys.84.1607
    [26]
    M. Bonitz, J. Vorberger, M. Bethkenhagen, M. P. Böhme, D. M. Ceperley et al., “Toward first principles-based simulations of dense hydrogen,” Phys. Plasmas 31, 110501 (2024).10.1063/5.0219405
    [27]
    W. B. Hubbard, “Studies in stellar evolution. V. Transport coefficients of degenerate stellar matter,” Astrophys. J. 146, 858–870 (1966).10.1086/148961
    [28]
    E. Braun, “Transport coefficients in a plasma. I. Pure gas,” Phys. Fluids 10, 731–736 (1967).10.1063/1.1762182
    [29]
    E. Flowers and N. Itoh, “Transport properties of dense matter,” Astrophys. J. 206, 218–242 (1976).10.1086/154375
    [30]
    H. Minoo, C. Deutsch, and J. P. Hansen, “Electronic transport in dense fully ionized hydrogen,” Phys. Rev. A. 14, 840–853 (1976).10.1103/physreva.14.840
    [31]
    L. Spitzer and R. Härm, “Transport phenomena in a completely ionized gas,” Phys. Rev. 89, 977 (1953).10.1103/physrev.89.977
    [32]
    J. M. Ziman, “A theory of the electrical properties of liquid metals. I: The monovalent metals,” Philos. Mag. 6, 1013 (1961).10.1080/14786436108243361
    [33]
    S. Ichimaru and S. Tanaka, “Theory of interparticle correlations in dense, high-temperature plasmas. V. Electric and thermal conductivities,” Phys. Rev. A. 32, 1790 (1985).10.1103/physreva.32.1790
    [34]
    G. Röpke and R. Redmer, “Electrical conductivity of nondegenerate, fully ionized plasmas,” Phys. Rev. A. 39, 907–910 (1989).10.1103/physreva.39.907
    [35]
    G. Röpke, “Quantum-statistical approach to the electrical conductivity of dense, high-temperature plasmas,” Phys. Rev. A. 38, 3001–3016 (1988).10.1103/physreva.38.3001
    [36]
    H. Reinholz, G. Röpke, S. Rosmej, and R. Redmer, “Conductivity of warm dense matter including electron-electron collisions,” Phys. Rev. E 91, 043105 (2015).10.1103/physreve.91.043105
    [37]
    W. A. Stygar, G. A. Gerdin, and D. L. Fehl, “Analytic electrical-conductivity tensor of a nondegenerate Lorentz plasma,” Phys. Rev. E 66, 046417 (2002).10.1103/physreve.66.046417
    [38]
    V. E. Fortov, V. Y. Ternovoi, M. V. Zhernokletov, M. A. Mochalov, A. L. Mikhailov et al., “Pressure-produced ionization of nonideal plasma in a megabar range of dynamic pressures,” J. Exp. Theor. Phys. 97, 259 (2003).10.1134/1.1608993
    [39]
    L. J. Stanek, A. Kononov, S. B. Hansen, B. M. Haines, S. X. Hu et al., “Review of the second charged-particle transport coefficient code comparison workshop,” Phys. Plasmas 31, 052104 (2024).10.1063/5.0198155
    [40]
    Z. A. Johnson, L. G. Silvestri, G. M. Petrov, L. G. Stanton, and M. S. Murillo, “Comparison of transport models in dense plasmas,” Phys. Plasmas 31, 082701 (2024).10.1063/5.0204226
    [41]
    Y. T. Lee and R. M. More, “An electron conductivity model for dense plasmas,” Phys. Fluids 27, 1273 (1984).10.1063/1.864744
    [42]
    L. D. Landau and E. M. Lifshitz, Physical Kinetics: Course of Theoretical Physics (Pergamon Press, Oxford, 1981), Vol. 10, pp. 177–181.
    [43]
    H. A. Lorentz, “Le mouvement des électrons dans les métaux,” Arch. Neerl. 10, 336 (1905).
    [44]
    M. P. Desjarlais, “Practical improvements to the Lee-More conductivity near the metal-insulator transition,” Contrib. Plasma Phys. 41, 267–270 (2001).10.1002/1521-3986(200103)41:2/3<267::aid-ctpp267>3.3.co;2-g
    [45]
    P. Hohenberg and W. Kohn, “Inhomogeneous electron gas,” Phys. Rev. 136, B864 (1964).10.1103/physrev.136.b864
    [46]
    W. Kohn and L. J. Sham, “Self-consistent equations including exchange and correlation effects,” Phys. Rev. 140, A1133 (1965).10.1103/physrev.140.a1133
    [47]
    N. D. Mermin, “Thermal properties of the inhomogeneous electron gas,” Phys. Rev. 137, A1441 (1965).10.1103/physrev.137.a1441
    [48]
    G. Kresse and J. Furthmüller, “Efficient iterative schemes for ab initio total-energy calculations using a plane-wave basis set,” Phys. Rev. B 54, 11169 (1996).10.1103/PhysRevB.54.11169
    [49]
    G. Kresse and J. Hafner, “Ab initio molecular dynamics for liquid metals,” Phys. Rev. B 47, 558 (1993).10.1103/physrevb.47.558
    [50]
    G. Kresse and J. Hafner, “Ab initio molecular-dynamics simulation of the liquid-metal–amorphous-semiconductor transition in germanium,” Phys. Rev. B 49, 14251 (1994).10.1103/physrevb.49.14251
    [51]
    J. P. Perdew, K. Burke, and M. Ernzerhof, “Generalized gradient approximation made simple,” Phys. Rev. Lett. 77, 3865 (1996).10.1103/physrevlett.77.3865
    [52]
    P. E. Blöchl, “Projector augmented-wave method,” Phys. Rev. B 50, 17953 (1994).10.1103/physrevb.50.17953
    [53]
    G. Kresse and D. Joubert, “From ultrasoft pseudopotentials to the projector augmented-wave method,” Phys. Rev. B 59, 1758 (1999).10.1103/physrevb.59.1758
    [54]
    M. Valiev and J. H. Weare, “The projector-augmented plane wave method applied to molecular bonding,” J. Phys. Chem. A 103, 10588 (1999).10.1021/jp9929770
    [55]
    A. Baldereschi, “Mean-value point in the Brillouin zone,” Phys. Rev. B 7, 5212 (1973).10.1103/physrevb.7.5212
    [56]
    S. Nosé, “A unified formulation of the constant temperature molecular dynamics methods,” J. Chem. Phys. 81, 511 (1984).10.1063/1.447334
    [57]
    W. G. Hoover, “Canonical dynamics: Equilibrium phase-space distributions,” Phys. Rev. A 31, 1695 (1985).10.1103/physreva.31.1695
    [58]
    H. J. Monkhorst and J. D. Pack, “Special points for Brillouin-zone integrations,” Phys. Rev. B 13, 5188 (1976).10.1103/physrevb.13.5188
    [59]
    M. Gajdoš, K. Hummer, G. Kresse, J. Furthmüller, and F. Bechstedt, “Linear optical properties in the projector-augmented wave methodology,” Phys. Rev. B 73, 045112 (2006).10.1103/physrevb.73.045112
    [60]
    R. Kubo, “Statistical-mechanical theory of irreversible processes. I. General theory and simple applications to magnetic and conduction problems,” J. Phys. Soc. Jpn. 12, 570–586 (1957).10.1143/jpsj.12.570
    [61]
    D. A. Greenwood, “The Boltzmann equation in the theory of electrical conduction in metals,” Proc. Phys. Soc. 71, 585 (1958).10.1088/0370-1328/71/4/306
    [62]
    W. W. Focke, “Correlating thermal-conductivity data for ternary liquid mixtures,” Int. J. Thermophys. 29, 1342–1360 (2008).10.1007/s10765-008-0465-2
    [63]
    M. P. Desjarlais, C. R. Scullard, L. X. Benedict, H. D. Whitley, and R. Redmer, “Density-functional calculations of transport properties in the nondegenerate limit and the role of electron-electron scattering,” Phys. Rev. E 95, 033203 (2017).10.1103/physreve.95.033203
    [64]
    G. Röpke, “Electrical conductivity of charged particle systems and Zubarev’s nonequilibrium statistical operator method,” Theor. Math. Phys. 194, 74–104 (2018).10.1134/s0040577918010063
    [65]
    D. O. Gericke, M. S. Murillo, and M. Schlanges, “Dense plasma temperature equilibration in the binary collision approximation,” Phys. Rev. E 65, 036418 (2002).10.1103/physreve.65.036418
    [66]
    W. Ebeling and W. Richert, “Thermodynamic functions of nonideal hydrogen plasmas,” Ann. Phys. 494, 362–370 (1982).10.1002/andp.19824940508
    [67]
    D. Beule, W. Ebeling, A. Förster, H. Juranek, S. Nagel et al., “Equation of state for hydrogen below 10000 K: From the fluid to the plasma,” Phys. Rev. B 59, 14177 (1999).10.1103/physrevb.59.14177
    [68]
    M. Ross, “Matter under extreme conditions of temperature and pressure,” Rep. Prog. Phys. 48, 1–52 (1985).10.1088/0034-4885/48/1/001
    [69]
    M. Ross, F. H. Ree, and D. A. Young, “The equation of state of molecular hydrogen at very high density,” J. Chem. Phys. 79, 1487–1494 (1983).10.1063/1.445939
    [70]
    H. Juranek, R. Redmer, and Y. Rosenfeld, “Fluid variational theory for pressure dissociation in dense hydrogen: Multicomponent reference system and nonadditivity effects,” J. Chem. Phys. 117, 1768 (2002).10.1063/1.1486210
    [71]
    D. Saumon, G. Chabrier, and H. M. van Horn, “An equation of state for low-mass stars and giant planets,” Astrophys. J., Suppl. Ser. 99, 713 (1995).10.1086/192204
    [72]
    D. G. Hummer and D. Mihalas, “The equation of state for stellar envelopes. I. An occupation probability formalism for the truncation of internal partition functions,” Astrophys. J. 331, 794 (1988).10.1086/166600
    [73]
    D. Mihalas, W. Däppen, and D. G. Hummer, “The equation of state for stellar envelopes. II. Algorithm and selected results,” Astrophys. J. 331, 815 (1988).10.1086/166601
    [74]
    W. Däppen, D. Mihalas, D. G. Hummer, and B. W. Mihalas, “The equation of state for stellar envelopes. III. Thermodynamic quantities,” Astrophys. J. 332, 261 (1988).10.1086/166650
    [75]
    D. Mihalas, D. G. Hummer, B. W. Mihalas, and W. Däppen, “The equation of state for stellar envelopes. IV. Thermodynamic quantities and selected ionization fractions for six elemental mixes,” Astrophys. J. 350, 300 (1990).10.1086/168383
    [76]
    V. E. Fortov, R. I. Ilkaev, V. A. Arinin, V. V. Burtzev, V. A. Golubev et al., “Phase transition in a strongly nonideal deuterium plasma generated by quasi-isentropical compression at megabar pressures,” Phys. Rev. Lett. 99, 185001 (2007).10.1103/physrevlett.99.185001
    [77]
    F. E. Höhne, R. Redmer, G. Röpke, and H. Wegener, “Linear response theory for thermoelectric transport coefficients of partially ionized plasma,” Physica A 128, 643–675 (1984).10.1016/0378-4371(84)90200-0
    [78]
    H. Reinholz, R. Redmer, and S. Nagel, “Thermodynamic and transport properties of dense hydrogen plasmas,” Phys. Rev. E 52, 5368–5386 (1995).10.1103/physreve.52.5368
    [79]
    J. R. Adams, N. S. Shilkin, V. E. Fortov, V. K. Gryaznov, V. B. Mintsev et al., “Coulomb contribution to the direct current electrical conductivity of dense partially ionized plasmas,” Phys. Plasmas 14, 062303 (2007).10.1063/1.2744366
    [80]
    K. Batygin, D. J. Stevenson, and P. H. Bodenheimer, “Evolution of ohmically heated hot Jupiters,” Astrophys. J. 738, 1 (2011).10.1088/0004-637x/738/1/1
    [81]
    M. Bethkenhagen, B. B. L. Witte, M. Schörner, G. Röpke, T. Döppner et al., “Carbon ionization at gigabar pressures: An ab initio perspective on astrophysical high-density plasmas,” Phys. Rev. Res. 2, 023260 (2020).10.1103/physrevresearch.2.023260
    [82]
    M. Bethkenhagen, M. Schörner, and R. Redmer, “Insights on the electronic structure of high-density beryllium from ab initio simulations,” Phys. Rev. Res. (submitted) (2024).
    [83]
    J. Sun, A. Ruzsinszky, and J. P. Perdew, “Strongly constrained and appropriately normed semilocal density functional,” Phys. Rev. Lett. 115, 036402 (2015).10.1103/physrevlett.115.036402
    [84]
    J. Heyd, G. E. Scuseria, and M. Ernzerhof, “Hybrid functionals based on a screened Coulomb potential,” J. Chem. Phys. 118, 8207 (2003).10.1063/1.1564060
    [85]
    F. Lambert, V. Recoules, A. Decoster, J. Clérouin, and M. Desjarlais, “On the transport coefficients of hydrogen in the inertial confinement fusion regime,” Phys. Plasmas 18, 056306 (2011).10.1063/1.3574902
    [86]
    I. M. Bespalov and A. Ya. Polishchuk, Methods of Calculation of Transport Coeffecients of Plasmas over a Wide Range of Parameters ([in Russian], IVTAN Preprint No. 1-257, Institute of High Temperatures, Russian Academy of Sciences, Moscow, 1988).
    [87]
    W. Ebeling, A. Förster, V. E. Fortov, V. K. Gryaznov, and A. Y. Polishchuk, in Thermophysical Properties of Hot Dense Plasmas, edited by W. Ebeling, W. Meiling, A. Uhlmann, and B. Wilhelmi (Teubner Verlagsgesellschaft, Stuttgart, 1991), p. 214.
    [88]
    S. Cassisi, A. Y. Potekhin, A. Pietrinfernie, M. Catelan, and M. Salaris, “Updated electron-conduction opacities: The impact on low-mass stellar models,” Astrophys. J. 661, 1094–1104 (2007).10.1086/516819
    [89]
    S. Blouin, N. R. Shaffer, D. Saumon, and C. E. Starrett, “New conductive opacities for white dwarf envelopes,” Astrophys. J. 899, 46 (2020).10.3847/1538-4357/ab9e75
    [90]
    S. T. Weir, A. C. Mitchell, and W. J. Nellis, “Metallization of fluid molecular hydrogen at 140 GPa (1.4 Mbar),” Phys. Rev. Lett. 76, 1860 (1996).10.1103/physrevlett.76.1860
    [91]
    W. J. Nellis, S. T. Weir, and A. C. Mitchell, “Minimum metallic conductivity of fluid hydrogen at 140 GPa (1.4 Mbar),” Phys. Rev. B 59, 3434 (1999).10.1103/physrevb.59.3434
    [92]
    G. Röpke, M. Schörner, R. Redmer, and M. Bethkenhagen, “Virial expansion of the electrical conductivity of hydrogen plasmas,” Phys. Rev. E 104, 045204 (2021).10.1103/physreve.104.045204
    [93]
    V. Y. Ternovoi, A. S. Filimonov, V. E. Fortov, S. V. Kvitov, D. N. Nikolaev et al., “Thermodynamic properties and electrical conductivity of hydrogen under multiple shock compression to 150 GPa,” Physica B 265, 6–11 (1999).10.1016/s0921-4526(98)01303-9
    [94]
    P. A. Sterne, S. B. Hansen, B. G. Wilson, and W. A. Isaacs, “Equation of state, occupation probabilities and conductivities in the average atom Purgatorio code,” High Energy Density Phys. 3, 278–282 (2007).10.1016/j.hedp.2007.02.037
  • 加载中

Catalog

    通讯作者: 陈斌, bchen63@163.com
    • 1. 

      沈阳化工大学材料科学与工程学院 沈阳 110142

    1. 本站搜索
    2. 百度学术搜索
    3. 万方数据库搜索
    4. CNKI搜索

    Figures(11)  / Tables(3)

    Article Metrics

    Article views (2555) PDF downloads(0) Cited by()
    Proportional views
    Related

    /

    DownLoad:  Full-Size Img  PowerPoint
    Return
    Return