Follow us on Wechat

用微信扫码二维码

分享至好友和朋友圈

Volume 10 Issue 3
May  2025
Turn off MathJax
Article Contents
Zou Zhikun, Guo Gan, Wen Meng, Liu Bin, Yan Xue, Liu Yangjié, Jin Luling. Enhanced MVA of polarized proton beams via PW laser-driven plasma bubble[J]. Matter and Radiation at Extremes, 2025, 10(3): 037202. doi: 10.1063/5.0249082
Citation: Zou Zhikun, Guo Gan, Wen Meng, Liu Bin, Yan Xue, Liu Yangjié, Jin Luling. Enhanced MVA of polarized proton beams via PW laser-driven plasma bubble[J]. Matter and Radiation at Extremes, 2025, 10(3): 037202. doi: 10.1063/5.0249082

Enhanced MVA of polarized proton beams via PW laser-driven plasma bubble

doi: 10.1063/5.0249082
More Information
  • Author Bio:

    Electronic mail: liubin@glapa.cn

    Electronic mail: jinluling@hubu.edu.cn

  • Corresponding author: a)Author to whom correspondence should be addressed: wenmeng@hubu.edu.cn
  • Received Date: 2024-11-15
  • Accepted Date: 2025-03-16
  • Available Online: 2025-11-28
  • Publish Date: 2025-05-01
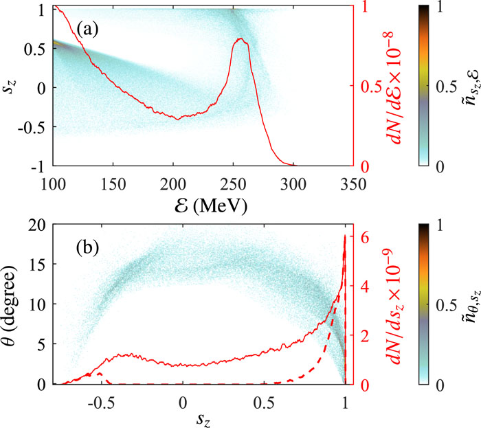
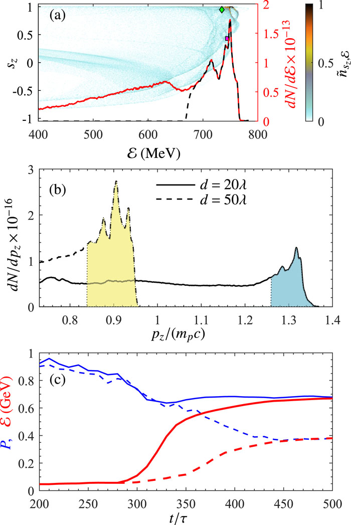
  • The significance of laser-driven polarized beam acceleration has been increasingly recognized in recent years. We propose an efficient method for generating polarized proton beams from a pre-polarized hydrogen halide gas jet, utilizing magnetic vortex acceleration enhanced by a laser-driven plasma bubble. When a petawatt laser pulse passes through a pre-polarized gas jet, a bubble-like ultra-nonlinear plasma wave is formed. As a portion of the particles constituting this wave, background protons are swept by the acceleration field of the bubble and oscillate significantly along the laser propagation axis. Some of the pre-accelerated protons in the plasma wave are trapped by the acceleration field at the rear side of the target. This acceleration field is intensified by the transverse expansion of the laser-driven magnetic vortex, resulting in energetic polarized proton beams. The spin of energetic protons is determined by their precession within the electromagnetic field, which is described using the Thomas–Bargmann–Michel–Telegdi equation in analytical models and particle-in-cell simulations. Multidimensional simulations reveal that monoenergetic proton beams with an energy of hundreds of MeV, a beam charge of hundreds of pC, and a beam polarization of tens of percent can be produced at laser powers of several petawatts. Such laser-driven polarized proton beams have promise for application in polarized beam colliders, where they can be utilized to investigate particle interactions and to explore the properties of matter under extreme conditions.
  • The authors have no conflicts to disclose.
    Conflict of Interest
    Author Contributions
    Zhikun Zou: Data curation (equal); Software (equal). Gan Guo: Data curation (equal); Validation (equal). Meng Wen: Funding acquisition (equal); Supervision (equal); Writing – original draft (equal). Bin Liu: Formal analysis (equal); Funding acquisition (equal); Methodology (equal); Writing – review & editing (equal). Xue Yan: Formal analysis (equal); Resources (equal). Yangjié Liu: Conceptualization (equal); Writing – review & editing (equal). Luling Jin: Conceptualization (equal); Supervision (equal); Visualization (equal); Writing – review & editing (equal).
    The data that support the findings of this study are available from the corresponding author upon reasonable request.
  • loading
  • [1]
    C. N. Danson, C. Haefner, J. Bromage, T. Butcher, J.-C. F. Chanteloup et al., “Petawatt and exawatt class lasers worldwide,” High Power Laser Sci Eng. 7, e54 (2019).10.1017/hpl.2019.36
    [2]
    Z. Li, Y. Leng, and R. Li, “Further development of the short-pulse petawatt laser: Trends, technologies, and bottlenecks,” Laser Photonics Rev. 17, 2100705 (2022).10.1002/lpor.202100705
    [3]
    W. Li, Z. Gan, L. Yu, C. Wang, Y. Liu et al., “339 J high-energy Ti:sapphire chirped-pulse amplifier for 10 PW laser facility,” Opt. Lett. 43, 5681–5684 (2018).10.1364/ol.43.005681
    [4]
    F. Lureau, G. Matras, O. Chalus, C. Derycke, T. Morbieu et al., “High-energy hybrid femtosecond laser system demonstrating 2 × 10 PW capability,” High Power Laser Sci. Eng. 8, e43 (2020).10.1017/hpl.2020.41
    [5]
    G. A. Mourou, T. Tajima, and S. V. Bulanov, “Optics in the relativistic regime,” Rev. Mod. Phys. 78, 309–371 (2006).10.1103/revmodphys.78.309
    [6]
    G. Mourou, “Nobel lecture: Extreme light physics and application,” Rev. Mod. Phys. 91, 030501 (2019).10.1103/revmodphys.91.030501
    [7]
    E. Esarey, C. B. Schroeder, and W. P. Leemans, “Physics of laser-driven plasma-based electron accelerators,” Rev. Mod. Phys. 81, 1229–1285 (2009).10.1103/revmodphys.81.1229
    [8]
    A. Macchi, M. Borghesi, and M. Passoni, “Ion acceleration by superintense laser–plasma interaction,” Rev. Mod. Phys. 85, 751–793 (2013).10.1103/revmodphys.85.751
    [9]
    W.-J. Ma, Z.-P. Liu, P.-J. Wang, J.-R. Zhao, and X.-Q. Yan, “Experimental progress of laser-driven high-energy proton acceleration and new acceleration schemes,” Acta Phys. Sin. 70, 084102 (2021).10.7498/aps.70.20202115
    [10]
    F. Wagner, O. Deppert, C. Brabetz, P. Fiala, A. Kleinschmidt et al., “Maximum proton energy above 85 MeV from the relativistic interaction of laser pulses with micrometer thick CH2 targets,” Phys. Rev. Lett. 116, 205002 (2016).10.1103/physrevlett.116.205002
    [11]
    W. J. Ma, I. J. Kim, J. Q. Yu, I. W. Choi, P. K. Singh et al., “Laser acceleration of highly energetic carbon ions using a double-layer target composed of slightly underdense plasma and ultrathin foil,” Phys. Rev. Lett. 122, 014803 (2019).10.1103/physrevlett.122.014803
    [12]
    I. J. Kim, K. H. Pae, I. W. Choi, C.-L. Lee, H. T. Kim et al., “Radiation pressure acceleration of protons to 93 MeV with circularly polarized petawatt laser pulses,” Phys. Plasmas 23, 070701 (2016).10.1063/1.4958654
    [13]
    W. P. Wang, C. Jiang, H. Dong, X. M. Lu, J. F. Li et al., “Hollow plasma acceleration driven by a relativistic reflected hollow laser,” Phys. Rev. Lett. 125, 034801 (2020).10.1103/physrevlett.125.034801
    [14]
    T. Ziegler, I. Göthel, S. Assenbaum, C. Bernert, F.-E. Brack et al., “Laser-driven high-energy proton beams from cascaded acceleration regimes,” Nat. Phys. 20, 1211 (2024).10.1038/s41567-024-02505-0
    [15]
    J. Bin, “Petawatt pulse pushes protons,” Nat. Phys. 20, 1055 (2024).10.1038/s41567-024-02559-0
    [16]
    F. Sylla, M. Veltcheva, S. Kahaly, A. Flacco, and V. Malka, “Development and characterization of very dense submillimetric gas jets for laser–plasma interaction,” Rev. Sci. Instrum. 83, 033507 (2012).10.1063/1.3697859
    [17]
    I. Prencipe, J. Fuchs, S. Pascarelli, D. W. Schumacher, R. B. Stephens et al., “Targets for high repetition rate laser facilities: Needs, challenges and perspectives,” High Power Laser Sci. Eng. 5, e17 (2017).10.1017/hpl.2017.18
    [18]
    V. Ospina-Bohórquez, C. Salgado-López, M. Ehret, S. Malko, M. Salvadori et al., “Laser-driven ion and electron acceleration from near-critical density gas targets: Towards high-repetition rate operation in the 1 PW, sub-100 fs laser interaction regime,” Phys. Rev. Res. 6, 023268 (2024).10.1103/PhysRevResearch.6.023268
    [19]
    B. Shen, Y. Li, M. Y. Yu, and J. Cary, “Bubble regime for ion acceleration in a laser-driven plasma,” Phys. Rev. E 76, 055402 (2007).10.1103/physreve.76.055402
    [20]
    X. Zhang, B. Shen, L. Zhang, J. Xu, X. Wang et al., “Proton acceleration in underdense plasma by ultraintense Laguerre–Gaussian laser pulse,” New J. Phys. 16, 123051 (2014).10.1088/1367-2630/16/12/123051
    [21]
    C. A. J. Palmer, N. P. Dover, I. Pogorelsky, M. Babzien, G. I. Dudnikova et al., “Monoenergetic proton beams accelerated by a radiation pressure driven shock,” Phys. Rev. Lett. 106, 014801 (2011).10.1103/physrevlett.106.014801
    [22]
    D. Haberberger, S. Tochitsky, F. Fiuza, C. Gong, R. A. Fonseca et al., “Collisionless shocks in laser-produced plasma generate monoenergetic high-energy proton beams,” Nat. Phys. 8, 95–99 (2012).10.1038/nphys2130
    [23]
    T. Nakamura, S. V. Bulanov, T. Z. Esirkepov, and M. Kando, “High-energy ions from near-critical density plasmas via magnetic vortex acceleration,” Phys. Rev. Lett. 105, 135002 (2010).10.1103/physrevlett.105.135002
    [24]
    J. Park, S. S. Bulanov, J. Bin, Q. Ji, S. Steinke et al., “Ion acceleration in laser generated megatesla magnetic vortex,” Phys. Plasmas 26, 103108 (2019).10.1063/1.5094045
    [25]
    I. Tazes, S. Passalidis, E. Kaselouris, D. Mancelli, C. Karvounis et al., “Efficient magnetic vortex acceleration by femtosecond laser interaction with long living optically shaped gas targets in the near critical density plasma regime,” Sci. Rep. 14, 4945 (2024).10.1038/s41598-024-54475-1
    [26]
    T. Roser, L. Ahrens, J. Alessi, M. Bai, J. Beebe-Wang et al., “First polarized proton collisions at RHIC,” AIP Conf. Proc. 667, 1–8 (2003).10.1063/1.1586671
    [27]
    M. Burkardt, C. A. Miller, and W.-D. Nowak, “Spin-polarized high-energy scattering of charged leptons on nucleons,” Rep. Prog. Phys. 73, 016201 (2009).10.1088/0034-4885/73/1/016201
    [28]
    [29]
    I. Alekseev, C. Allgower, M. Bai, Y. Batygin, L. Bozano et al., “Polarized proton collider at RHIC,” Nucl. Instrum. Methods Phys. Res., Sect. A 499, 392–414 (2003).10.1016/s0168-9002(02)01946-0
    [30]
    [31]
    B. Mustapha, Z. Conway, M. Kelly, A. Plastun, and P. Ostroumov, “Design of the multi-ion injector linac for the JLAB EIC (JLEIC),” J. Phys. Conf. 1401, 012008 (2020).10.1088/1742-6596/1401/1/012008
    [32]
    Y.-F. Li, R. Shaisultanov, K. Z. Hatsagortsyan, F. Wan, C. H. Keitel et al., “Ultrarelativistic electron-beam polarization in single-shot interaction with an ultraintense laser pulse,” Phys. Rev. Lett. 122, 154801 (2019).10.1103/physrevlett.122.154801
    [33]
    A. S. Samsonov, E. N. Nerush, and I. Y. Kostyukov, “High-order corrections to the radiation-free dynamics of an electron in the strongly radiation-dominated regime,” Matter Radiat. Extremes 8, 014402 (2022).10.1063/5.0117504
    [34]
    S. Tang, Y. Xin, M. Wen, M. A. Bake, and B. Xie, “Fully polarized Compton scattering in plane waves and its polarization transfer,” Matter Radiat. Extremes 9, 037204 (2024).10.1063/5.0196125
    [35]
    M. Wen, M. Tamburini, and C. H. Keitel, “Polarized laser-wakefield-accelerated kiloampere electron beams,” Phys. Rev. Lett. 122, 214801 (2019).10.1103/physrevlett.122.214801
    [36]
    Z. Gong, M. J. Quin, S. Bohlen, C. H. Keitel, K. Põder et al., “Spin-polarized electron beam generation in the colliding-pulse injection scheme,” Matter Radiat. Extremes 8, 064005 (2023).10.1063/5.0152382
    [37]
    A. Hützen, J. Thomas, J. Böker, R. Engels, R. Gebel et al., “Polarized proton beams from laser-induced plasmas,” High Power Laser Sci. Eng. 7, e16 (2019).10.1017/hpl.2018.73
    [38]
    L. Jin, M. Wen, X. Zhang, A. Hützen, J. Thomas et al., “Spin-polarized proton beam generation from gas-jet targets by intense laser pulses,” Phys. Rev. E 102, 011201 (2020).10.1103/physreve.102.011201
    [39]
    D. Sofikitis, C. S. Kannis, G. K. Boulogiannis, and T. P. Rakitzis, “Ultrahigh-density spin-polarized H and D observed via magnetization quantum beats,” Phys. Rev. Lett. 121, 083001 (2018).10.1103/physrevlett.121.083001
    [40]
    A. K. Spiliotis, M. Xygkis, M. E. Koutrakis, K. Tazes, G. K. Boulogiannis et al., “Ultrahigh-density spin-polarized hydrogen isotopes from the photodissociation of hydrogen halides: New applications for laser-ion acceleration, magnetometry, and polarized nuclear fusion,” Light: Sci. Appl. 10, 35 (2021).10.1038/s41377-021-00476-y
    [41]
    L. Reichwein, A. Pukhov, and M. Büscher, “Acceleration of spin-polarized proton beams via two parallel laser pulses,” Phys. Rev. Accel. Beams 25, 081001 (2022).10.1103/physrevaccelbeams.25.081001
    [42]
    X. Yan, Y. Wu, X. Geng, H. Zhang, B. Shen et al., “Enhanced polarized proton acceleration driven by femtosecond laser pulses irradiating a micro-structured solid–gas target,” Plasma Phys. Controlled Fusion 65, 035005 (2023).10.1088/1361-6587/acb0fd
    [43]
    X. F. Li, P. Gibbon, A. Hützen, M. Büscher, S. M. Weng et al., “Polarized proton acceleration in ultraintense laser interaction with near-critical-density plasmas,” Phys. Rev. E 104, 015216 (2021).10.1103/physreve.104.015216
    [44]
    B. Liu, J. Meyer-ter-Vehn, K.-U. Bamberg, W. J. Ma, J. Liu et al., “Ion wave breaking acceleration,” Phys. Rev. Accel. Beams 19, 073401 (2016).10.1103/physrevaccelbeams.19.073401
    [45]
    B. Liu, J. Meyer-ter-Vehn, and H. Ruhl, “Self-trapping and acceleration of ions in laser-driven relativistically transparent plasma,” Phys. Plasmas 25, 103117 (2018).10.1063/1.5051317
    [46]
    J. W. Yoon, Y. G. Kim, I. W. Choi, J. H. Sung, H. W. Lee et al., “Realization of laser intensity over 1023 W/cm2,” Optica 8, 630–635 (2021).10.1364/optica.420520
    [47]
    P. Wang, Z. Gong, S. G. Lee, Y. Shou, Y. Geng et al., “Super-heavy ions acceleration driven by ultrashort laser pulses at ultrahigh intensity,” Phys. Rev. X 11, 021049 (2021).10.1103/physrevx.11.021049
    [48]
    J.-R. Marquès, L. Lancia, P. Loiseau, P. Forestier-Colleoni, M. Tarisien et al., “Collisionless shock acceleration of protons in a plasma slab produced in a gas jet by the collision of two laser-driven hydrodynamic shockwaves,” Matter Radiat. Extremes 9, 024001 (2023).10.1063/5.0178253
    [49]
    O. Seemann, Y. Wan, S. Tata, E. Kroupp, and V. Malka, “Laser proton acceleration from a near-critical imploding gas target,” Phys. Rev. Lett. 133, 025001 (2024).10.1103/physrevlett.133.025001
    [50]
    B. Liu, B. Lei, Y. Gao, M. Wen, and K. Zhu, “Plasma opacity induced by laser-driven movement of background ions,” Plasma Phys. Controlled Fusion 66, 115004 (2024).10.1088/1361-6587/ad797f
    [51]
    A. B. Borisov, A. V. Borovskiy, V. V. Korobkin, A. M. Prokhorov, O. B. Shiryaev et al., “Observation of relativistic and charge-displacement self-channeling of intense subpicosecond ultraviolet (248 nm) radiation in plasmas,” Phys. Rev. Lett. 68, 2309–2312 (1992).10.1103/physrevlett.68.2309
    [52]
    X. F. Shen, A. Pukhov, O. N. Rosmej, and N. E. Andreev, “Cross-filament stochastic acceleration of electrons in kilojoule picosecond laser interactions with near-critical-density plasmas,” Phys. Rev. Appl. 18, 064091 (2022).10.1103/physrevapplied.18.064091
    [53]
    Y.-J. Gu and S. V. Bulanov, “Magnetic field annihilation and charged particle acceleration in ultra-relativistic laser plasmas,” High Power Laser Sci. Eng. 9, e2 (2021).10.1017/hpl.2020.45
    [54]
    A. Pukhov and J. Meyer-ter-Vehn, “Relativistic magnetic self-channeling of light in near-critical plasma: Three-dimensional particle-in-cell simulation,” Phys. Rev. Lett. 76, 3975–3978 (1996).10.1103/physrevlett.76.3975
    [55]
    T. D. Arber, K. Bennett, C. S. Brady, A. Lawrence-Douglas, M. G. Ramsay et al., “Contemporary particle-in-cell approach to laser-plasma modelling,” Plasma Phys. Controlled Fusion 57, 113001 (2015).10.1088/0741-3335/57/11/113001
    [56]
    S. S. Bulanov, V. Y. Bychenkov, V. Chvykov, G. Kalinchenko, D. W. Litzenberg et al., “Generation of GeV protons from 1 PW laser interaction with near critical density targets,” Phys. Plasmas 17, 043105 (2010).10.1063/1.3372840
    [57]
    P. K. Singh, V. B. Pathak, J. H. Shin, I. W. Choi, K. Nakajima et al., “Electrostatic shock acceleration of ions in near-critical-density plasma driven by a femtosecond petawatt laser,” Sci. Rep. 10, 18452 (2020).10.1038/s41598-020-75455-1
    [58]
    K. I. Popov, W. Rozmus, V. Y. Bychenkov, N. Naseri, C. E. Capjack et al., “Ion response to relativistic electron bunches in the blowout regime of laser-plasma accelerators,” Phys. Rev. Lett. 105, 195002 (2010).10.1103/physrevlett.105.195002
    [59]
    L. L. Ji, A. Pukhov, I. Y. Kostyukov, B. F. Shen, and K. Akli, “Radiation-reaction trapping of electrons in extreme laser fields,” Phys. Rev. Lett. 112, 145003 (2014).10.1103/physrevlett.112.145003
    [60]
    B. Liu, J. Meyer-ter-Vehn, H. Ruhl, and M. Zepf, “Front edge velocity of ultra-intense circularly polarized laser pulses in a relativistically transparent plasma,” Plasma Phys. Controlled Fusion 62, 085014 (2020).10.1088/1361-6587/ab98e0
    [61]
    I. Göthel, C. Bernert, M. Bussmann, M. Garten, T. Miethlinger et al., “Optimized laser ion acceleration at the relativistic critical density surface,” Plasma Phys. Controlled Fusion 64, 044010 (2022).10.1088/1361-6587/ac4e9f
    [62]
    B. Liu, M. Shi, M. Zepf, B. Lei, and D. Seipt, “Accelerating ions by crossing two ultraintense lasers in a near-critical relativistically transparent plasma,” Phys. Rev. Lett. 129, 274801 (2022).10.1103/physrevlett.129.274801
    [63]
    A. Pukhov, Z.-M. Sheng, and J. Meyer-ter-Vehn, “Particle acceleration in relativistic laser channels,” Phys. Plasmas 6, 2847–2854 (1999).10.1063/1.873242
    [64]
    T. W. Huang, C. T. Zhou, H. Zhang, S. Z. Wu, B. Qiao et al., “Relativistic laser hosing instability suppression and electron acceleration in a preformed plasma channel,” Phys. Rev. E 95, 043207 (2017).10.1103/physreve.95.043207
    [65]
    S. Semushin and V. Malka, “High density gas jet nozzle design for laser target production,” Rev. Sci. Instrum. 72, 2961–2965 (2001).10.1063/1.1380393
    [66]
    K. Schmid and L. Veisz, “Supersonic gas jets for laser-plasma experiments,” Rev. Sci. Instrum. 83, 053304 (2012).10.1063/1.4719915
    [67]
    S. Lorenz, G. Grittani, E. Chacon-Golcher, C. M. Lazzarini, J. Limpouch et al., “Characterization of supersonic and subsonic gas targets for laser wakefield electron acceleration experiments,” Matter Radiat. Extremes 4, 015401 (2019).10.1063/1.5081509
    [68]
    I. Engin, Z. M. Chitgar, O. Deppert, L. D. Lucchio, R. Engels et al., “Laser-induced acceleration of helium ions from unpolarized gas jets,” Plasma Phys. Controlled Fusion 61, 115012 (2019).10.1088/1361-6587/ab4613
    [69]
    O. Zhou, H.-E. Tsai, T. M. Ostermayr, L. Fan-Chiang, J. van Tilborg et al., “Effect of nozzle curvature on supersonic gas jets used in laser–plasma acceleration,” Phys. Plasmas 28, 093107 (2021).10.1063/5.0058963
    [70]
    Z.-Z. Lei, Y.-J. Gu, Z. Jin, S. Sato, A. Zhidkov et al., “Supersonic gas jet stabilization in laser–plasma acceleration,” High Power Laser Sci. Eng. 11, e91 (2023).10.1017/hpl.2023.82
    [71]
    Z. Lécz, R. Polanek, A. Andreev, A. Sharma, D. Papp et al., “Hybrid acceleration of compact ion bunches by few-cycle laser pulses in gas jets of two atomic species,” Phys. Rev. Res. 5, 023169 (2023).10.1103/PhysRevResearch.5.023169
    [72]
    D. J. Stark, L. Yin, B. J. Albright, and F. Guo, “Effects of dimensionality on kinetic simulations of laser-ion acceleration in the transparency regime,” Phys. Plasmas 24, 053103 (2017).10.1063/1.4982741
  • 加载中

Catalog

    通讯作者: 陈斌, bchen63@163.com
    • 1. 

      沈阳化工大学材料科学与工程学院 沈阳 110142

    1. 本站搜索
    2. 百度学术搜索
    3. 万方数据库搜索
    4. CNKI搜索

    Figures(9)

    Article Metrics

    Article views (3253) PDF downloads(0) Cited by()
    Proportional views
    Related

    /

    DownLoad:  Full-Size Img  PowerPoint
    Return
    Return