Follow us on Wechat

用微信扫码二维码

分享至好友和朋友圈

Volume 10 Issue 3
May  2025
Turn off MathJax
Article Contents
Kodanova S. K., Ramazanov T. S., Issanova M. K.. Impact of local field correction on transport and dynamic properties of warm dense matter[J]. Matter and Radiation at Extremes, 2025, 10(3): 037601. doi: 10.1063/5.0243102
Citation: Kodanova S. K., Ramazanov T. S., Issanova M. K.. Impact of local field correction on transport and dynamic properties of warm dense matter[J]. Matter and Radiation at Extremes, 2025, 10(3): 037601. doi: 10.1063/5.0243102

Impact of local field correction on transport and dynamic properties of warm dense matter

doi: 10.1063/5.0243102
More Information
  • Corresponding author: a)Author to whom correspondence should be addressed: issanova@physics.kz
  • Received Date: 2024-10-09
  • Accepted Date: 2025-02-11
  • Available Online: 2025-05-01
  • Publish Date: 2025-05-01
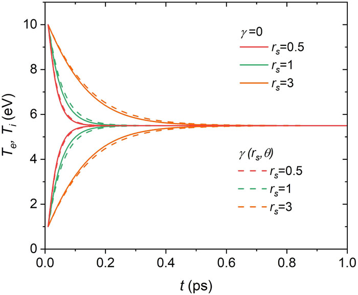
  • A plasma screening model that accounts for electronic exchange-correlation effects and ionic nonideality in dense quantum plasmas is proposed. This model can be used as an input in various plasma interaction models to calculate scattering cross-sections and transport properties. The applicability of the proposed plasma screening model is demonstrated using the example of the temperature relaxation rate in dense hydrogen and warm dense aluminum. Additionally, the conductivity of warm dense aluminum is computed in the regime where collisions are dominated by electron–ion scattering. The results obtained are compared with available theoretical results and simulation data.
  • Conflict of Interest
    The authors have no conflicts to disclose.
    S. K. Kodanova: Conceptualization (equal); Investigation (equal); Supervision (equal); Writing – original draft (equal); Writing – review & editing (equal). T. S. Ramazanov: Investigation (equal); Methodology (equal); Project administration (equal); Supervision (equal); Writing – review & editing (equal). M. K. Issanova: Investigation (equal); Writing – original draft (equal); Writing – review & editing (equal).
    Author Contributions
    The data that support the findings of this study are available from the corresponding author upon reasonable request.
  • loading
  • [1]
    T. Döppner, M. Bethkenhagen, D. Kraus, P. Neumayer, D. A. Chapman et al., “Observing the onset of pressure-driven k-shell delocalization,” Nature 618, 270 (2023).10.1038/s41586-023-05996-8
    [2]
    U. Zastrau, K. Appel, C. Baehtz, O. Baehr, L. Batchelor et al., “The high energy density scientific instrument at the European XFEL,” J. Synchrotron Radiat. 28, 1393–1416 (2021).10.1107/s1600577521007335
    [3]
    K. Falk, S. Regan, J. Vorberger, M. Barrios, T. Boehly et al., “Self-consistent measurement of the equation of state of liquid deuterium,” High Energy Density Phys. 8, 76–80 (2012).10.1016/j.hedp.2011.11.006
    [4]
    D. Saumon and T. Guillot, “Shock compression of deuterium and the interiors of jupiter and saturn,” Astrophys. J. 609, 1170–1180 (2004).10.1086/421257
    [5]
    T. Guillot and A. Showman, “Evolution of ‘51 Pegasus b-like’ planets,” Astron. Astrophys. 385, 156–165 (2002).10.1051/0004-6361:20011624
    [6]
    W. Nellis, “Dynamic compression of materials: Metallization of fluid hydrogen at high pressures,” Rep. Prog. Phys. 69, 1479 (2006).10.1088/0034-4885/69/5/r05
    [7]
    A. Burrows, W. Hubbard, J. Lunine, and J. Liebert, “The theory of brown dwarfs and extrasolar giant planets,” Rev. Mod. Phys. 73, 719 (2001).10.1103/revmodphys.73.719
    [8]
    N. Tahir, D. Hoffmann, and A. Kozureva, “Metallization of hydrogen using heavy ion implosion of multilayered cylindrical targets,” Phys. Rev. E. 63, 016402 (2000).10.1103/PhysRevE.63.016402
    [9]
    Z. Moldabekov, T. D. Gawne, S. Schwalbe, T. R. Preston, J. Vorberger et al., “Ultrafast heating-induced suppression of d-band dominance in the electronic excitation spectrum of cuprum,” ACS Omega 9, 25239–25250 (2024).10.1021/acsomega.4c02920
    [10]
    Z. A. Moldabekov, T. D. Gawne, S. Schwalbe, T. R. Preston, J. Vorberger et al., “Excitation signatures of isochorically heated electrons in solids at finite wave number explored from first principles,” Phys. Rev. Res. 6, 023219 (2024).10.1103/physrevresearch.6.023219
    [11]
    I. Baraffe, G. Chabrier, and T. Barman, “The physical properties of extra-solar planets,” Rep. Prog. Phys. 73, 016901 (2010).10.1088/0034-4885/73/1/016901
    [12]
    T. Dornheim, M. Böhme, D. Kraus, T. Döppner, T. Preston et al., “Accurate temperature diagnostics for matter under extreme conditions,” Nat. Commun. 13, 7911 (2022).10.1038/s41467-022-35578-7
    [13]
    E. Moses, R. Boyd, B. Remington, C. Keane, and R. Al-Ayat, “The national ignition facility: Ushering in a new age for high energy density science,” Phys. Plasmas 16, 041006 (2009).10.1063/1.3116505
    [14]
    L. B. Da Silva, P. Celliers, G. Collins, K. Budil, N. Holmes et al., “Absolute equation of state measurements on shocked liquid deuterium up to 200 GPa (2 Mbar),” Phys. Rev. Lett. 78(3), 483–486 (1997).10.1103/physrevlett.78.483
    [15]
    D. Kraus, A. Ravasio, M. Gauthier, D. O. Gericke, J. Vorberger et al., “Nanosecond formation of diamond and lonsdaleite by shock compression of graphite,” Nat. Commun. 7, 10970 (2016).10.1038/ncomms10970
    [16]
    D. Kraus, J. Vorberger, A. Pak, N. Hartley, L. Fletcher et al., “Formation of diamonds in laser-compressed hydrocarbons at planetary interior conditions,” Nat. Astron. 1, 606–611 (2017).10.1038/s41550-017-0219-9
    [17]
    B. Cho, T. Ogitsu, K. Engelhorn, A. Correa, Y. Ping et al., “Measurement of electron-ion relaxation in warm dense copper,” Sci. Rep. 6, 18843 (2016).10.1038/srep18843
    [18]
    J. Daligault and J. Simoni, “Theory of the electron-ion temperature relaxation rate spanning the hot solid metals and plasma phases,” Phys. Rev. E. 100, 043201 (2019).10.1103/physreve.100.043201
    [19]
    J. Simoni and J. Daligault, “First-principles determination of electron-ion couplings in the warm dense matter regime,” Phys. Rev. Lett. 122, 205001 (2019).10.1103/physrevlett.122.205001
    [20]
    J. Vorberger, D. Gericke, T. Bornath, and M. Schlanges, “Energy relaxation in dense, strongly coupled two-temperature plasmas,” Phys. Rev. E. 81, 046404 (2010).10.1103/physreve.81.046404
    [21]
    J. Vorberger and D. Gericke, “Comparison of electron–ion energy transfer in dense plasmas obtained from numerical simulations and quantum kinetic theory,” High Energy Density Phys. 10, 1–8 (2014).10.1016/j.hedp.2013.10.006
    [22]
    M. Dharma-wardana, “Quantum corrections and bound-state effects in the energy relaxation of hot dense hydrogen,” Phys. Rev. Lett. 101, 035002 (2008).10.1103/physrevlett.101.035002
    [23]
    J. Vorberger and D. Gericke, “Coupled mode effects on energy transfer in weakly coupled, two-temperature plasmas,” Phys. Plasmas 16, 082702 (2009).10.1063/1.3197136
    [24]
    D. Gericke, M. Murillo, and M. Schlanges, “Dense plasma temperature equilibration in the binary collision approximation,” Phys. Rev. E. 65, 036418 (2002).10.1103/physreve.65.036418
    [25]
    J. Glosli, F. Graziani, R. More, M. Murillo, F. Streitz et al., “Molecular dynamics simulations of temperature equilibration in dense hydrogen,” Phys. Rev. E 78, 025401 (2008).10.1103/physreve.78.025401
    [26]
    G. Dimonte and J. Daligault, “Molecular-dynamics simulations of electron-ion temperature relaxation in a classical Coulomb plasma,” Phys. Rev. Lett. 101, 135001 (2008).10.1103/physrevlett.101.135001
    [27]
    C. Jones and M. Murillo, “Analysis of semi-classical potentials for molecular dynamics and Monte Carlo simulations of warm dense matter,” High Energy Density Phys. 3, 379–394 (2007).10.1016/j.hedp.2007.02.038
    [28]
    M. Murillo and M. W. C. Dharma-wardana, “Temperature relaxation in hot dense hydrogen,” Phys. Rev. Lett. 100, 205005 (2008).10.1103/physrevlett.100.205005
    [29]
    R. T. Sprenkle, L. Silvestri, M. Murillo, and S. Bergeson, “Temperature relaxation in strongly-coupled binary ionic mixtures,” Nat. Commun. 13, 15 (2022).10.1038/s41467-021-27696-5
    [30]
    K. Burke, “Perspective on density functional theory,” J. Chem. Phys. 136, 150901 (2012).10.1063/1.4704546
    [31]
    G. Galli, R. Hood, A. Hazi, and F. Gygi, “Ab initio simulations of compressed liquid deuterium,” Phys. Rev. B 61, 909 (2000).10.1103/physrevb.61.909
    [32]
    L. Collins, S. Bickham, J. Kress, S. Mazevet, T. J. Lenosky et al., “Dynamical and optical properties of warm dense hydrogen,” Phys. Rev. B 63, 184110 (2001).10.1103/physrevb.63.184110
    [33]
    Z. Moldabekov, J. Vorberger, and T. Dornheim, “From density response to energy functionals and back: An ab initio perspective on matter under extreme conditions,” Prog. Part. Nucl. Phys. 140, 104144 (2025).10.1016/j.ppnp.2024.104144
    [34]
    C. Bowen, G. Sugiyama, and B. J. Alder, “Static dielectric response of the electron gas,” Phys. Rev. B 50, 14838 (1994).10.1103/physrevb.50.14838
    [35]
    S. Moroni, D. Ceperley, and G. Senatore, “Static response from quantum Monte Carlo calculations,” Phys. Rev. Lett. 69, 1837 (1992).10.1103/physrevlett.69.1837
    [36]
    D. Ceperley and M. Dewing, “The penalty method for random walks with uncertain energies,” J. Chem. Phys. 110, 9812 (1999).10.1063/1.478034
    [37]
    J. Perdew and Y. Wang, “Pair-distribution function and its coupling-constant average for the spin-polarized electron gas,” Phys. Rev. B 46, 12947 (1992).10.1103/physrevb.46.12947
    [38]
    S. Groth, T. Dornheim, T. Sjostrom, F. Malone, W. Foulkes et al., “Ab initio exchange-correlation free energy of the uniform electron gas at warm dense matter conditions,” Phys. Rev. Lett. 119, 135001 (2017).10.1103/physrevlett.119.135001
    [39]
    S. Chapman and T. Cowling, The Mathematical Theory of Non-Uniform Gases (Cambridge University, Cambridge, England, 1970).
    [40]
    L. Spitzer and A. Härm, “Transport phenomena in a completely ionized gas,” Phys. Rev. 89, 997 (1953).10.1103/PhysRev.89.977
    [41]
    Z. Moldabekov, T. Dornheim, and M. Bonitz, “Screening of a test charge in a free-electron gas at warm dense matter and dense non-ideal plasma conditions,” Contrib. Plasma Phys. 62, e202000176 (2022).10.1002/ctpp.202000176
    [42]
    Z. Moldabekov, T. Schoof, P. Ludwig, M. Bonitz, and T. Ramazanov, “Statically screened ion potential and Bohm potential in a quantum plasma,” Phys. Plasmas 22, 102104 (2015).10.1063/1.4932051
    [43]
    Z. Moldabekov, S. Groth, T. Dornheim, M. Bonitz, and T. Ramazanov, “Ion potential in non-ideal dense quantum plasmas,” Contrib. Plasma Phys. 57, 532–538 (2017).10.1002/ctpp.201700109
    [44]
    L. Stanton and M. S. Murillo, “Ionic transport in high-energy-density matter,” Phys. Rev. E 93, 043203 (2016).10.1103/physreve.93.043203
    [45]
    T. Ramazanov, S. Kodanova, M. Nurusheva, and M. Issanova, “Ion core effect on scattering processes in dense plasmas,” Phys. Plasmas 28(9), 092702 (2021).10.1063/5.0059297
    [46]
    T. Ramazanov, M. K. Issanova, Y. K. Aldakul, and S. Kodanova, “Ion core effect on transport characteristics in warm dense matter,” Phys. Plasmas 29(11), 112706 (2022).10.1063/5.0102528
    [47]
    T. Ramazanov, S. Kodanova, M. Issanova, and B. Kenzhegulov, “Influence of the ion core on relaxation processes in dense plasmas,” Contrib. Plasma Phys. 64, e202300127 (2024).10.1002/ctpp.202300127
    [48]
    M. Gabdullin, S. Kodanova, T. Ramazanov, M. Issanova, and T. Ismagambetova, “Thermodynamic and dynamical properties of dense ICF plasma,” Nukleonika 61, 125 (2016).10.1515/nuka-2016-0022
    [49]
    S. Kodanova, T. Ramazanov, A. Khikmetov, and M. Issanova, “Dynamical properties of inertial confinement fusion plasmas,” Contrib. Plasma Phys. 58, 946 (2018).10.1002/ctpp.201700187
    [50]
    T. Ramazanov, S. Kodanova, Z. Moldabekov, and M. Issanova, “Dynamical properties of non-ideal plasma on the basis of effective potentials,” Phys. Plasmas 20, 112702 (2013).10.1063/1.4829042
    [51]
    S. Kodanova, T. Ramazanov, M. Issanova, G. Nigmetova, and Z. Moldabekov, “Investigation of Coulomb logarithm and relaxation processes in dense plasma on the basis of effective potentials,” Contrib. Plasma Phys. 55, 271 (2015).10.1002/ctpp.201400094
    [52]
    T. Ramazanov, Z. Moldabekov, and M. Gabdullin, “Effective potentials of interactions and thermodynamic properties of a nonideal two-temperature dense plasma,” Phys. Rev. E 92, 023104 (2015).10.1103/physreve.92.023104
    [53]
    M. Issanova, S. Kodanova, T. Ramazanov, and D. Hoffmann, “Classical scattering and stopping power in dense plasmas: The effect of diffraction and dynamic screening,” Contrib. Plasma Phys. 56, 425–431 (2016).10.1002/ctpp.201500134
    [54]
    S. Kodanova, M. Issanova, S. Amirov, T. Ramazanov, A. Tikhonov et al., “Relaxation of non-isothermal hot dense plasma parameters,” Matter Radiat. Extremes 3, 40–49 (2018).10.1016/j.mre.2017.07.005
    [55]
    T. Ramazanov, Z. Moldabekov, and M. Gabdullin, “Impact of single particle oscillations on screening of a test charge,” Eur. Phys. J. D 72, 106–108 (2018).10.1140/epjd/e2018-90006-2
    [56]
    G. Gregori, S. H. Glenzer, W. Rozmus, R. W. Lee, and O. L. Landen, “Theoretical model of x-ray scattering as a dense matter probe,” Phys. Rev. E 67, 026412 (2003).10.1103/physreve.67.026412
    [57]
    B. Das and A. Ghoshal, “Stability of the negative ion of hydrogen in nonideal classical plasmas,” Phys. Rev. E 101, 043202 (2020).10.1103/physreve.101.043202
    [58]
    Z.-B. Chen, “Study of atomic spectroscopy and electron collision process in non-ideal classical plasmas,” Phys. Plasmas 30, 052105 (2023).10.1063/5.0147053
    [59]
    T. Ramazanov, K. Galiyev, K. Dzhumagulova, G. Röpke, and R. Redmer, “Transport properties of partially ionized hydrogen plasma,” J. Phys. A: Math. Gen. 36, 6173 (2003).10.1088/0305-4470/36/22/345
    [60]
    Y. Arkhipov, F. Baimbetov, A. Davletov, and T. Ramazanov, “Equilibrium properties of H-plasma,” Contrib. Plasma Phys. 39(6), 495–499 (1999).10.1002/ctpp.2150390603
    [61]
    Y. Arkhipov, F. Baimbetov, A. Davletov, and K. Starikov, “On the electrical conductivity of semiclassical two-component plasmas,” J. Plasma Phys. 68(2), 81–86 (2002).10.1017/s0022377802001770
    [62]
    A. Becker, W. Lorenzen, J. Fortney, N. Nettelmann, M. Schöttler et al., “Ab initio equations of state for hydrogen (H-REOS.3) and helium (He-REOS.3) and their implications for the interior of brown dwarfs,” Astrophys. J., Suppl. Ser. 215, 21 (2014).10.1088/0067-0049/215/2/21
    [63]
    J. Daligault and S. Gupta, “Electron–ion scattering in dense multi-component plasmas: Application to the outer crust of an accreting neutron star,” Astrophys. J. 703, 994 (2009).10.1088/0004-637x/703/1/994
    [64]
    S. X. Hu, B. Militzer, V. N. Goncharov, and S. Skupsky, “First-principles equation-of-state table of deuterium for inertial confinement fusion applications,” Phys. Rev. B 84, 224109 (2011).10.1103/physrevb.84.224109
    [65]
    E. Brovman, Y. Kagan, and A. Kholas, “Properties of metallic hydrogen under pressure,” Sov. Phys. JETP 35, 783–792 (1972).
    [66]
    B. Holst, M. French, and R. Redmer, “Electronic transport coefficients from ab initio simulations and application to dense liquid hydrogen,” Phys. Rev. B 83, 235120 (2011).10.1103/physrevb.83.235120
    [67]
    M. French and T. Mattsson, “Thermoelectric transport properties of molybdenum from ab initio simulations,” Phys. Rev. B 90, 165113 (2014).10.1103/physrevb.90.165113
    [68]
    M. Desjarlais, C. Scullard, L. Benedict, H. Whitley, and R. Redmer, “Density-functional calculations of transport properties in the nondegenerate limit and the role of electron-electron scattering,” Phys. Rev. E 95, 033203 (2017).10.1103/physreve.95.033203
    [69]
    C. Starrett, “Potential of mean force for electrical conductivity of dense plasmas,” High Energy Density Phys. 25, 8–14 (2017).10.1016/j.hedp.2017.09.003
    [70]
    H. Reinholz, R. Redmer, G. Röpke, and A. Wierling, “The long-wavelength limit of the dielectric function for dense plasmas,” Contrib. Plasma Phys. 39(1–2), 77–80 (1999).10.1002/ctpp.2150390119
    [71]
    G. Röpke and A. Wierling, “Dielectric function of a two-component plasma including collisions,” Phys. Rev. E 57(6), 7075–7085 (1998).10.1103/physreve.57.7075
    [72]
    G. Röpke, R. Redmer, A. Wierling, and H. Reinholz, “Strong collisions and response function for two-component plasmas,” Phys. Plasmas 7, 39–44 (2000).10.1063/1.873780
    [73]
    G. Röpke and R. Redmer, “Electrical conductivity of nondegenerate, fully ionized plasmas,” Phys. Rev. A. 39, 907 (1989).10.1103/physreva.39.907
    [74]
    S. Ichimaru, S. Mitake, S. Tanaka, and X.-Z. Yan, “Theory of interparticle correlations in dense, high-temperature plasmas. I. General formalism,” Phys. Rev. A. 32, 1768 (1985).10.1103/physreva.32.1768
    [75]
    S. Tanaka, X.-Z. Yan, and S. Ichimaru, “Equation of state and conductivities of dense hydrogen plasmas near the metal-insulator transition,” Phys. Rev. A. 41, 5616 (1990).10.1103/physreva.41.5616
    [76]
    S. Ichimaru and S. Tanaka, “Theory of interparticle correlations in dense, high-temperature plasmas. V. Electric and thermal conductivities,” Phys. Rev. A. 32, 1790 (1985).10.1103/physreva.32.1790
    [77]
    Z. Moldabekov, M. Bonitz, and T. Ramazanov, “Theoretical foundations of quantum hydrodynamics for plasmas,” Phys. Plasmas 25, 031903 (2018).10.1063/1.5003910
    [78]
    Z. A. Moldabekov, S. Groth, T. Dornheim, H. Kählert, M. Bonitz et al., “Structural characteristics of strongly coupled ions in a dense quantum plasma,” Phys. Rev. E 98, 023207 (2018).10.1103/physreve.98.023207
    [79]
    M. Bonitz, T. Dornheim, Z. Moldabekov, S. Zhang, P. Hamann et al., “Ab initio simulation of warm dense matter,” Phys. Plasmas 27, 042710 (2020).10.1063/1.5143225
    [80]
    T. Dornheim, Z. Moldabekov, and P. Tolias, “Analytical representation of the local field correction of the uniform electron gas within the effective static approximation,” Phys. Rev. B 103, 165102 (2021).10.1103/physrevb.103.165102
    [81]
    D. V. Sivukhin, “Coulomb collisions in a fully ionized plasma,” in Reviews of Plasma Physics (Consultants Bureau, New York, 1966), Vol. 4.
    [82]
    M. Honda, “Coulomb logarithm formulae for collisions between species with different temperatures,” Jpn. J. Appl. Phys. 52, 108002 (2013).10.7567/jjap.52.108002
    [83]
    N. R. Arista and W. Brandt, “Dielectric response of quantum plasmas in thermal equilibrium,” Phys. Rev. A. 29, 1471–1480 (1984).10.1103/physreva.29.1471
    [84]
    T. Ramazanov, S. Amirov, and Z. Moldabekov, “Impact of quantum non‐locality and electronic non‐ideality on e–He scattering in a dense plasma,” Contrib. Plasma Phys. 58, 155 (2018).10.1002/ctpp.201700140
    [85]
    Z. Moldabekov, J. Vorberger, and T. Dornheim, “Density functional theory perspective on the nonlinear response of correlated electrons across temperature regimes,” J. Chem. Theor. Comput. 18, 2900–2912 (2022).10.1021/acs.jctc.2c00012
    [86]
    Z. Moldabekov, M. Böhme, J. Vorberger, D. Blaschke, and T. Dornheim, “Ab initio static exchange–correlation kernel across Jacob’s ladder without functional derivatives,” J. Chem. Theor. Comput. 19, 1286–1299 (2023).10.1021/acs.jctc.2c01180
    [87]
    Z. A. Moldabekov, H. Kählert, T. Dornheim, S. Groth, M. Bonitz et al., “Dynamical structure factor of strongly coupled ions in a dense quantum plasma,” Phys. Rev. E 99, 053203 (2019).10.1103/physreve.99.053203
    [88]
    S. Rightley and S. Baalrud, “Kinetic model for electron-ion transport in warm dense matter,” Phys. Rev. E 103, 063206 (2021).10.1103/physreve.103.063206
    [89]
    D. Melrose and A. Mushtaq, “Dispersion in a thermal plasma including arbitrary degeneracy and quantum recoil,” Phys. Rev. E 82, 056402 (2010).10.1103/physreve.82.056402
    [90]
    N. Mott and H. S. W. Massey, Theory of Atomic Collisions (Clarendon, Oxford, 1956).
    [91]
    F. Calogero, Variable Phase Approach to Potential Scattering (Academic Press, New York, 1967).
    [92]
    V. Babikov, “The phase-function method in quantum mechanics,” Sov. Phys. Usp. 10, 271 (1967).10.1070/pu1967v010n03abeh003246
    [93]
    V. Babikov, Phase Function Method in Quantum Physics (Nauka, Moscow, 1976).
    [94]
    J. P. Hansen and I. R. McDonald, “Microscopic simulation of a strongly coupled hydrogen plasma,” Phys. Rev. A. 23, 2041–2059 (1981).10.1103/physreva.23.2041
    [95]
    G. Röpke, “Electrical conductivity of hydrogen plasmas: Low-density benchmarks and virial expansion including e–e collisions,” Phys. Plasmas 31, 042301 (2024).10.1063/5.0197967
    [96]
    H. Reinholz, G. Röpke, S. Rosmej, and R. Redmer, “Conductivity of warm dense matter including electron-electron collisions,” Phys. Rev. E 91, 043105 (2015).10.1103/physreve.91.043105
    [97]
    A. Y. Potekhin, D. A. Baiko, P. Haensel, and D. G. Yakovlev, “Transport properties of degenerate electrons in neutron star envelopes and white dwarf cores,” Astron. Astrophys. 346, 345–353 (1999); arXiv:astro-ph/9903127.
    [98]
    L. Spitzer, Physics of Fully Ionized Gases (Interscience Publishers, New York, 1956).
    [99]
    J. Daligault, “On the quantum Landau collision operator and electron collisions in dense plasmas,” Phys. Plasmas 23, 032706 (2016).10.1063/1.4944392
    [100]
    J. Daligault, “Collisional transport coefficients of dense high-temperature plasmas within the quantum Landau-Fokker-Planck framework,” Phys. Plasmas 25, 082703 (2018).10.1063/1.5045330
    [101]
    N. R. Shaffer and C. E. Starrett, “Model of electron transport in dense plasmas spanning temperature regimes,” Phys. Rev. E 101, 053204 (2020).10.1103/physreve.101.053204
    [102]
    Y. T. Lee and R. M. More, “An electron conductivity model for dense plasmas,” Phys. Fluids 27, 1273–1286 (1984).10.1063/1.864744
    [103]
    B. B. L. Witte, P. Sperling, M. French, V. Recoules, S. H. Glenzer, and R. Redmer, “Observations of non-linear plasmon damping in dense plasmas,” Phys. Plasmas 25, 056901 (2018).10.1063/1.5017889
    [104]
    M. Bonitz, Quantum Kinetic Theory, 2nd ed. (Springer, 2015).
  • 加载中

Catalog

    通讯作者: 陈斌, bchen63@163.com
    • 1. 

      沈阳化工大学材料科学与工程学院 沈阳 110142

    1. 本站搜索
    2. 百度学术搜索
    3. 万方数据库搜索
    4. CNKI搜索

    Figures(8)

    Article Metrics

    Article views (3405) PDF downloads(0) Cited by()
    Proportional views
    Related

    /

    DownLoad:  Full-Size Img  PowerPoint
    Return
    Return