We apply a hydrodynamic approach to analyze ejecta emanating from doubly shocked liquid metals. In particular, we are interested in characterizing ejecta velocities in such situations by treating the problem as a limiting case of the Richtmyer–Meshkov instability. We find existing models for ejecta velocities do not adequately capture all the relevant physics, including compressibility, nonlinearities, and nonstandard shapes. We propose an empirical model that is capable of describing ejecta behavior across the entire parameter range of interest. We then suggest a protocol to apply this model when the donor material is shocked twice in rapid succession. Finally, the model and the suggested approach are validated using detailed continuum hydrodynamic simulations. The results provide a baseline understanding of the hydrodynamic aspects of ejecta, which can then be used to interpret experimental data from target experiments.
J. D.Lindl, Inertial Confinement Fusion: The Quest for Ignition and Energy Gain Using Indirect Drive (Springer, New York, 1998).
[2]
M.Zingale, S. E.Woosley, C. A.Rendleman, M. S.Day, and J. B.Bell, “Three-dimensional numerical simulations of Rayleigh-Taylor unstable flames in type 1a supernovae,” Astrophys. J.632(2), 1021 (2005).10.1086/433164 doi: 10.1086/433164
[3]
M.Herant, W.Benz, W. R.Hix, C. L.Fryer, and S. A.Colgate, “Inside the supernova: A powerful convective engine,” Astrophys. J.435, 339 (1994).10.1086/174817 doi: 10.1086/174817
[4]
C.-Y.Wang and R. A.Chevalier, “Instabilities and clumping in type Ia supernova remnants,” Astrophys. J.549(2), 1119 (2001).10.1086/319439 doi: 10.1086/319439
[5]
R. D.Richtmyer, “Taylor instability in shock acceleration of compressible fluids,” Commun. Pure Appl. Math.13, 297 (1960).10.1002/cpa.3160130207 doi: 10.1002/cpa.3160130207
[6]
E. E.Meshkov, “Instability of the interface of two gases accelerated by a shock,” Fluid Dyn.4, 101 (1969).10.1007/bf01015969 doi: 10.1007/bf01015969
[7]
F. J.Cherne, J. E.Hammerberg, M. J.Andrews, V.Karkhanis, and P.Ramaprabhu, “On shock driven jetting of liquid from non-sinusoidal surfaces into a vacuum,” J. Appl. Phys.118, 185901 (2015).10.1063/1.4934645 doi: 10.1063/1.4934645
[8]
A. B.Georgievskaya and V. A.Raevsky, “A model of a source of shock wave metal ejection based on Richtmyer–Meshkov instability theory,” J. Dyn. Behav. Mater.3, 321 (2017).10.1007/s40870-017-0118-2 doi: 10.1007/s40870-017-0118-2
[9]
J. E.Hammerberg, W. T.Buttler, F. J.Cherne, M. J.Andrews, V.Karkhanis, P.Ramaprabhu, G. D.Stevens, and W. D.Turley, “A source model for ejecta,” J. Dyn. Behav. Mater.3, 316 (2017).10.1007/s40870-017-0116-4 doi: 10.1007/s40870-017-0116-4
[10]
K. O.Mikaelian, “Analytic approach to nonlinear Rayleigh-Taylor and Richtmyer-Meshkov instabilities,” Phys. Rev. Lett.80, 508 (1998).10.1103/physrevlett.80.508 doi: 10.1103/physrevlett.80.508
[11]
R. J. R.Williams, “The late time structure of high density contrast, single mode Richtmyer-Meshkov flow,” Phys. Fluids28, 074108 (2016).10.1063/1.4955428 doi: 10.1063/1.4955428
[12]
J. E.Hammerberget al., “Proton radiography measurements and models of ejecta structure in shocked Sn,” AIP Conf. Proc.1979, 080006 (2018).10.1063/1.5044848 doi: 10.1063/1.5044848
[13]
G.Dimonte, G.Terrones, F. J.Cherne, T. C.Germann, V.Dupont, K.Kadau, W. T.Buttler, D. M.Oro, C.Morris, and D. L.Preston, “Use of the Richtmyer-Meshkov instability to infer yield stress at high-energy densities,” Phys. Rev. Lett.107, 264502 (2011).10.1103/physrevlett.107.264502 doi: 10.1103/physrevlett.107.264502
[14]
M. B.Prime, W. T.Buttler, M. A.Buechler, N. A.Denissen, M. A.Kenamond, F. G.Mariam, J. I.Martinez, D. M.Oro, D. W.Schmidt, J. B.Stone, D.Tupa, and W.Vogan-McNeil, “Estimation of metal strength at very high rates using free-surface Richtmyer–Meshkov instabilities,” J. Dyn. Behav. Mater.3, 189 (2017).10.1007/s40870-017-0103-9 doi: 10.1007/s40870-017-0103-9
[15]
J. R.Asay, “Material ejection from shock-loaded free surfaces of aluminum and lead,” Report No. SAND-76-0542, 1976.
[16]
G.Dimonte, G.Terrones, F. J.Cherne, and P.Ramaprabhu, “Ejecta source model based on the nonlinear Richtmyer-Meshkov instability,” J. Appl. Phys.113, 024905 (2013).10.1063/1.4773575 doi: 10.1063/1.4773575
[17]
O.Durand and L.Soulard, “Large-scale molecular dynamics study of jet breakup and ejecta production from shock-loaded copper with a hybrid method,” J. Appl. Phys.111, 044901 (2012).10.1063/1.3684978 doi: 10.1063/1.3684978
[18]
O.Durand and L.Soulard, “Power law and exponential ejecta size distributions from the dynamic fragmentation of shock-loaded Cu and Sn metals under melt conditions,” J. Appl. Phys.114, 194902 (2013).10.1063/1.4832758 doi: 10.1063/1.4832758
[19]
R. J. R.Williams and C. C.Grapes, “Simulation of double-shock ejecta production,” J. Dyn. Behav. Mater.3, 291 (2017).10.1007/s40870-017-0107-5 doi: 10.1007/s40870-017-0107-5
[20]
G.Ren, Y.Chen, T.Tang, and Q.Li, “Ejecta production from shocked Pb surface via molecular dynamics,” J. Appl. Phys.116, 133507 (2014).10.1063/1.4896902 doi: 10.1063/1.4896902
[21]
J.-L.Shao, P.Wang, A.-M.He, S.-Q.Duan, and C.-S.Qin, “Atomistic simulations of shock-induced microjet from a grooved aluminium surface,” J. Appl. Phys.113, 153501 (2013).10.1063/1.4801800 doi: 10.1063/1.4801800
[22]
A.-M.He, J.Liu, C.Liu, and P.Wang, “Numerical and theoretical investigation of jet formation in elastic-plastic solids,” J. Appl. Phys.124, 185902 (2018).10.1063/1.5051527 doi: 10.1063/1.5051527
[23]
W. T.Buttler, D. M.Oro, D. L.Preston, K. O.MIkaelian, F. J.Cherne, R. S.Hixson, F. G.Mariam, C.Morris, J. B.Stone, G.Terrones, and D.Tupa, “Unstable Richtmyer–Meshkov growth of solid and liquid metals in vacuum,” J. Fluid Mech.703, 60 (2012).10.1017/jfm.2012.190 doi: 10.1017/jfm.2012.190
[24]
W. T.Buttler, D. M.Oro, R. T.Olson, F. J.Cherne, J. E.Hammerberg, R. S.Hixson, S. K.Monfared, C. L.Pack, P. A.Rigg, J. B.Stone, and G.Terrones, “Second shock ejecta measurements with an explosively driven two-shockwave drive,” J. Appl. Phys.116(10), 103519 (2014).10.1063/1.4895053 doi: 10.1063/1.4895053
[25]
W. T.Buttler, D. M.Oro, F. G.Mariam, A.Saunders, M. J.Andrews, F. J.Cherne, J. E.Hammerberg, R. S.Hixson, S. K.Monfared, C.Morris, R. T.Olson, D. L.Preston, J. B.Stone, G.Terrones, D.Tupa, and W.Vogan-McNeil, “Explosively driven two-shockwave tools with applications,” J. Phys.: Conf. Ser.500(11), 112014 (2014).10.1088/1742-6596/500/11/112014 doi: 10.1088/1742-6596/500/11/112014
[26]
R.Cheret, P.Chapron, P.Elias, and J.Martineau, “Mass ejection from the free surface of shock-loaded metallic samples,” in Shock Wave in Condensed Matter, 1985, edited by Y. M.Gupta (Plenum, New York, 1986), p. 651.
[27]
V.Frachet, P.Elias, and J.Martineau, “Matter ejection from shocked material: A physical model to understand the effects of free surface defects,” in Shock Wave in Condensed Matter, 1987, edited by S. C.Schmidt and N. C.Holmes (Elsevier Science, 1988), p. 235.
[28]
W. T.Buttler, R. J. R.Williams, and F. M.Najjar, “Foreword to the special issue on ejecta,” J. Dyn. Behav. Mater.3, 151 (2017).10.1007/s40870-017-0120-8 doi: 10.1007/s40870-017-0120-8
[29]
R. J. R.Williams, “Ejecta sources and scalings,” AIP Conf. Proc.1979, 080015 (2018).10.1063/1.5044857 doi: 10.1063/1.5044857
[30]
A. A.Charakhch’an, “Richtmyer–Meshkov instability of an interface between two media due to passage of two successive shocks,” J. Appl. Mech. Tech. Phys41(1), 23 (2000).10.1007/bf02465232 doi: 10.1007/bf02465232
[31]
V.Karkhanis, P.Ramaprabhu, W. T.Buttler, J. E.Hammerberg, F. J.Cherne, and M. J.Andrews, “Ejecta production from second shock: Numerical simulations and experiments,” J. Dyn. Behav. Mater.3(2), 265 (2017).10.1007/s40870-017-0091-9 doi: 10.1007/s40870-017-0091-9
[32]
V.Karkhanis, P.Ramaprabhu, F. J.Cherne, J. E.Hammerberg, and M. J.Andrews, “A numerical study of bubble and spike velocities in shock-driven liquid metals,” J. Appl. Phys.123, 025902 (2018).10.1063/1.5008495 doi: 10.1063/1.5008495
[33]
K. A.Meyer and P. J.Blewett, “Numerical investigation of the stability of a shock-accelerated interface between two fluids,” Phys. Fluids15, 753 (1972).10.1063/1.1693980 doi: 10.1063/1.1693980
[34]
D.Layzer, “On the instability of superposed fluids in a gravitational field,” Astrophys. J.122, 1 (1955).10.1086/146048 doi: 10.1086/146048
[35]
A. L.Velikovich and G.Dimonte, “Nonlinear perturbation theory of the incompressible Richtmyer-Meshkov instability,” Phys. Rev. Lett.76, 3112 (1996).10.1103/physrevlett.76.3112 doi: 10.1103/physrevlett.76.3112
[36]
Q.Zhang, “Analytic solutions of Layzer-type approach to unstable interfacial fluid mixing,” Phys. Rev. Lett.81, 3391 (1998).10.1103/physrevlett.81.3391 doi: 10.1103/physrevlett.81.3391
[37]
G.Dimonte and P.Ramaprabhu, “Simulations and model of the nonlinear Richtmyer–Meshkov instability,” Phys. Fluids22, 014104 (2010).10.1063/1.3276269 doi: 10.1063/1.3276269
[38]
B.Fryxell, K.Olson, P.Ricker, F. X.Timmes, M.Zingale, D. Q.Lamb, P.MacNeice, R.Rosner, J. W.Truran, and H.Tufo, “FLASH: An adaptive mesh hydrodynamics code for modeling astrophysical thermonuclear flashes,” Astrophys. J., Suppl. Ser.131, 273 (2000).10.1086/317361 doi: 10.1086/317361
[39]
A. S. C. FLASH, University of Chicago, Chicago, 2005.
[40]
P.Colella and P. R.Woodward, “The piecewise parabolic method (PPM) for gas-dynamical simulations,” J. Comput. Phys.54, 174 (1984).10.1016/0021-9991(84)90143-8 doi: 10.1016/0021-9991(84)90143-8
[41]
K. O.Mikaelian, “Freeze-out and the effect of compressibility in the Richtmyer–Meshkov instability,” Phys. Fluids6, 356 (1994).10.1063/1.868091 doi: 10.1063/1.868091
[42]
R. L.Holmes, G.Dimonte, B.Fryxell, M. L.Gittings, J. W.Grove, M.Schneider, D. H.Sharp, A. L.Velikovich, R. P.Weaver, and Q.Zhang, “Richtmyer–Meshkov instability growth: Experiment, simulation, and theory,” J. Fluid Mech.389, 55 (1999).10.1017/s0022112099004838 doi: 10.1017/s0022112099004838
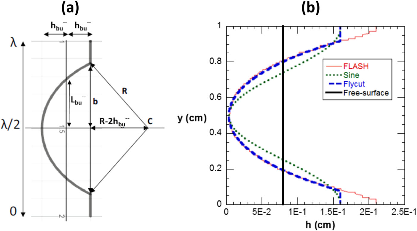
Figure 1. (a) Geometric parameters associated with a flycut profile and (b) flycut and sine waveforms fitted to bubble surface from numerical simulations. The solid vertical line indicates the free surface.
Figure 2. Schematic showing the problem setup for FLASH simulations, with terminology from Ref. 41.
Figure 3. Typical x–t diagram for double-shock simulations. IS, incident shock; TS, transmitted shock; RR, reflected rarefaction; SI, shock–interface interaction. Subscripts indicate first or second shock.
Figure 4. Density contours from numerical simulations of case 1 with sinusoidal initial perturbation (khbu−−∼0.45 at the second shock).
Figure 5. Density contours from numerical simulations of case 5 with sinusoidal initial perturbation (khbu−−∼1.32 at the second shock).
Figure 6. Density contours from numerical simulations of case 6 with chevron initial perturbation (khbu−−∼1.38 at the second shock).
Figure 7. Scaled plots of (a) bubble amplitude, (b) spike amplitude, (c) bubble velocity, and (d) spike velocity vs nondimensional time for case 1, and comparison with models.
Figure 8. Scaled plots of (a) bubble amplitude, (b) spike amplitude, (c) bubble velocity, and (d) spike velocity vs nondimensional time for case 5, and comparison with models.
Figure 9. Scaled plots of (a) bubble amplitude, (b) spike amplitude, (c) bubble velocity, and (d) spike velocity vs nondimensional time for case 6, and comparison with models.
Figure 10. (a) Bubble velocities from all simulations scaled with the model of Ref. 10. (b) Spike velocities from all simulations scaled with Eq. (8).
Figure 11. Summary plot: comparison of spike velocities from all models with FLASH data for single-shock and double-shock cases, as well as reported growth rates from experiments.24,25