Follow us on Wechat

用微信扫码二维码

分享至好友和朋友圈

Volume 3 Issue 6
Nov.  2018
Turn off MathJax
Article Contents
Zhao G.P., Liu L., Wang J.G., Janev R.K., Yan J.. Intensities and shifts of Lyman and Balmer lines of hydrogen-like ions in high density plasmas[J]. Matter and Radiation at Extremes, 2018, 3(6). doi: 10.1016/j.mre.2018.07.001
Citation: Zhao G.P., Liu L., Wang J.G., Janev R.K., Yan J.. Intensities and shifts of Lyman and Balmer lines of hydrogen-like ions in high density plasmas[J]. Matter and Radiation at Extremes, 2018, 3(6). doi: 10.1016/j.mre.2018.07.001

Intensities and shifts of Lyman and Balmer lines of hydrogen-like ions in high density plasmas

doi: 10.1016/j.mre.2018.07.001
More Information
  • Corresponding author: *Corresponding author. E-mail address: liu_ling@iapcm.ac.cn (L. Liu).
  • Received Date: 2018-03-16
  • Accepted Date: 2018-07-04
  • Publish Date: 2018-11-15
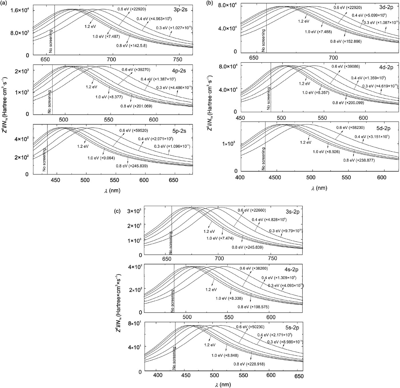
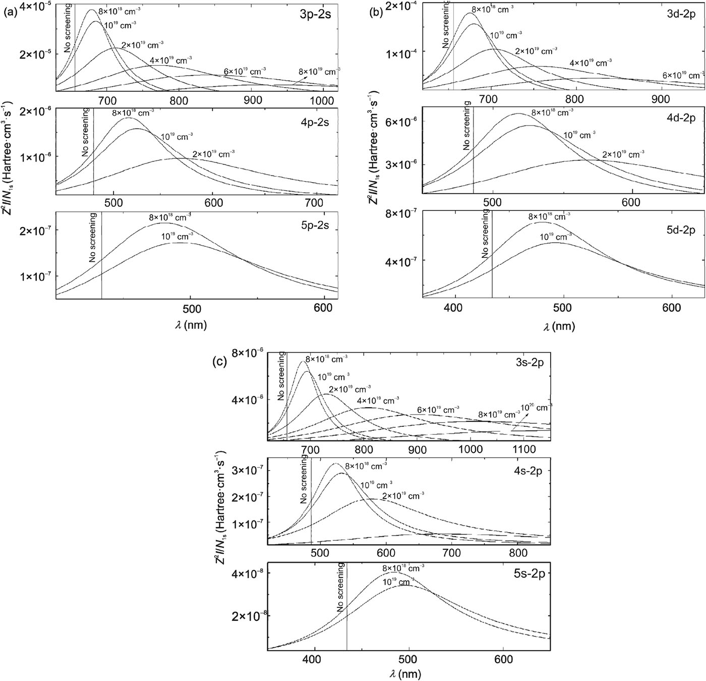
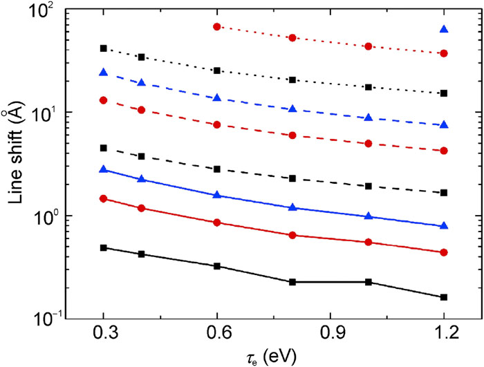
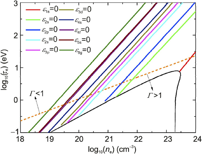
  • The spectral line intensities and line shifts of Lyman and Balmer series for transitions up to n = 5 of hydrogen-like ion are studied in plasmas with densities and temperatures in the ranges ne ∼ 1018–1021 cm−3, Te = 0.3–1.2 eV respectively. The screened potential used to describe the interaction between charged particles includes the electron exchange-correlation and finite-temperature gradient effects and is valid for both weakly and strongly coupled plasmas. The dependencies of alpha, beta and gamma line shifts of Lyman and Balmer series on plasma density (for fixed temperature) and temperature (for fixed density) are investigated. The results for the Hα line shifts are compared with the available high-density experimental data.
  • loading
  • [1]
    H.R. Griem, Plasma Spectroscopy, Mc Graw-Hill, New York, 1964.
    [2]
    H.-J. Kunze, Introduction to Plasma Spectroscopy, Springer, Berlin, 2009.
    [3]
    I.H. Hutchinson, Principles of Plasma Diagnostics, second ed., Cambridge Univ. Press, New York, 2009.
    [4]
    D. Salzman, Atomic Processes in Hot Plasmas, Oxford Univ. Press, Oxford, 1998.
    [5]
    M. Bonitz, Quantum Kinetic Theory, Teubner, Stuttgart/Leipzig, 1998.
    [6]
    P.K. Shukla, B. Eliasson, Novel attractive force between ions in quantum plasmas, Phys.Rev. Lett. 108 (2012) 165007.10.1103/physrevlett.108.165007
    [7]
    M. Akbari-Moghanjoughi, Hydrodynamic limit of wigner-poisson kinetic theory: revisited, Phys. Plasmas 22 (2015) 022103.10.1063/1.4907167
    [8]
    Z. Moldabekov, T. Schoof, P. Ludwig, M. Bonitz, Statically screened ion potential and Bohm potential in a quantum plasma, Phys. Plasmas 22 (2015) 102104.10.1063/1.4932051
    [9]
    P. Harrison, A. Valavanis, Quantum Wells, Wires and Dots: Theoretical and Computational Physics of Semiconductor Nanostructures, fourth edition, Wiley, New York, 2016.
    [10]
    S.L. Shapiro, S.A. Teukolski, Black Holes, White Dwarfs and Neutron Stars, Wiley, New York, 1983.
    [11]
    L.G. Stanton, M.S. Murillo, Unified description of linear screening in dense plasmas, Phys. Rev. E 91 (2015) 033104.10.1103/physreve.91.033104
    [12]
    M.S. Murillo, J.C. Weiheit, Dense plasmas, screened interactions, and atomic ionization, Phys. Rep. 302 (1998) 1.10.1016/s0370-1573(98)00017-9
    [13]
    P. Kowalski, The Physics of the Atmospheres of Cold White Dwarfs, Ph.D. Dissertation, Vanderbilt Univ., 2006.
    [14]
    M.H. Montgomery, R.E. Falcon, G.A. Rochau, J.E. Bailey, T.A. Gomez, et al., An experimental platform for creating white dwarf photospheres in the laboratory: preliminary results, High Energy Density Phys. 17 (2015) 168.10.1016/j.hedp.2015.01.004
    [15]
    H.R. Griem, Spectral Line Broadening by Plasmas, Academic, New York, 1974.
    [16]
    H.R. Griem, Principles of Plasma Spectroscopy, Cambridge Univ. Press, Cambridge, 1997.
    [17]
    T. Fujimoto, Plasma Spectroscopy, Oxford Univ, Press, Oxford, 2004.
    [18]
    J. Kuang, C.D. Lin, Convergent TCAO close-coupling calculations for electron transfer, excitation and ionization in intermediate keV He2+-H collisions, J. Phys. B: At., Mol. Opt. Phys. 30 (1997) 101.10.1088/0953-4075/30/1/012
    [19]
    L.D. Landau, E.M. Lifshitz, Quantum Mechanics: Non-relativistic Theory, 1958. Pergamon, London.
    [20]
    R.G. Dandrea, N.W. Ashcroft, A.E. Carlsson, Electron liquid at any degeneracy, Phys. Rev. B 34 (1986) 2097.10.1103/physrevb.34.2097
    [21]
    H. Antia, Rational function approximations for Fermi-Dirac integrals, Astrophys. J., Suppl. Ser. 84 (1993) 101.10.1086/191748
    [22]
    H.A. Bethe, E.E. Salpeter, Quantum Mechanics of One- and Two-electron Atoms, Academic Press, New York, 1957.
    [23]
    G.P. Zhao, L. Liu, J.G. Wang, R.K. Janev, Spectral properties of hydrogen-like ions in finite-temperature quantum plasmas, Phys. Plasmas 24 (2017) 053509.10.1063/1.4982658
    [24]
    R.W. Cowan, The Theory of Atomic Structure and Spectra, Univ. of California Press, Berkeley, 1981.
    [25]
    S. Günter, L. Hitzschke, G. Röpke, Hydrogen spectral lines with the inclusion of dense-plasma effects, Phys. Rev. 44 (1991) 6834.10.1103/physreva.44.6834
    [26]
    L. Hitzschke, G. Röpke, T. Seifert, R. Zimmermann, Green's function approach to the electron shift and broadening of spectral lines in non-ideal plasmas, J. Phys. B: At. Mol. Phys. 19 (1986) 2443.10.1088/0022-3700/19/16/006
    [27]
    E. Oks, Advance in diagnostics for high-temperature plasmas based on the analytical result for the ion dynamical broadening of hydrogen spectral lines, Phys. Rev. E 60 (1999), R2480 10.1103/physreve.60.r2480.
    [28]
    E. Oks, Reduction of spectral line shifts due to the acceleration of electrons by the ion field in plasmas, J. Phys. B: At., Mol. Opt. Phys. 35 (2002) 2251.10.1088/0953-4075/35/10/305
    [29]
    St. Böddeker, S. Günter, A. Könies, L. Hitzschke, H.-J. Kunze, Shift and width of the Hα line of hydrogen in dense plasmas, Phys. Rev. E 47 (1993) 2785.10.1103/physreve.47.2785
    [30]
    S.A. Flih, E. Oks, Y. Vitel, Comparison of the Stark widths and shifts of the H-alpha line measured in a flash tube plasma with theoretical results, J. Phys. B: At., Mol. Opt. Phys. 36 (2003) 283.10.1088/0953-4075/36/2/309
    [31]
    S. Büscher, Th. Wrubel, S. Ferri, H.-J. Kunze, The Stark width and shift of the hydrogen Hα line, J. Phys. B: At., Mol. Opt. Phys. 35 (2002) 2889.10.1088/0953-4075/35/13/304
    [32]
    E. Stambulchik, Y. Maron, Stark effect of high-n hydrogen-like transitions: quasi-contiguous approximation, J. Phys. B: At., Mol. Opt. Phys. 41 (2008) 095703.10.1088/0953-4075/41/9/095703
    [33]
    Y.Y. Qi, J.G. Wang, R.K. Janev, Bound-bound transitions in hydrogenlike ions in Debye plasmas, Phys. Rev. A 78 (2008) 062511.10.1103/physreva.78.062511
    [34]
    A. Escargual, E. Oks, J. Richau, D. Volodko, Highly nonlinear, sign-varying shift of hydrogen spectral lines in dense plasmas, Phys. Rev. E 62 (2000) 2667.10.1103/physreve.62.2667
    [35]
    A. Escarguel, B. Ferhat, A. Lesage, J. Richau, A single laser spark in aqueous medium, J. Quant. Spectrosc. Radiat. Transfer 64 (2000) 353.10.1016/s0022-4073(99)00108-9
    [36]
    H.R. Griem, Shifts of hydrogen and ionized-helium lines from Δn=0 interactions with electrons in dense plasmas, Phys. Rev. 38 (1988) 2943.10.1103/physreva.38.2943
    [37]
    Y. Vitel, Experimental study of Hα broadening and shift in dense argon plasmas, J. Phys. B: At., Mol. Opt. Phys. 20 (1987) 2327.10.1088/0022-3700/20/10/025
    [38]
    H.R. Griem, A.C. Kolb, K.Y. Shen, Stark broadening of hydrogen lines in a plasma, Phys. Rev. 116 (1959) 4.10.1103/physrev.116.4
    [39]
    M. Baranger, B. Moser, Light as a plasma probe, Phys. Rev. 123 (1961) 25.10.1103/physrev.123.25
    [40]
    H.R. Griem, M. Baranger, A.C. Kolb, G.K. Oertel, Stark broadening of neutral helium lines in a plasma, Phys. Rev. 125 (1962) 177.10.1103/physrev.125.177
  • 加载中

Catalog

    通讯作者: 陈斌, bchen63@163.com
    • 1. 

      沈阳化工大学材料科学与工程学院 沈阳 110142

    1. 本站搜索
    2. 百度学术搜索
    3. 万方数据库搜索
    4. CNKI搜索

    Figures(11)  / Tables(4)

    Article Metrics

    Article views (403) PDF downloads(10) Cited by()
    Proportional views
    Related

    /

    DownLoad:  Full-Size Img  PowerPoint
    Return
    Return