Follow us on Wechat

用微信扫码二维码

分享至好友和朋友圈

Volume 3 Issue 5
Sep.  2018
Turn off MathJax
Article Contents
Martínez-Flores C., Cabrera-Trujillo R.. Dipole and generalized oscillator strength derived electronic properties of an endohedral hydrogen atom embedded in a Debye-Hückel plasma[J]. Matter and Radiation at Extremes, 2018, 3(5). doi: 10.1016/j.mre.2018.05.001
Citation: Martínez-Flores C., Cabrera-Trujillo R.. Dipole and generalized oscillator strength derived electronic properties of an endohedral hydrogen atom embedded in a Debye-Hückel plasma[J]. Matter and Radiation at Extremes, 2018, 3(5). doi: 10.1016/j.mre.2018.05.001

Dipole and generalized oscillator strength derived electronic properties of an endohedral hydrogen atom embedded in a Debye-Hückel plasma

doi: 10.1016/j.mre.2018.05.001
More Information
  • Corresponding author: *Corresponding author. E-mail address: cesar@icf.unam.mx (C. Martínez-Flores).
  • Received Date: 2018-01-09
  • Accepted Date: 2018-05-16
  • Available Online: 2021-12-07
  • Publish Date: 2018-09-15
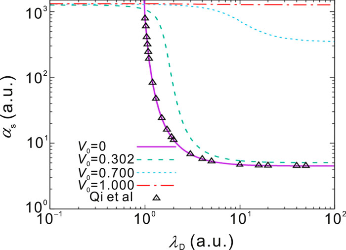
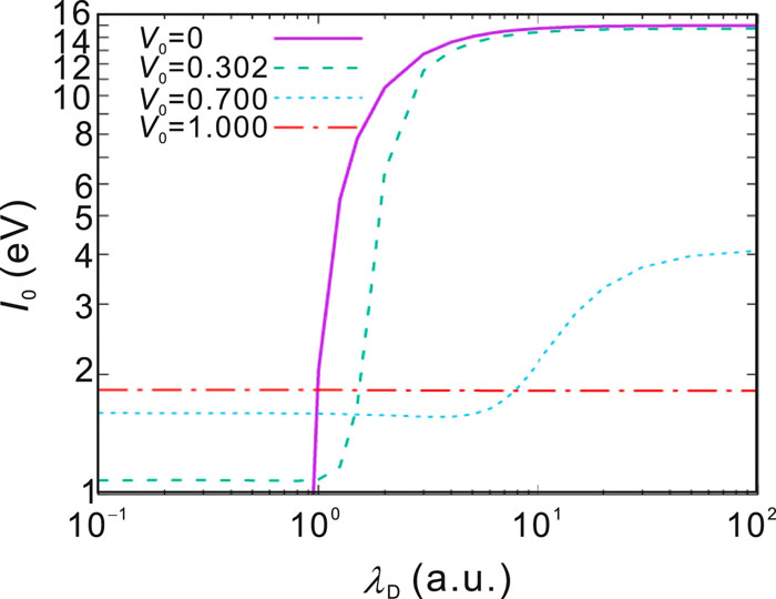
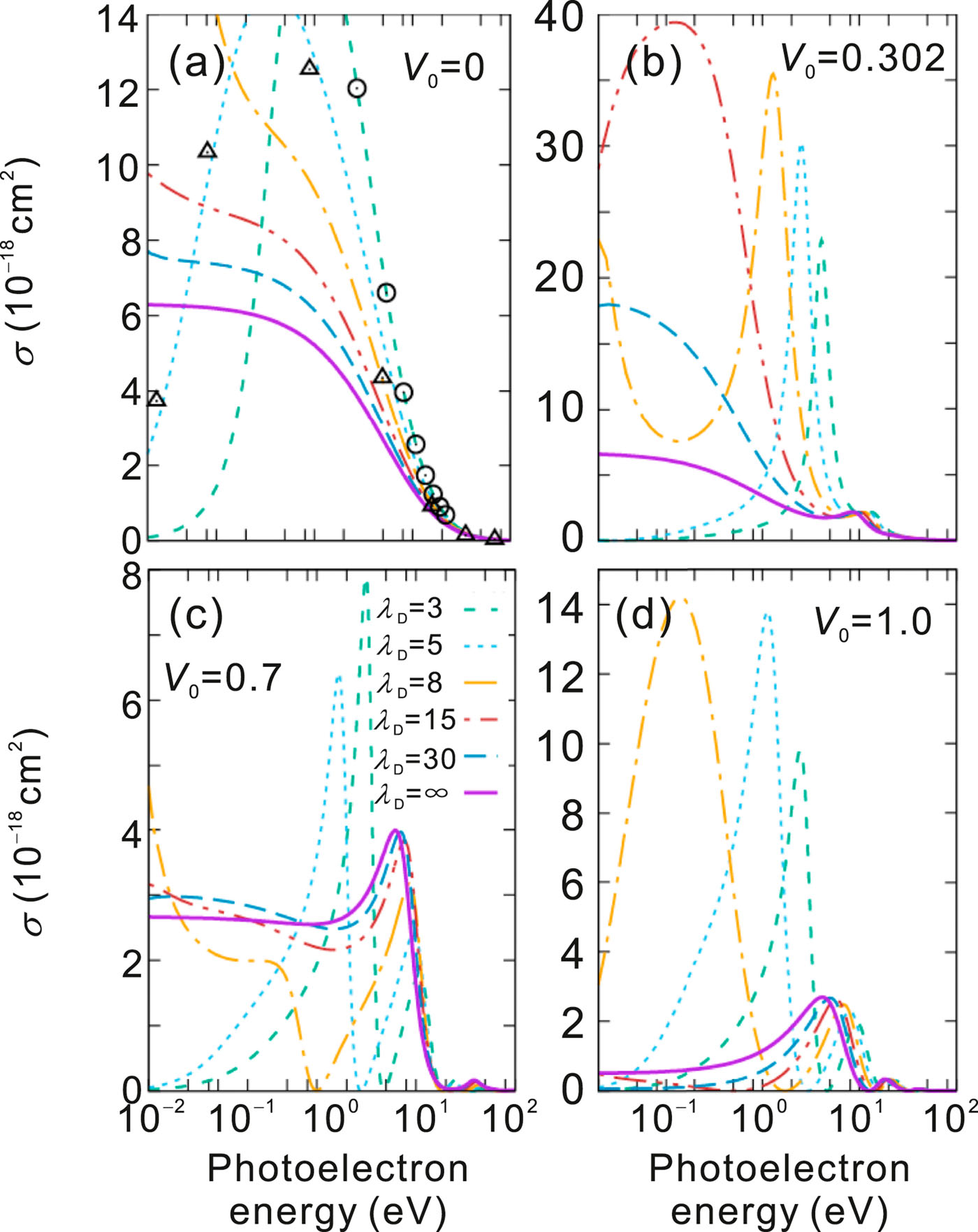
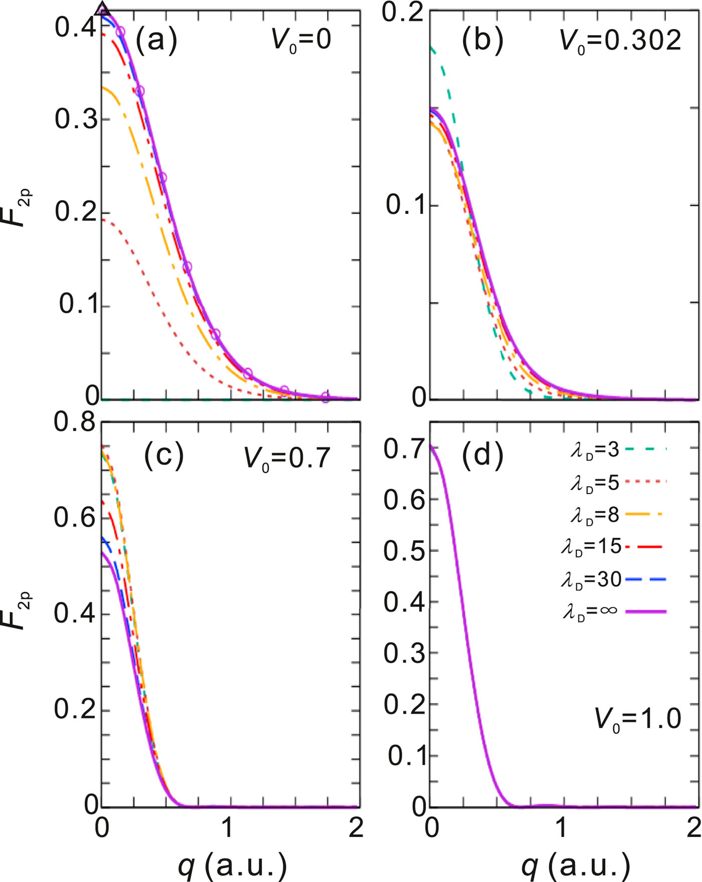
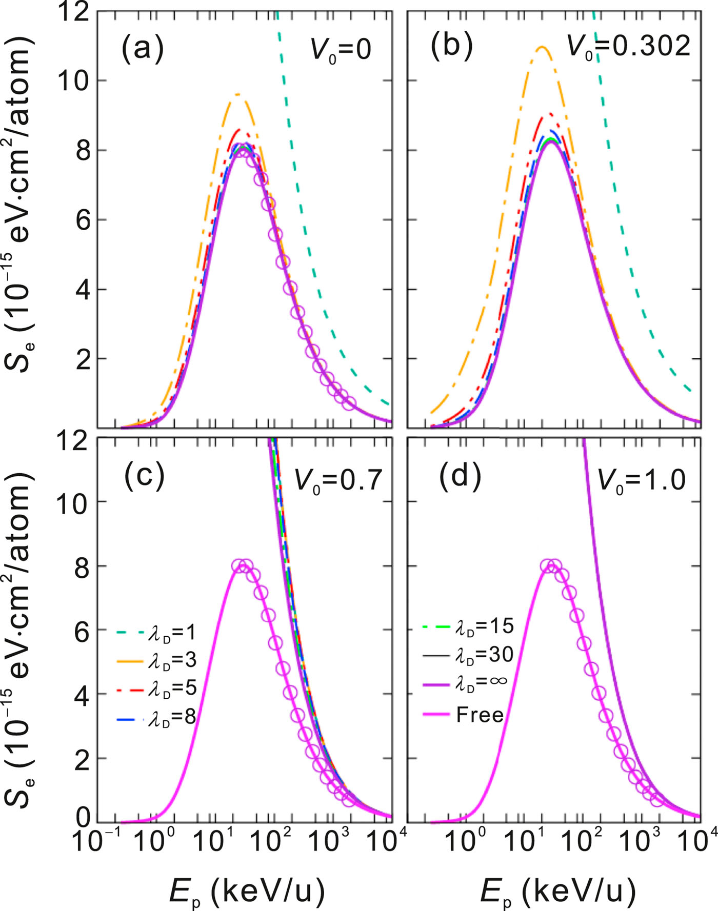
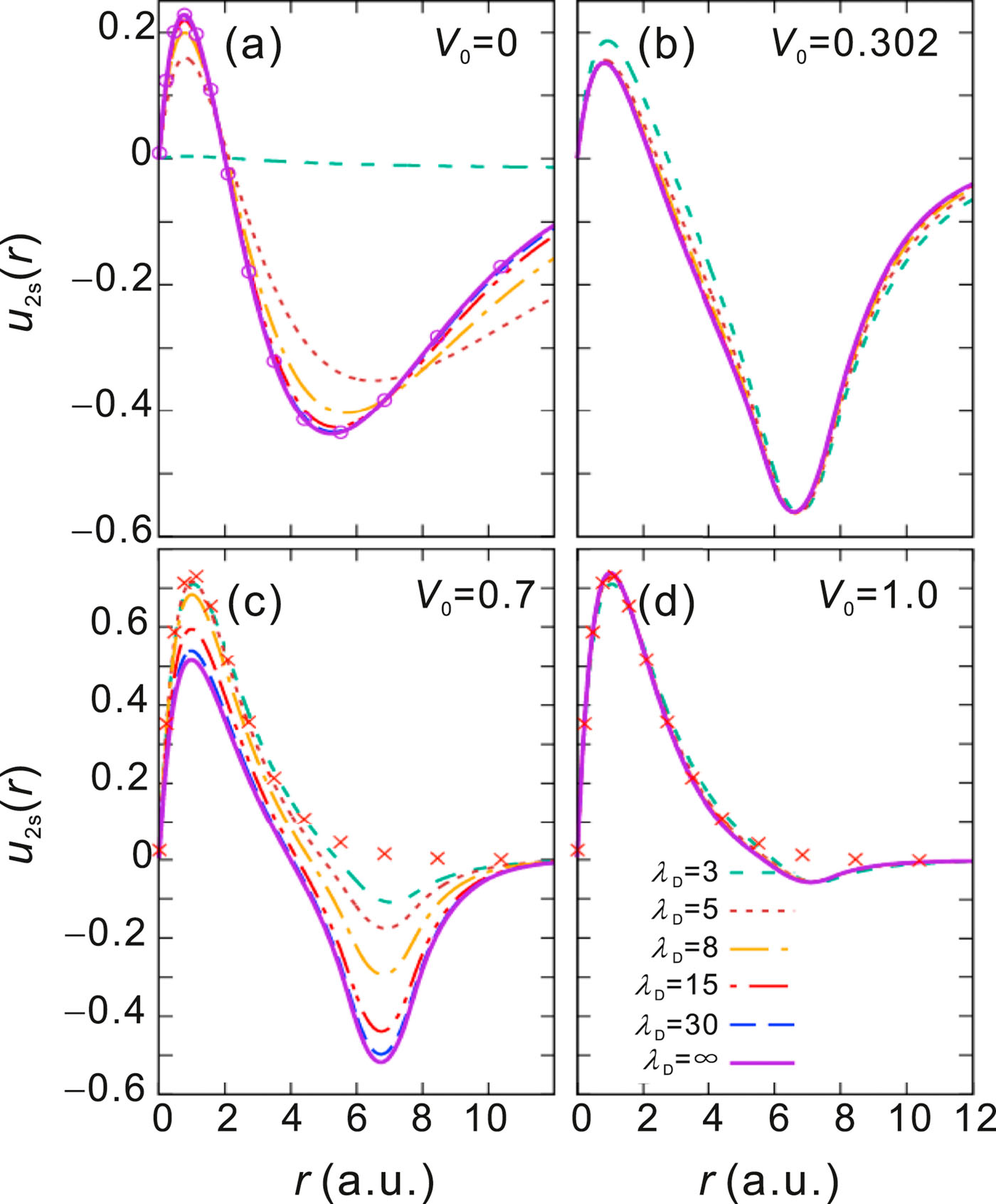
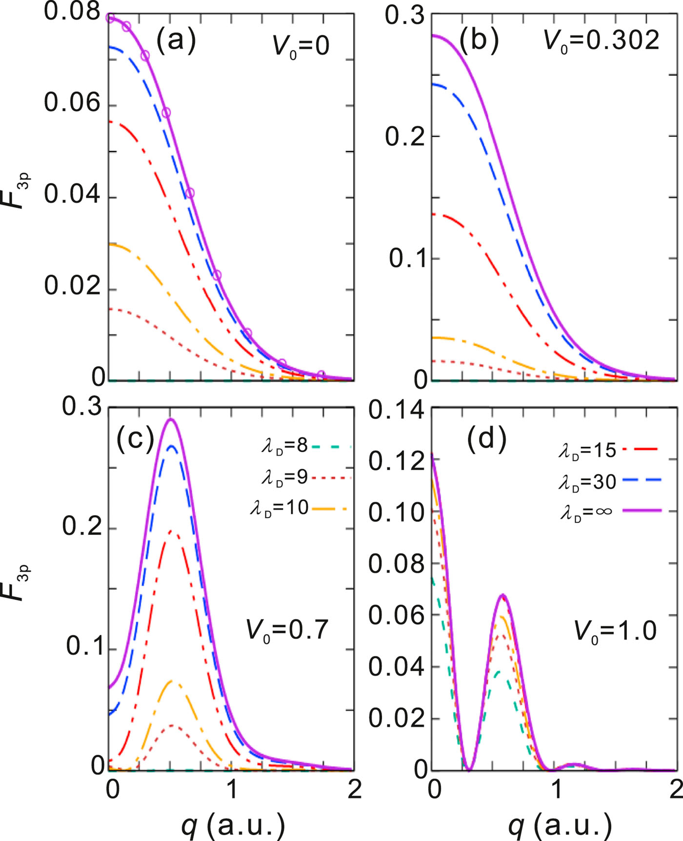
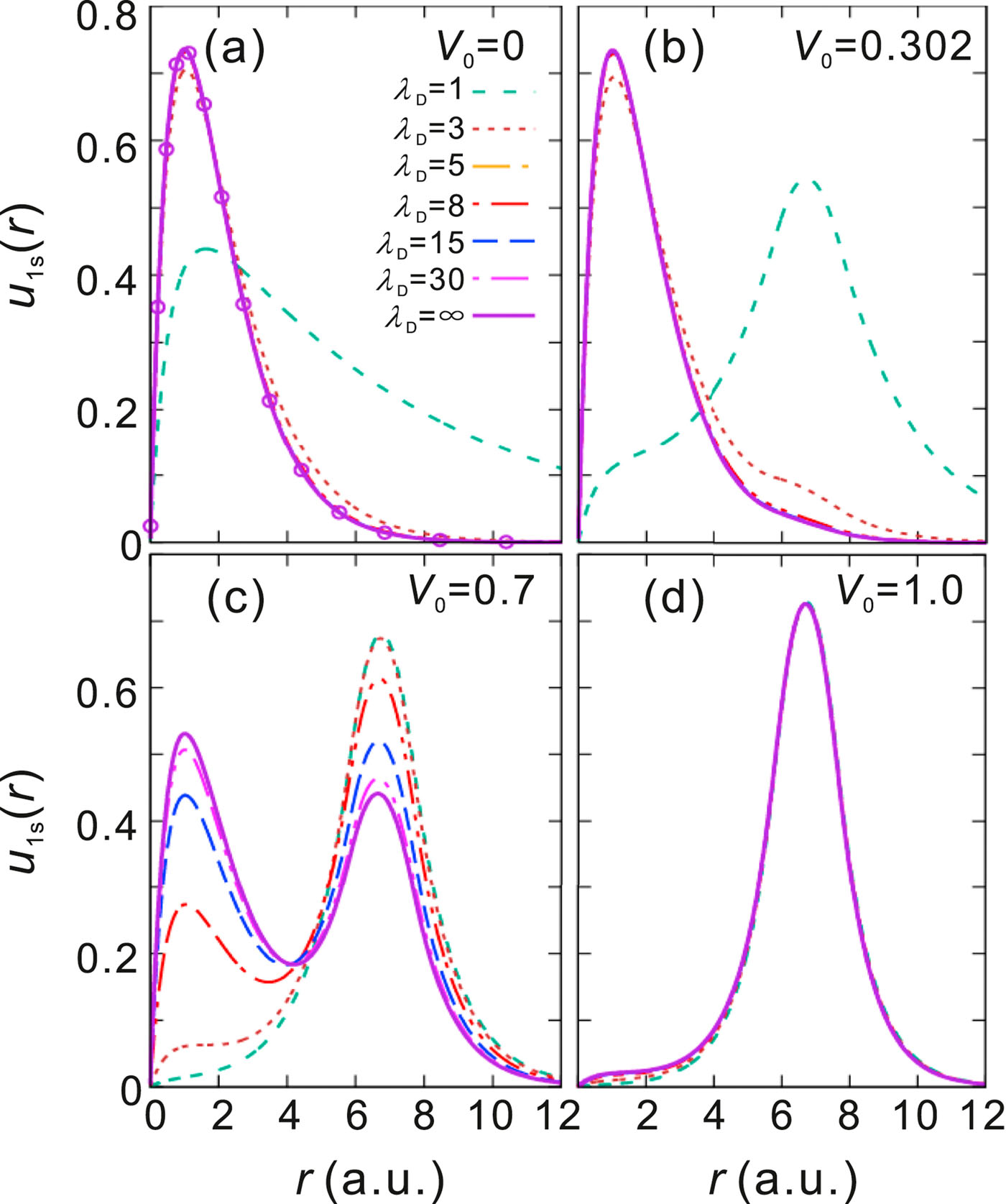
  • We report electronic properties of a hydrogen atom encaged by an endohedral cavity under the influence of a weak plasma interaction. We implement a finite-difference approach to solve the Schrödinger equation for a hydrogen atom embedded in an endohedral cavity modeled by the Woods-Saxon potential with well depth V0, inner radius R0, thickness Δ, and smooth parameter γ. The plasma interaction is described by a Debye-Hückel screening potential that characterizes the plasma in terms of a Debye screening length λD. The electronic properties of the endohedral hydrogen atom are reported for selected endohedral cavity well depths, V0, and screening lengths, λD, that emulate different confinement and plasma conditions. We find that for low screening lengths, the endohedral cavity potential dominates over the plasma interaction by confining the electron within the cavity. For large screening lengths, a competition between both interactions is observed. We assess and report the photo-ionization cross section, dipole polarizability, mean excitation energy, and electronic stopping cross section as function of λD and V0. We find a decrease of the Generalized Oscillator Strength (GOS) when the final excitation is to an s state as the plasma screening length decreases. For a final excitation into a p state, we find an increase in the GOS as the endohedral cavity well-depth increases. For the case of the electronic stopping cross section, we find that the plasma screening and endohedral cavity effects are larger in the low-to-intermediate projectile energies for all potential well depths considered. Our results agree well to available theoretical and experimental data and are a first step towards the understanding of dipole and generalized oscillator strength dependent properties of an atom in extreme conditions encaged by an endohedral cavity immersed in a plasma medium.
  • loading
  • [1]
    D. Salzmann (Ed.), Atomic Physics in Hot Plasmas, Oxford University Press, Oxford, 1998.
    [2]
    R. Janev, S. Zhang, J. Wang, Review of quantum collision dynamics in debye plasmas, Matter Radiat. Extremes 1 (5) (2016) 237–248, 10.1016/j.mre.2016.10.002.
    [3]
    P.S. Committee (Ed.), Plasma Science: From Fundamental Research to Technological Applications, first ed., National Academies Press, Washington, DC, 1995.
    [4]
    K. Nishikawa, M. Wakatani (Eds.), Plasma Physics: Basic Theory with Fusion Applications, third ed., Springer-Verlag Berlin Heidelberg, Switzerland, 2000 10.1007/978-3-662-04078-2. http://www.springer.com/us/book/9783540652854.
    [5]
    O.V. Penkov, M. Khadem, W.-S. Lim, D.-E. Kim, A review of recent applications of atmospheric pressure plasma jets for materials processing, J. Coating Technol. Res. 12 (2) (2015) 225–235, 10.1007/s11998-014-9638-z.
    [6]
    Y. Kuramitsu, Y. Sakawa, T. Morita, T. Ide, K. Nishio, et al., Laboratory investigations on the origins of cosmic rays, Plasma Phys. Controlled Fusion 54 (12) (2012) 124049, 10.1088/0741-3335/54/12/124049. http://stacks.iop.org/0741-3335/54/i=12/a=124049.
    [7]
    M.S. Murillo, J.C. Weisheit, Dense plasmas, screened interactions, and atomic ionization, Phys. Rep. 302 (1) (1998) 1–65.10.1016/s0370-1573(98)00017-9
    [8]
    A. Sil, S. Canuto, P. Mukherjee, Spectroscopy of confined atomic systems: effect of plasma, Adv. Quantum Chem. 58 (2009) 115–175, 10.1016/s0065-3276(09)00708-4. http://www.sciencedirect.com/science/article/pii/S0065327609007084.
    [9]
    E. Hückel, P. Debye, The theory of electrolytes: I. Lowering of freezing point and related phenomena, Phys. Z 24 (1923) 185–206.
    [10]
    Y.Y. Qi, J.G. Wang, R.K. Janev, Photoionization of hydrogen-like ions in dense quantum plasmas, Phys. Plasmas 24 (6) (2017) 062110.10.1063/1.4985658
    [11]
    L.G. Stanton, M.S. Murillo, Unified description of linear screening in dense plasmas, Phys. Rev. E 91 (2015) 033104.10.1103/physreve.91.033104
    [12]
    G.P. Zhao, L. Liu, J.G. Wang, R.K. Janev, Spectral properties of hydrogen-like ions in finite-temperature quantum plasmas, Phys. Plasmas 24 (5) (2017) 053509.10.1063/1.4982658
    [13]
    Y.Y. Qi, J.G. Wang, R.K. Janev, Dynamics of photoionization of hydrogenlike ions in debye plasmas, Phys. Rev. A 80 (2009) 063404.10.1103/physreva.80.063404
    [14]
    C.Y. Lin, Y.K. Ho, Effects of screened Coulomb (Yukawa) and exponential-cosine-screened Coulomb potentials on photoionization of H and He+, Eur. Phys. J. D 57 (1) (2010) 21–26.10.1140/epjd/e2010-00009-8
    [15]
    T.N. Chang, T.K. Fang, Atomic photoionization in a changing plasma environment, Phys. Rev. A 88 (2013) 023406.10.1103/physreva.88.023406
    [16]
    Y.Y. Qi, J.G. Wang, R.K. Janev, Static dipole polarizability of hydrogenlike ions in Debye plasmas, Phys. Rev. A 80 (2009) 032502.10.1103/physreva.80.032502
    [17]
    M. Das, Transition energies and polarizabilities of hydrogen like ions in plasma, Phys. Plasmas 19 (9) (2012) 092707.10.1063/1.4754716
    [18]
    H.W. Li, S. Kar, Polarizabilities of Li and Na in debye plasmas, Phys. Plasmas 19 (7) (2012) 073303.10.1063/1.4739229
    [19]
    H.-W. Li, S. Kar, P. Jiang, Calculations of dynamic dipole polarizabilities of Li and Na atoms in Debye plasma using the model potential technique, Int. J. Quantum Chem. 113 (10) (2013) 1493–1497.10.1002/qua.24347
    [20]
    D.H.H. Hoffmann, K. Weyrich, H. Wahl, D. Gardés, R. Bimbot, C. Fleurier, Energy loss of heavy ions in a plasma target, Phys. Rev. A 42 (1990) 2313–2321.10.1103/physreva.42.2313
    [21]
    A.B. Zylstra, J.A. Frenje, P.E. Grabowski, C.K. Li, G.W. Collins, et al., Measurement of charged-particle stopping in warm dense plasma, Phys. Rev. Lett. 114 (2015) 215002.10.1103/physrevlett.114.215002
    [22]
    G. Xu, M.D. Barriga-Carrasco, A. Blazevic, B. Borovkov, D. Casas, et al., Determination of hydrogen density by swift heavy ions, Phys. Rev. Lett. 119 (2017) 204801.10.1103/physrevlett.119.204801
    [23]
    K.D. Sen (Ed.), Electronic Structure of Quantum Confined Atoms and Molecules, Springer International Publishing, Switzerland, 2014, 10.1007/978-3-319-09982-8.
    [24]
    R.B. Ross, C.M. Cardona, D.M. Guldi, S.G. Sankaranarayanan, M.O. Reese, et al., Endohedral fullerenes for organic photovoltaic devices, Nat. Mater. 8 (3) (2014) 208–212.10.1038/nmat2379.
    [25]
    S. Ornes, Core concept: quantum dots, Proc. Natl. Acad. Sci. U. S. A. 113 (11) (2016) 2796–2797, 10.1073/pnas.1601852113. http://www.pnas.org/content/113/11/2796.short.
    [26]
    O.V. Pupysheva, A.A. Farajian, B.I. Yakobson, Fullerene nanocage capacity for hydrogen storage, Nano Lett. 8 (3) (2008) 767–774.10.1021/nl071436g pMID: 17924697. arXiv.
    [27]
    J.A. Teprovich, A.L. Washington, J. Dixon, P.A. Ward, J.H. Christian, et al., Investigation of hydrogen induced fluorescence in C60 and its potential use in luminescence down shifting applications, Nanoscale 8 (2016) 18760–18770.10.1039/c6nr05998h
    [28]
    W. Jaskólski, Confined many-electron systems, Phys. Rep. 271 (1) (1996) 1–66, 10.1016/0370-1573(95)00070-4. http://www.sciencedirect.com/science/article/pii/0370157395000704.
    [29]
    J.P. Connerade, V.K. Dolmatov, P.A. Lakshmi, The filling of shells in compressed atoms, J. Phys. B: At., Mol. Opt. Phys. 33 (2) (2000) 251, 10.1088/0953-4075/33/2/310. http://stacks.iop.org/0953-4075/33/i=2/a=310.
    [30]
    S.A. Cruz, J. Sabin, E. Brandas (Eds.), Advances in quantum chemistry, vol. 57, Elsevier, Amsterdam, 2009. http://www.sciencedirect.com/science/bookseries/00653276/57.
    [31]
    S.A. Cruz, J. Sabin, E. Brandas (Eds.), Advances in Quantum Chemistry, vol. 58, Elsevier, Amsterdam, 2009. http://www.sciencedirect.com/science/bookseries/00653276/58.
    [32]
    R.D. Woods, D.S. Saxon, Diffuse surface optical model for nucleon-nuclei scattering, Phys. Rev. 95 (1954) 577–578.10.1103/physrev.95.577
    [33]
    V.K. Dolmatov, J.L. King, J.C. Oglesby, Diffuse versus square-well confining potentials in modelling A@C60 atoms, J. Phys. B: At., Mol. Opt. Phys. 45 (10) (2012) 105102. http://stacks.iop.org/0953-4075/45/i=10/a=105102.10.1088/0953-4075/45/10/105102
    [34]
    M.Y. Amusia, A.S. Baltenkov, L.V. Chernysheva, Z. Felfli, A.Z. Msezane, Dramatic distortion of the 4d giant resonance by the C60 fullerene shell, J. Phys. B: At., Mol. Opt. Phys. 38 (10) (2005) L169, 10.1088/0953-4075/38/10/l06. http://stacks.iop.org/0953-4075/38/i=10/a=L06.
    [35]
    V. Dolmatov, Photoionization of atoms encaged in spherical fullerenes, in: Advances in Quantum Chemistry, vol. 58, Academic Press, 2009, pp. 13–68, 10.1016/S0065-3276(09)00706-0. http://www.sciencedirect.com/science/article/pii/S0065327609007060.
    [36]
    C.Y. Lin, Y.K. Ho, Photoionization of atoms encapsulated by cages using the power-exponential potential, J. Phys. B: At., Mol. Opt. Phys. 45 (14) (2012) 145001, 10.1088/0953-4075/45/14/145001. http://stacks.iop.org/0953-4075/45/i=14/a=145001.
    [37]
    C.Y. Lin, Y.K. Ho, Photoionization of endohedral atoms in fullerene cages, Few Body Syst. 54 (1) (2013) 425–429.10.1007/s00601-012-0405-3
    [38]
    C.Y. Lin, Y.K. Ho, Photoionization cross sections of hydrogen impurities in spherical quantum dots using the finite-element discrete-variable representation, Phys. Rev. A 84 (2011) 023407.10.1103/physreva.84.023407
    [39]
    E.K. Campbell, M. Holz, D. Gerlich, J.P. Maier, Laboratory confirmation of C60+ as the Carrier of two diffuse interstellar bands, Nature 523 (2015) 322.10.1038/nature14566
    [40]
    C. Teske, Y. Liu, S. Blaes, J. Jacoby, Electron density and plasma dynamics of a spherical theta pinch, Phys. Plasmas 19 (3) (2012) 033505, arXiv.10.1063/1.3690107
    [41]
    R. Cabrera-Trujillo, S.A. Cruz, Confinement approach to pressure effects on the dipole and the generalized oscillator strength of atomic hydrogen, Phys. Rev. A 87 (2013) 012502.10.1103/physreva.87.012502
    [42]
    S. Koonin, D.C. Meredith, Computational Physics: Fortran Version, Westview Press, 1998.
    [43]
    H.A. Bethe, R. Jackiw (Eds.), Intermediate Quantum Mechanics, third ed., Westview Press, Boulder, Colorado, 1997. EE.UU.
    [44]
    M. Inokuti, Inelastic collisions of fast charged particles with atoms and molecules-the bethe theory revisited, Rev. Mod. Phys. 43 (1971) 297–347.10.1103/revmodphys.43.297
    [45]
    H. Friedrich (Ed.), Theoretical Atomic Physics, third ed., Springer-Verlag Berlin Heidelberg, 2006 10.1007/3-540-29278-0.
    [46]
    L.M. Ugray, R.C. Shiell, Elucidating Fermi's golden rule via bound-to-bound transitions in a confined hydrogen atom, Am. J. Phys. 81 (3) (2013) 206–210.10.1119/1.4773564
    [47]
    H. Bethe, Zur theorie des durchgangs schneller korpuskularstrahlen durch materie, Ann. Phys. 397 (3) (1930) 325–400.10.1002/andp.19303970303
    [48]
    Y.B. Xu, M.Q. Tan, U. Becker, Oscillations in the photoionization cross section of C60, Phys. Rev. Lett. 76 (1996) 3538–3541.10.1103/physrevlett.76.3538
    [49]
    M.F. Hasoğlu, H.-L. Zhou, S.T. Manson, Correlation study of endohedrally confined alkaline-earth-metal atoms (A@C60), Phys. Rev. A 93 (2016) 022512.10.1103/physreva.93.022512
    [50]
    S. Kang, Y.-C. Yang, J. He, F.-Q. Xiong, N. Xu, The hydrogen atom confined in both debye screening potential and impenetrable spherical box, Cent. Eur. J. Phys. 11 (5) (2013) 584–593.10.2478/s11534-013-0230-4
    [51]
    S. Lumb, S. Lumb, V. Prasad, Photoexcitation and ionization of a hydrogen atom confined by a combined effect of a spherical box and debye plasma, Phys. Lett. A 379 (18) (2015) 1263–1269, 10.1016/j.physleta.2015.02.041. http://www.sciencedirect.com/science/article/pii/S0375960115002145.
    [52]
    S. Lumb, S. Lumb, V. Nautiyal, Photoexcitation and ionization of hydrogen atom confined in debye environment, Eur. Phys. J. D 69 (7) (2015) 176.10.1140/epjd/e2015-60136-2
    [53]
    B. Saha, P.K. Mukherjee, G.H.F. Diercksen, Energy levels and structural properties of compressed hydrogen atom under Debye screening, Astron. Astrophys. 396 (2002) 337.10.1051/0004-6361:20021350
    [54]
    J.W. Cooper, Photoionization from outer atomic subshells. A model study, Phys. Rev. 128 (1962) 681–693.10.1103/physrev.128.681
    [55]
    J.W. Cooper, Interaction of maxima in the absorption of soft X rays, Phys. Rev. Lett. 13 (1964) 762–764.10.1103/physrevlett.13.762
    [56]
    M.Y. Amusia, Photoionization and vacancy decay of endohedral atoms, J. Electron Spectrosc. Relat. Phenom. 161 (1) (2007) 112–120.10.1016/j.elspec.2007.04.004
    [57]
    R. Cabrera-Trujillo, S. Cruz, Accurate evaluation of pressure effects on the electronic stopping cross section and mean excitation energy of atomic hydrogen beyond the bethe approximation, Nucl. Instrum. Methods Phys. Res., Sect. B Beam Interact. Mater. Atoms 320 (2014) 51–56, 10.1016/j.nimb.2013.12.011. http://www.sciencedirect.com/science/article/pii/S0168583X13011725.
    [58]
    H. Bichsel, Stopping power of hydrogen atoms, Phys. Rev. A 43 (1991) 4030–4031.10.1103/physreva.43.4030
  • 加载中

Catalog

    通讯作者: 陈斌, bchen63@163.com
    • 1. 

      沈阳化工大学材料科学与工程学院 沈阳 110142

    1. 本站搜索
    2. 百度学术搜索
    3. 万方数据库搜索
    4. CNKI搜索

    Figures(14)  / Tables(4)

    Article Metrics

    Article views (181) PDF downloads(10) Cited by()
    Proportional views
    Related

    /

    DownLoad:  Full-Size Img  PowerPoint
    Return
    Return