Follow us on Wechat

用微信扫码二维码

分享至好友和朋友圈

Volume 1 Issue 5
Sep.  2016
Turn off MathJax
Article Contents
He Bin, Meng Xujun, Wang Jianguo. Energy loss of an energetic Ga ion in hot Au plasmas[J]. Matter and Radiation at Extremes, 2016, 1(5). doi: 10.1016/j.mre.2016.10.003
Citation: He Bin, Meng Xujun, Wang Jianguo. Energy loss of an energetic Ga ion in hot Au plasmas[J]. Matter and Radiation at Extremes, 2016, 1(5). doi: 10.1016/j.mre.2016.10.003

Energy loss of an energetic Ga ion in hot Au plasmas

doi: 10.1016/j.mre.2016.10.003
More Information
  • Corresponding author: *Corresponding author. E-mail address: hebin-rc@163.com (B. He).
  • Received Date: 2016-04-27
  • Accepted Date: 2016-10-08
  • Available Online: 2021-12-07
  • Publish Date: 2016-09-15
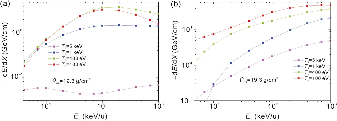
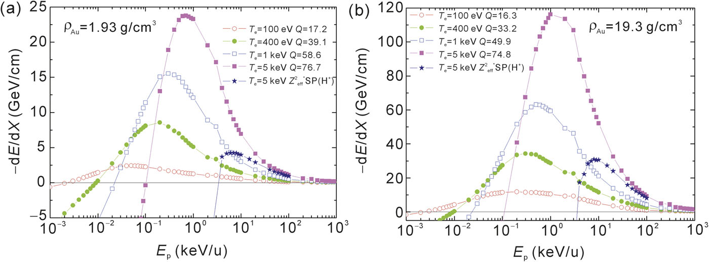
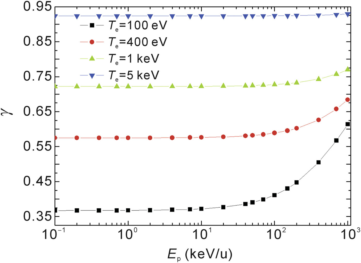
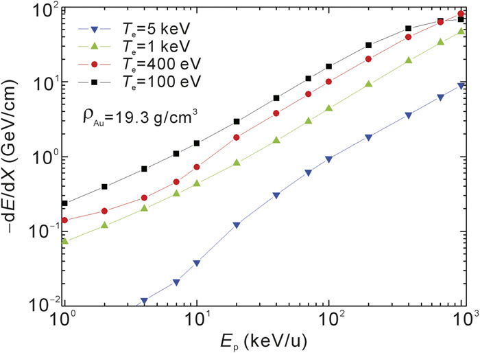
  • Self-consistent calculations of energy loss for a Ga ion moving in hot Au plasmas are made under the assumption of wide ranges of the projectile energy and the plasma temperature with all important mechanisms considered in detail. The relevant results are found to be quite different from those of an α particle or a proton. One important reason for this is the rapid increasing of the charge state of a Ga ion at plasma temperature. This reason also leads to the inelastic stopping which does not always decrease with the increase of plasma temperature, unlike the case of an α particle. The nuclear stopping becomes very important at high enough plasma temperature due to the heavy reduced mass of a Ga and an Au ion and the above-mentioned reason. The well-known binary collision model [Phys. Rev. 126 (1962) 1] and its revised one [Phys. Rev. A 29 (1984) 2145] are not working or unsatisfactory in this case.
  • loading
  • [1]
    R.C. Arnold, J. Meyer-ter-Vehn, Inertial confinement fusion driven by heavy beams, Rep. Prog. Phys. 50 (5) (1987) 559–606.10.1088/0034-4885/50/5/002
    [2]
    M. Roth, T.E. Cowan, M.H. Key, S.P. Hatchett, C. Brown, et al., Fast ignition by laser-accelerated proton beams, Phys. Rev. Lett. 86 (3) (2001) 436–439.10.1103/physrevlett.86.436
    [3]
    Z. Zinamon, Ion beams-target interaction, in: G. Velarde, Y. Ronen, J. Martinez-Val (Eds.), Chapter 2 in Nuclear Fusion by Inertial Confinement, CRC Press, 1993. doi: 10.1016/s0370-1573(98)00056-8
    [4]
    A. Macchi, M. Borghesi, M. Passoni, Ion acceleration by superintense laser-plasma interaction, Rev. Mod. Phys. 85 (2) (2013) 751–793 (and references therein).10.1103/revmodphys.85.751
    [5]
    R.C. Kirkpartick, C.C. Cremer, L.C. Madsen, H.H. Rogers, R.S. Cooper, Structure fusion target designs, Nucl. Fusion 15 (1975) 333–335.10.1088/0029-5515/15/2/019
    [6]
    J.C. Fernandez, B.J. Albright, F.N. Beg, M.E. Foord, B.M. Hegelich, et al., Fast ignition with laser-driven proton and ion beams, Nucl. Fusion 54 (2014) 054006.10.1088/0029-5515/54/5/054006
    [7]
    K.J. Kramer, J.F. Latkowski, R.P. Abbott, J.K. Boyd, J.J. Powers, et al., Neutron transport and nuclear burnup analysis for the laser inertial confinement fusion-fission energy (LIFE) engine, Fusion Sci. Technol. 56 (2009) 625–632.10.13182/fst09-2
    [8]
    D.H.H. Hoffmann, A. Blazevic, P. Ni, A. Rosmej, M. Roth, et al., Present and future perspectives for high energy density physics with intense heavy ion and laser beams, Laser Part. Beams 23 (1) (2005) 47–53.10.1017/s026303460505010x
    [9]
    A. Frank, A. Blažević, V. Bagnoud, M.M. Basko, M. Böner, et al., Energy loss and charge transfer of argon in a laser-produce carbon plasmas, Phys. Rev. Lett. 110 (2013) 115001.10.1103/physrevlett.110.115001
    [10]
    Y.T. Zhao, G.Q. Xiao, F.L. Li, The Physics of inertial confinement fusion based on modern accelerators: Status and perspectives, Physics 45 (2016) 98–107.
    [11]
    J.D. Jackson, Classical Electrodynamics, John Wiley & Sons, Inc, 1975.
    [12]
    P. Sigmund, Particle Penetration and Radiation Effects, Springer-Verlag, 2006.
    [13]
    E. Bonderup, Lecture Notes on Penetration of Charged Particles through Matter, second ed., Institute of Physics, University of Aarhus, 1981.
    [14]
    B. He, J.G. Wang, Stopping power for α particle in hot dense Au plasmas, Nucl. Fusion 53 (2013) 093009.10.1088/0029-5515/53/9/093009
    [15]
    B. He, J.G. Wang, Rate of energy change of proton traversing in hot high-Z plasmas due to nuclear stopping, High Energy Density Phys. 17 (2015) 248–253.10.1016/j.hedp.2015.08.003
    [16]
    O. Boine-Frankenheim, Nonlinear stopping power of ions in plasmas, Phys. Plasmas 3 (5) (1996) 1585–1590.10.1063/1.872017
    [17]
    F. Balazs Rozsnayai, Relativistic HFS calculations for arbitrary temperature and matter density, Phys. Rev. A 5 (3) (1972) 1137–1149.10.1103/physreva.5.1137
    [18]
    A.F. Nikiforov, V.G. Novikov, V.B. Uvanov, Quantum-statistical Models of Hot Dense Matter, Birkhäuser Verlag, 2005.
    [19]
    S.T. Butler, M.J. Buckingham, Energy loss of a fast ion in plasmas, Phys. Rev. 126 (1) (1962) 1–4.10.1103/physrev.126.1
    [20]
    L. de Ferrariis, N.R. Arista, Classical and quantum-mechanical treatments of the energy loss of charged particles in dilute plasmas, Phys. Rev. A 29 (4) (1984) 2145–2159.10.1103/physreva.29.2145
    [21]
    C.A. Ordonez, M.L. Molina, Evaluation of the Coulomb logarithm using cut-off and screened coulomb interaction potentials, Phys. Plasmas 1 (8) (1994) 2515–2518.10.1063/1.870578
    [22]
    L.D. Landau, E.M. Lifshitz, Quantum Mechanics, Pergamon Press Ltd., 1977.
    [23]
    G. Maynard, C. Deutsch, Born RPA for ion stopping in a arbitrarily degenerate electron fluid, J. Phys. 46 (7) (1985) 1113–1122.10.1051/jphys:019850046070111300
    [24]
    Th Peter, J. Meyer-ter-Vehn, Energy loss of heavy ion in plasmas, Phys. Rev. A 43 (1991) 1998.10.1103/physreva.43.1998
    [25]
    Y.N. Wang, T.C. Ma, Vicinage effects in the stopping power for diatomic molecular ions in solids, Phys. Lett. A 178 (1993) 209–216.10.1016/0375-9601(93)90753-m
  • 加载中

Catalog

    通讯作者: 陈斌, bchen63@163.com
    • 1. 

      沈阳化工大学材料科学与工程学院 沈阳 110142

    1. 本站搜索
    2. 百度学术搜索
    3. 万方数据库搜索
    4. CNKI搜索

    Figures(6)  / Tables(1)

    Article Metrics

    Article views (499) PDF downloads(7) Cited by()
    Proportional views
    Related

    /

    DownLoad:  Full-Size Img  PowerPoint
    Return
    Return