Follow us on Wechat

用微信扫码二维码

分享至好友和朋友圈

Volume 2 Issue 1
Jan.  2017
Turn off MathJax
Article Contents
Kline J.L., Hager J.D.. Aluminum X-ray mass-ablation rate measurements[J]. Matter and Radiation at Extremes, 2017, 2(1). doi: 10.1016/j.mre.2016.09.003
Citation: Kline J.L., Hager J.D.. Aluminum X-ray mass-ablation rate measurements[J]. Matter and Radiation at Extremes, 2017, 2(1). doi: 10.1016/j.mre.2016.09.003

Aluminum X-ray mass-ablation rate measurements

doi: 10.1016/j.mre.2016.09.003
More Information
  • Corresponding author: *Corresponding author. E-mail address: jkline@lanl.gov (J.L. Kline).
  • Received Date: 2016-08-16
  • Accepted Date: 2016-09-18
  • Publish Date: 2017-01-15
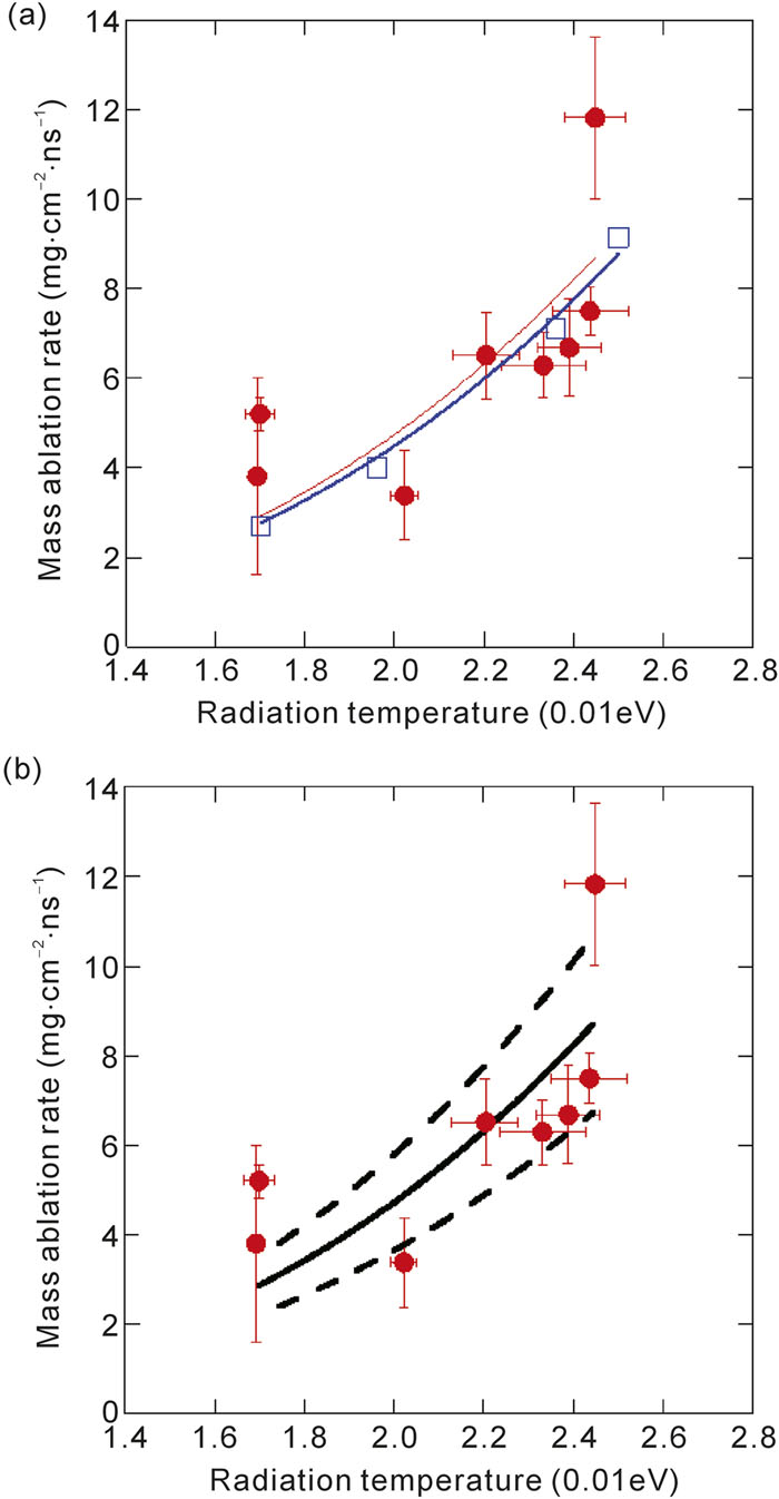
  • Measurements of the mass ablation rate of aluminum (Al) have been completed at the Omega Laser Facility. These measurements show that the mass-ablation rate of Al is higher than plastic (CH), comparable to high density carbon (HDC), and lower than beryllium. The mass-ablation rate is consistent with predictions using a 1D Lagrangian code, Helios. The results suggest Al capsules have a reasonable ablation pressure even with a higher albedo than beryllium or carbon ablators and further investigation into the viability of Al capsules for ignition should be pursued.
  • loading
  • [1]
    J. Lindl, Development of the indirect-drive approach to inertial confinement fusion and the target physics basis for ignition and gain, Phys. Plasmas 2 (1995) 3933–4024.10.1063/1.871025
    [2]
    P. Amendt, Personal Communication (2014).
    [3]
    R.E. Olson, G.A. Rochau, O.L. Landen, R.J. Leeper, X-ray ablation rates in inertial confinement fusion capsule materials, Phys. Plasmas 18 (2011) 032706.10.1063/1.3566009
    [4]
    T.R. Boehly, R.S. Craxton, T.H. Hinterman, J.H. Kelly, T.J. Kessler, et al., The upgrade to the Omega laser system, Rev. Sci. Instrum. 66 (1995) 508–510.10.1063/1.1146333
    [5]
    J.M. Soures, R.L. McCrory, C.P. Verdon, A. Babushkin, R.E. Bahr, et al., Direct-drive laser-fusion experiments with the OMEGA, 60-beam, >40 kJ, ultraviolet laser system, Phys. Plasmas 3 (1996) 2108–2112.10.1063/1.871662
    [6]
    H.N. Kornblum, R.L. Kauffman, J.A. Smith, Measurement of 0.1–3-keV X rays from laser plasmas, Rev. Sci. Instrum. 57 (1986) 2179–2181.10.1063/1.1138723
    [7]
    C. Sorce, J. Schein, F. Weber, K. Widmann, K. Campbell, et al., Soft X-ray power diagnostic improvements at the Omega Laser Facility, Rev. Sci. Instrum. 77 (2006) 10E518.10.1063/1.2336462
    [8]
    H.F. Finn, UNSPEC Reference Manual Version 10/29/82, 1982.
    [9]
    R.L. Kauffman, H.N. Kornblum, D.W. Phillion, C.B. Darrow, Drive characterization of indirect drive targets on the Nova laser (invited), Rev. Sci. Instrum. 66 (1995) 678–682.10.1063/1.1146258
    [10]
    A. Seifter, G.A. Kyrala, Different methods of reconstructing spectra from filtered X-ray diode measurements, Rev. Sci. Instrum. 79 (2008) 10F323.10.1063/1.2957935
    [11]
    D.L. Fehl, F. Biggs, Verification of unfold error estimates in the unfold operator code, Rev. Sci. Instrum. 68 (1997) 890–893.10.1063/1.1147713
    [12]
    M.J. May, K. Widmann, C. Sorce, H.S. Park, M. Schneider, et al., Uncertainty analysis technique for OMEGA Dante measurements, Rev. Sci. Instrum. 81 (2010) 10E505.10.1063/1.3475385
    [13]
    J. Li, X.B. Huang, S.Q. Zhang, L.B. Yang, W.P. Xie, et al., Investigation of spectra unfolded for a filtered X-ray diode array with improved smoothness, Rev. Sci. Instrum. 80 (2009) 063106.10.1063/1.3157042
    [14]
    R.E. Marrs, K. Widmann, G.V. Brown, R.F. Heeter, S.A. Maclaren, et al., Use of a priori spectral information in the measurement of X-ray flux with filtered diode arrays, Rev. Sci. Instrum. 86 (2015) 103511.10.1063/1.4934542
    [15]
    N.E. Lanier, C. Hamilton, J.M. Taccetti, A monochromatic X-ray imaging system for characterizing low-density foams, Rev. Sci. Instrum. 83 (2012) 10E521.10.1063/1.4732183
    [16]
    J.J. Macfarlane, I.E. Golovkin, P.R. Woodruff, HELIOS-CR A 1-D radiation-magnetohydrodynamics code with inline atomic kinetics modeling, J. Quant Spectrosc. Radiat. Transfer 99 (2006) 381–397.10.1016/j.jqsrt.2005.05.031
  • 加载中

Catalog

    通讯作者: 陈斌, bchen63@163.com
    • 1. 

      沈阳化工大学材料科学与工程学院 沈阳 110142

    1. 本站搜索
    2. 百度学术搜索
    3. 万方数据库搜索
    4. CNKI搜索

    Figures(6)

    Article Metrics

    Article views (232) PDF downloads(13) Cited by()
    Proportional views
    Related

    /

    DownLoad:  Full-Size Img  PowerPoint
    Return
    Return